个体脂质异常与心血管全因死亡率的独立关联:一项前瞻性队列研究。

IF 2.9 Q2 PERIPHERAL VASCULAR DISEASE
Wenxiao Zheng, Jiayue Zhang, Ying Huang, Shuting Wang, Xiangyang Gao, Zhirong Yang, Yueqi Zong, Zuyao Yang
{"title":"个体脂质异常与心血管全因死亡率的独立关联:一项前瞻性队列研究。","authors":"Wenxiao Zheng, Jiayue Zhang, Ying Huang, Shuting Wang, Xiangyang Gao, Zhirong Yang, Yueqi Zong, Zuyao Yang","doi":"10.1007/s40292-024-00694-6","DOIUrl":null,"url":null,"abstract":"<p><strong>Introduction: </strong>Abnormalities in total cholesterol (TC), low-density lipoprotein cholesterol (LDL-C), high-density lipoprotein cholesterol (HDL-C), and triglycerides (TG) are each associated with increased cardiovascular risk, after adjusting for non-lipid risk factors. However, whether and to what extent the association for each lipid measure is confounded by other lipid measures is less understood.</p><p><strong>Aim: </strong>This study aims to investigate the association of each lipid measure with cardiovascular and all-cause mortality while precluding the confounding caused by abnormalities in other lipid measures.</p><p><strong>Methods: </strong>The study utilized data from the third National Health and Nutrition Examination Survey (NHANES III, 1988-1994) and ten cycles of continuous NHANES (1999-2018). The study cohort included 23,761 participants who were 20 years or older, not pregnant, not receiving lipid-lowering treatment, and had complete data on all four lipid measures and mortality status. Participants were categorized into seven subgroups based on their lipid profiles. Kaplan-Meier survival curves and Cox proportional hazards models were used to examine the association between lipid abnormalities and mortality.</p><p><strong>Results: </strong>During a median follow-up of 140 months, 5,003 participants (14.1%) died, with 1,665 deaths (4.2%) attributable to cardiovascular causes. Compared with the reference group in which the four lipid measures were all normal, the subgroups with isolated high TC, two to three lipid abnormalities, and four lipid abnormalities were associated with increased risks for both cardiovascular and all-cause mortality in univariate analysis. However, only those with isolated high TC (for cardiovascular mortality, HR 1.52, 95% CI 1.13-2.06) and four lipid abnormalities (for all-cause mortality, HR 1.34, 95% CI 1.04-1.72) remained statistically significant after adjusting for non-lipid risk factors. Of note, compared with the reference group, the profile of non-lipid risk factors was apparently less favorable in the subgroup with two to three lipid abnormalities but similar (and some factors even more favorable) in the subgroup with isolated high TC. When the lipid measures were analyzed as continuous variables, a U-shaped relationship between HDL-C and mortality risk was observed for both cardiovascular and all-cause mortality, and very low LDL-C level was associated with increased mortality risk. No statistically significant association was found between TG levels and mortality risk.</p><p><strong>Conclusion: </strong>Isolated high TC, very low LDL-C, and concurrent abnormalities in all four lipid measures were associated with increased mortality risk, whereas isolated high TG was not. A U-shaped relationship may exist between HDL-C level and mortality. Overall, these findings underscore the need for integrated management of dyslipidemia that takes all four lipid measures as well as non-lipid cardiovascular risk factors into account, particularly for those with concurrent abnormalities in two or more lipid measures.</p>","PeriodicalId":12890,"journal":{"name":"High Blood Pressure & Cardiovascular Prevention","volume":" ","pages":"107-119"},"PeriodicalIF":2.9000,"publicationDate":"2025-01-01","publicationTypes":"Journal Article","fieldsOfStudy":null,"isOpenAccess":false,"openAccessPdf":"https://www.ncbi.nlm.nih.gov/pmc/articles/PMC11782416/pdf/","citationCount":"0","resultStr":"{\"title\":\"Independent Association of Individual Lipid Abnormalities with Cardiovascular All-cause Mortality: A Prospective Cohort Study.