农业技术进步能否促进中国省际乡村振兴?基于农业规模经营的分析视角。

IF 2.6 3区 综合性期刊 Q1 MULTIDISCIPLINARY SCIENCES
PLoS ONE Pub Date : 2024-12-06 eCollection Date: 2024-01-01 DOI:10.1371/journal.pone.0309339
Fei Wang, Dong Xue, Zheyi Yang
{"title":"农业技术进步能否促进中国省际乡村振兴?基于农业规模经营的分析视角。","authors":"Fei Wang, Dong Xue, Zheyi Yang","doi":"10.1371/journal.pone.0309339","DOIUrl":null,"url":null,"abstract":"<p><p>To clarify the role of agricultural technological progress in the process of rural revitalization, this paper uses the agricultural panel data of 31 provinces in China from 2007 to 2020 to measure the Total Factor Productivity of agriculture, analyzes the impact direction and spatial spillover effect of agricultural technological progress on China's rural revitalization through the spatial Durbin model, and analyzes the threshold mechanism of agricultural technological progress on China's rural revitalization by using the panel threshold model. The results are as follows: (1) The spatial and geographical agglomeration of interprovincial rural revitalization in China has gradually weakened, and the regional imbalance has improved; (2) The progress in agricultural technology plays a positive role in promoting China's interprovincial rural revitalization, and the overall nonlinear characteristics of \"first inhibiting and then promoting\" are presented, and the conclusion is still robust after fully considering the factors of time, region and economic distance; (3) Further analysis shows that the impact of agricultural technological progress on China's interprovincial rural revitalization is based on the threshold constraints of land-scale operation and agricultural-industry agglomeration, and shows significant spatial heterogeneity. The inherent reason is that whether the land-scale operation entity adopts long-term investment decisions such as new agricultural technology depends on the expectation of land management risk stability, while agricultural-industry agglomeration hinders the diffusion and spillover of agricultural technology due to the exclusive characteristics of agricultural production geographical locations. Therefore, in the future of China's rural revitalization, the government should guide the large-scale operation of land and agricultural production according to local conditions to give full play to the positive spillover effect and spatial radiation capacity of agricultural technology.</p>","PeriodicalId":20189,"journal":{"name":"PLoS ONE","volume":"19 12","pages":"e0309339"},"PeriodicalIF":2.6000,"publicationDate":"2024-12-06","publicationTypes":"Journal Article","fieldsOfStudy":null,"isOpenAccess":false,"openAccessPdf":"https://www.ncbi.nlm.nih.gov/pmc/articles/PMC11623457/pdf/","citationCount":"0","resultStr":"{\"title\":\"Can agricultural technological progress promote China's interprovincial rural revitalization? an analytical perspective based on agricultural-scale operations.\",\"authors\":\"Fei Wang, Dong Xue, Zheyi Yang\",\"doi\":\"10.1371/journal.pone.0309339\",\"DOIUrl\":null,\"url\":null,\"abstract\":\"<p><p>To clarify the role of agricultural technological progress in the process of rural revitalization, this paper uses the agricultural panel data of 31 provinces in China from 2007 to 2020 to measure the Total Factor Productivity of agriculture, analyzes the impact direction and spatial spillover effect of agricultural technological progress on China's rural revitalization through the spatial Durbin model, and analyzes the threshold mechanism of agricultural technological progress on China's rural revitalization by using the panel threshold model. The results are as follows: (1) The spatial and geographical agglomeration of interprovincial rural revitalization in China has gradually weakened, and the regional imbalance has improved; (2) The progress in agricultural technology plays a positive role in promoting China's interprovincial rural revitalization, and the overall nonlinear characteristics of \\\"first inhibiting and then promoting\\\" are presented, and the conclusion is still robust after fully considering the factors of time, region and economic distance; (3) Further analysis shows that the impact of agricultural technological progress on China's interprovincial rural revitalization is based on the threshold constraints of land-scale operation and agricultural-industry agglomeration, and shows significant spatial heterogeneity. The inherent reason is that whether the land-scale operation entity adopts long-term investment decisions such as new agricultural technology depends on the expectation of land management risk stability, while agricultural-industry agglomeration hinders the diffusion and spillover of agricultural technology due to the exclusive characteristics of agricultural production geographical locations. Therefore, in the future of China's rural revitalization, the government should guide the large-scale operation of land and agricultural production according to local conditions to give full play to the positive spillover effect and spatial radiation capacity of agricultural technology.</p>\",\"PeriodicalId\":20189,\"journal\":{\"name\":\"PLoS ONE\",\"volume\":\"19 12\",\"pages\":\"e0309339\"},\"PeriodicalIF\":2.6000,\"publicationDate\":\"2024-12-06\",\"publicationTypes\":\"Journal Article\",\"fieldsOfStudy\":null,\"isOpenAccess\":false,\"openAccessPdf\":\"https://www.ncbi.nlm.nih.gov/pmc/articles/PMC11623457/pdf/\",\"citationCount\":\"0\",\"resultStr\":null,\"platform\":\"Semanticscholar\",\"paperid\":null,\"PeriodicalName\":\"PLoS ONE\",\"FirstCategoryId\":\"103\",\"ListUrlMain\":\"https://doi.org/10.1371/journal.pone.0309339\",\"RegionNum\":3,\"RegionCategory\":\"综合性期刊\",\"ArticlePicture\":[],\"TitleCN\":null,\"AbstractTextCN\":null,\"PMCID\":null,\"EPubDate\":\"2024/1/1 0:00:00\",\"PubModel\":\"eCollection\",\"JCR\":\"Q1\",\"JCRName\":\"MULTIDISCIPLINARY SCIENCES\",\"Score\":null,\"Total\":0}","platform":"Semanticscholar","paperid":null,"PeriodicalName":"PLoS ONE","FirstCategoryId":"103","ListUrlMain":"https://doi.org/10.1371/journal.pone.0309339","RegionNum":3,"RegionCategory":"综合性期刊","ArticlePicture":[],"TitleCN":null,"AbstractTextCN":null,"PMCID":null,"EPubDate":"2024/1/1 0:00:00","PubModel":"eCollection","JCR":"Q1","JCRName":"MULTIDISCIPLINARY SCIENCES","Score":null,"Total":0}
引用次数: 0