\",\"authors\":\"Wenxiao Zheng, Jiayue Zhang, Ying Huang, Shuting Wang, Xiangyang Gao, Zhirong Yang, Yueqi Zong, Zuyao Yang\",\"doi\":\"10.1007/s40292-024-00694-6\",\"DOIUrl\":null,\"url\":null,\"abstract\":\"<p><strong>Introduction: </strong>Abnormalities in total cholesterol (TC), low-density lipoprotein cholesterol (LDL-C), high-density lipoprotein cholesterol (HDL-C), and triglycerides (TG) are each associated with increased cardiovascular risk, after adjusting for non-lipid risk factors. However, whether and to what extent the association for each lipid measure is confounded by other lipid measures is less understood.</p><p><strong>Aim: </strong>This study aims to investigate the association of each lipid measure with cardiovascular and all-cause mortality while precluding the confounding caused by abnormalities in other lipid measures.</p><p><strong>Methods: </strong>The study utilized data from the third National Health and Nutrition Examination Survey (NHANES III, 1988-1994) and ten cycles of continuous NHANES (1999-2018). The study cohort included 23,761 participants who were 20 years or older, not pregnant, not receiving lipid-lowering treatment, and had complete data on all four lipid measures and mortality status. Participants were categorized into seven subgroups based on their lipid profiles. Kaplan-Meier survival curves and Cox proportional hazards models were used to examine the association between lipid abnormalities and mortality.</p><p><strong>Results: </strong>During a median follow-up of 140 months, 5,003 participants (14.1%) died, with 1,665 deaths (4.2%) attributable to cardiovascular causes. Compared with the reference group in which the four lipid measures were all normal, the subgroups with isolated high TC, two to three lipid abnormalities, and four lipid abnormalities were associated with increased risks for both cardiovascular and all-cause mortality in univariate analysis. However, only those with isolated high TC (for cardiovascular mortality, HR 1.52, 95% CI 1.13-2.06) and four lipid abnormalities (for all-cause mortality, HR 1.34, 95% CI 1.04-1.72) remained statistically significant after adjusting for non-lipid risk factors. Of note, compared with the reference group, the profile of non-lipid risk factors was apparently less favorable in the subgroup with two to three lipid abnormalities but similar (and some factors even more favorable) in the subgroup with isolated high TC. When the lipid measures were analyzed as continuous variables, a U-shaped relationship between HDL-C and mortality risk was observed for both cardiovascular and all-cause mortality, and very low LDL-C level was associated with increased mortality risk. No statistically significant association was found between TG levels and mortality risk.</p><p><strong>Conclusion: </strong>Isolated high TC, very low LDL-C, and concurrent abnormalities in all four lipid measures were associated with increased mortality risk, whereas isolated high TG was not. A U-shaped relationship may exist between HDL-C level and mortality. Overall, these findings underscore the need for integrated management of dyslipidemia that takes all four lipid measures as well as non-lipid cardiovascular risk factors into account, particularly for those with concurrent abnormalities in two or more lipid measures.</p>\",\"PeriodicalId\":12890,\"journal\":{\"name\":\"High Blood Pressure & Cardiovascular Prevention\",\"volume\":\" \",\"pages\":\"107-119\"},\"PeriodicalIF\":2.9000,\"publicationDate\":\"2025-01-01\",\"publicationTypes\":\"Journal Article\",\"fieldsOfStudy\":null,\"isOpenAccess\":false,\"openAccessPdf\":\"https://www.ncbi.nlm.nih.gov/pmc/articles/PMC11782416/pdf/\",\"citationCount\":\"0\",\"resultStr\":null,\"platform\":\"Semanticscholar\",\"paperid\":null,\"PeriodicalName\":\"High Blood Pressure & Cardiovascular Prevention\",\"FirstCategoryId\":\"1085\",\"ListUrlMain\":\"https://doi.org/10.1007/s40292-024-00694-6\",\"RegionNum\":0,\"RegionCategory\":null,\"ArticlePicture\":[],\"TitleCN\":null,\"AbstractTextCN\":null,\"PMCID\":null,\"EPubDate\":\"2024/12/9 0:00:00\",\"PubModel\":\"Epub\",\"JCR\":\"Q2\",\"JCRName\":\"PERIPHERAL VASCULAR DISEASE\",\"Score\":null,\"Total\":0}","platform":"Semanticscholar","paperid":null,"PeriodicalName":"High Blood Pressure & Cardiovascular Prevention","FirstCategoryId":"1085","ListUrlMain":"https://doi.org/10.1007/s40292-024-00694-6","RegionNum":0,"RegionCategory":null,"ArticlePicture":[],"TitleCN":null,"AbstractTextCN":null,"PMCID":null,"EPubDate":"2024/12/9 0:00:00","PubModel":"Epub","JCR":"Q2","JCRName":"PERIPHERAL VASCULAR DISEASE","Score":null,"Total":0}
引用次数: 0

摘要

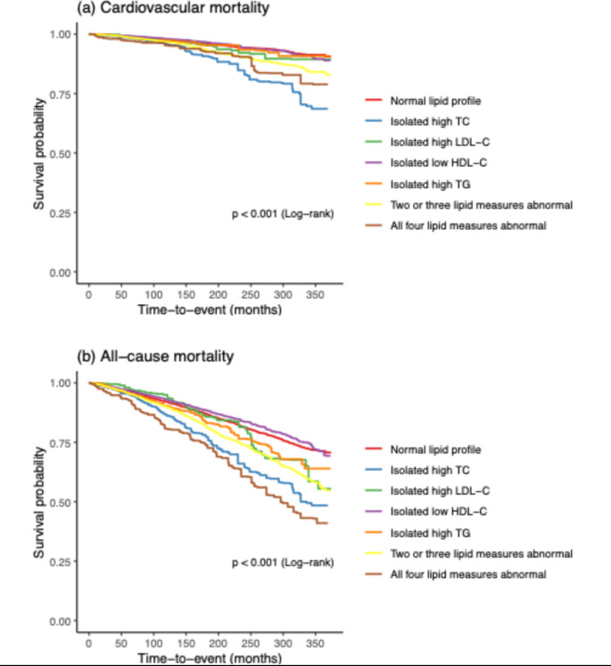
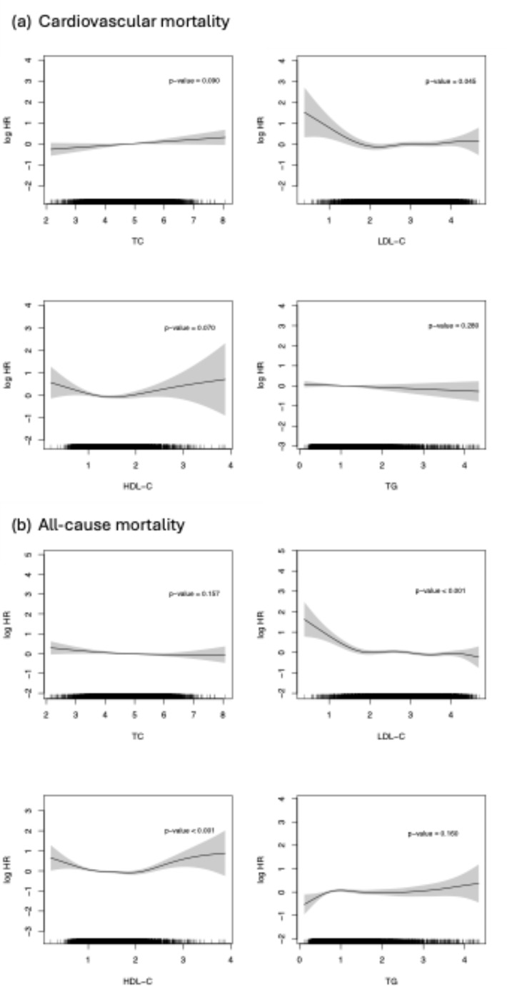
导言:调整非血脂风险因素后,总胆固醇(TC)、低密度脂蛋白胆固醇(LDL-C)、高密度脂蛋白胆固醇(HDL-C)和甘油三酯(TG)异常均与心血管风险增加有关。目的:本研究旨在调查每种血脂指标与心血管和全因死亡率的关系,同时排除其他血脂指标异常造成的混杂因素:研究利用了第三次全国健康与营养调查(NHANES III,1988-1994 年)和连续十次 NHANES(1999-2018 年)的数据。研究队列包括 23761 名年龄在 20 岁或 20 岁以上、未怀孕、未接受降脂治疗、拥有所有四项血脂测量数据和死亡状况完整数据的参与者。根据血脂情况,参与者被分为七个亚组。采用 Kaplan-Meier 生存曲线和 Cox 比例危险模型来研究血脂异常与死亡率之间的关系:在140个月的中位随访期间,有5,003名参与者(14.1%)死亡,其中1,665人(4.2%)死于心血管疾病。与四项血脂指标均正常的参照组相比,在单变量分析中,单独高 TC、两到三项血脂异常和四项血脂异常的亚组与心血管和全因死亡风险增加有关。然而,在对非血脂风险因素进行调整后,只有单独的高 TC(心血管死亡率,HR 1.52,95% CI 1.13-2.06)和四项血脂异常(全因死亡率,HR 1.34,95% CI 1.04-1.72)仍具有显著的统计学意义。值得注意的是,与参照组相比,非血脂风险因素的情况在有两到三个血脂异常的亚组中明显较差,但在有单独高 TC 的亚组中情况相似(有些因素甚至更有利)。当把血脂指标作为连续变量进行分析时,在心血管和全因死亡率方面,高密度脂蛋白胆固醇与死亡风险之间呈 U 型关系,而极低的低密度脂蛋白胆固醇水平与死亡风险增加有关。TG水平与死亡风险之间没有统计学意义:结论:单独的高 TC、极低 LDL-C 和同时出现的所有四种血脂指标异常与死亡风险增加有关,而单独的高 TG 与死亡风险无关。高密度脂蛋白胆固醇水平与死亡率之间可能存在 U 型关系。总之,这些研究结果突出表明,需要对血脂异常进行综合管理,将所有四种血脂指标以及非血脂心血管风险因素考虑在内,尤其是那些同时存在两种或两种以上血脂指标异常的患者。
本文章由计算机程序翻译,如有差异,请以英文原文为准。

Independent Association of Individual Lipid Abnormalities with Cardiovascular All-cause Mortality: A Prospective Cohort Study.

Independent Association of Individual Lipid Abnormalities with Cardiovascular All-cause Mortality: A Prospective Cohort Study.

Independent Association of Individual Lipid Abnormalities with Cardiovascular All-cause Mortality: A Prospective Cohort Study.

Independent Association of Individual Lipid Abnormalities with Cardiovascular All-cause Mortality: A Prospective Cohort Study.

Introduction: Abnormalities in total cholesterol (TC), low-density lipoprotein cholesterol (LDL-C), high-density lipoprotein cholesterol (HDL-C), and triglycerides (TG) are each associated with increased cardiovascular risk, after adjusting for non-lipid risk factors. However, whether and to what extent the association for each lipid measure is confounded by other lipid measures is less understood.

Aim: This study aims to investigate the association of each lipid measure with cardiovascular and all-cause mortality while precluding the confounding caused by abnormalities in other lipid measures.

Methods: The study utilized data from the third National Health and Nutrition Examination Survey (NHANES III, 1988-1994) and ten cycles of continuous NHANES (1999-2018). The study cohort included 23,761 participants who were 20 years or older, not pregnant, not receiving lipid-lowering treatment, and had complete data on all four lipid measures and mortality status. Participants were categorized into seven subgroups based on their lipid profiles. Kaplan-Meier survival curves and Cox proportional hazards models were used to examine the association between lipid abnormalities and mortality.

Results: During a median follow-up of 140 months, 5,003 participants (14.1%) died, with 1,665 deaths (4.2%) attributable to cardiovascular causes. Compared with the reference group in which the four lipid measures were all normal, the subgroups with isolated high TC, two to three lipid abnormalities, and four lipid abnormalities were associated with increased risks for both cardiovascular and all-cause mortality in univariate analysis. However, only those with isolated high TC (for cardiovascular mortality, HR 1.52, 95% CI 1.13-2.06) and four lipid abnormalities (for all-cause mortality, HR 1.34, 95% CI 1.04-1.72) remained statistically significant after adjusting for non-lipid risk factors. Of note, compared with the reference group, the profile of non-lipid risk factors was apparently less favorable in the subgroup with two to three lipid abnormalities but similar (and some factors even more favorable) in the subgroup with isolated high TC. When the lipid measures were analyzed as continuous variables, a U-shaped relationship between HDL-C and mortality risk was observed for both cardiovascular and all-cause mortality, and very low LDL-C level was associated with increased mortality risk. No statistically significant association was found between TG levels and mortality risk.

Conclusion: Isolated high TC, very low LDL-C, and concurrent abnormalities in all four lipid measures were associated with increased mortality risk, whereas isolated high TG was not. A U-shaped relationship may exist between HDL-C level and mortality. Overall, these findings underscore the need for integrated management of dyslipidemia that takes all four lipid measures as well as non-lipid cardiovascular risk factors into account, particularly for those with concurrent abnormalities in two or more lipid measures.

求助全文
通过发布文献求助,成功后即可免费获取论文全文。 去求助
来源期刊
CiteScore
5.70
自引率
3.30%
发文量
57
期刊介绍: High Blood Pressure & Cardiovascular Prevention promotes knowledge, update and discussion in the field of hypertension and cardiovascular disease prevention, by providing a regular programme of independent review articles covering key aspects of the management of hypertension and cardiovascular diseases. The journal includes:   Invited ''State of the Art'' reviews.  Expert commentaries on guidelines, major trials, technical advances.Presentation of new intervention trials design.''Pros and Cons'' or round tables on controversial issues.Statements on guidelines from hypertension and cardiovascular scientific societies.Socio-economic issues.Cost/benefit in prevention of cardiovascular diseases.Monitoring of healthcare systems.News and views from the Italian Society of Hypertension (including abstracts).All manuscripts are subject to peer review by international experts. Letters to the editor are welcomed and will be considered for publication.
×
引用
GB/T 7714-2015
复制
MLA
复制
APA
复制
导出至
BibTeX EndNote RefMan NoteFirst NoteExpress
×
提示
您的信息不完整,为了账户安全,请先补充。
现在去补充
×
提示
您因"违规操作"
具体请查看互助需知
我知道了
×
提示
确定
请完成安全验证×
copy
已复制链接
快去分享给好友吧!
我知道了
右上角分享
点击右上角分享
0
联系我们:info@booksci.cn Book学术提供免费学术资源搜索服务,方便国内外学者检索中英文文献。致力于提供最便捷和优质的服务体验。 Copyright © 2023 布克学术 All rights reserved.
京ICP备2023020795号-1
ghs 京公网安备 11010802042870号
Book学术文献互助
Book学术文献互助群
群 号:604180095
Book学术官方微信