摘要

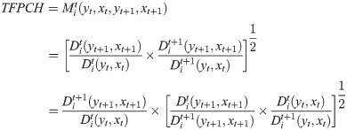
为明确农业技术进步在乡村振兴过程中的作用,本文利用2007 - 2020年中国31个省份的农业面板数据对农业全要素生产率进行测度,通过空间Durbin模型分析农业技术进步对中国乡村振兴的影响方向和空间溢出效应。并运用面板门槛模型分析了农业技术进步对中国乡村振兴的门槛机制。研究结果表明:①中国省际乡村振兴的空间集聚性和地理集聚性逐渐减弱,区域不均衡性有所改善;(2)农业技术进步对中国省际乡村振兴具有积极的促进作用,总体呈现出“先抑制后促进”的非线性特征,且在充分考虑时间、区域和经济距离等因素后,结论仍具有鲁棒性;(3)进一步分析表明,农业技术进步对中国省际乡村振兴的影响是基于土地规模经营和农产业集聚的阈值约束,且具有显著的空间异质性。其内在原因是,土地规模经营主体是否采取农业新技术等长期投资决策取决于对土地经营风险稳定性的预期,而农业生产地理区位的排他性又阻碍了农业技术的扩散和外溢。因此,在未来的中国乡村振兴中,政府应因地制宜地引导土地规模化经营和农业生产,充分发挥农业技术的正向溢出效应和空间辐射能力。
本文章由计算机程序翻译,如有差异,请以英文原文为准。

Can agricultural technological progress promote China's interprovincial rural revitalization? an analytical perspective based on agricultural-scale operations.

Can agricultural technological progress promote China's interprovincial rural revitalization? an analytical perspective based on agricultural-scale operations.

Can agricultural technological progress promote China's interprovincial rural revitalization? an analytical perspective based on agricultural-scale operations.

Can agricultural technological progress promote China's interprovincial rural revitalization? an analytical perspective based on agricultural-scale operations.

To clarify the role of agricultural technological progress in the process of rural revitalization, this paper uses the agricultural panel data of 31 provinces in China from 2007 to 2020 to measure the Total Factor Productivity of agriculture, analyzes the impact direction and spatial spillover effect of agricultural technological progress on China's rural revitalization through the spatial Durbin model, and analyzes the threshold mechanism of agricultural technological progress on China's rural revitalization by using the panel threshold model. The results are as follows: (1) The spatial and geographical agglomeration of interprovincial rural revitalization in China has gradually weakened, and the regional imbalance has improved; (2) The progress in agricultural technology plays a positive role in promoting China's interprovincial rural revitalization, and the overall nonlinear characteristics of "first inhibiting and then promoting" are presented, and the conclusion is still robust after fully considering the factors of time, region and economic distance; (3) Further analysis shows that the impact of agricultural technological progress on China's interprovincial rural revitalization is based on the threshold constraints of land-scale operation and agricultural-industry agglomeration, and shows significant spatial heterogeneity. The inherent reason is that whether the land-scale operation entity adopts long-term investment decisions such as new agricultural technology depends on the expectation of land management risk stability, while agricultural-industry agglomeration hinders the diffusion and spillover of agricultural technology due to the exclusive characteristics of agricultural production geographical locations. Therefore, in the future of China's rural revitalization, the government should guide the large-scale operation of land and agricultural production according to local conditions to give full play to the positive spillover effect and spatial radiation capacity of agricultural technology.

求助全文
通过发布文献求助,成功后即可免费获取论文全文。 去求助
来源期刊
PLoS ONE
PLoS ONE 生物-生物学
CiteScore
6.20
自引率
5.40%
发文量
14242
审稿时长
3.7 months
期刊介绍: PLOS ONE is an international, peer-reviewed, open-access, online publication. PLOS ONE welcomes reports on primary research from any scientific discipline. It provides: * Open-access—freely accessible online, authors retain copyright * Fast publication times * Peer review by expert, practicing researchers * Post-publication tools to indicate quality and impact * Community-based dialogue on articles * Worldwide media coverage
×
引用
GB/T 7714-2015
复制
MLA
复制
APA
复制
导出至
BibTeX EndNote RefMan NoteFirst NoteExpress
×
提示
您的信息不完整,为了账户安全,请先补充。
现在去补充
×
提示
您因"违规操作"
具体请查看互助需知
我知道了
×
提示
确定
请完成安全验证×
copy
已复制链接
快去分享给好友吧!
我知道了
右上角分享
点击右上角分享
0
联系我们:info@booksci.cn Book学术提供免费学术资源搜索服务,方便国内外学者检索中英文文献。致力于提供最便捷和优质的服务体验。 Copyright © 2023 布克学术 All rights reserved.
京ICP备2023020795号-1
ghs 京公网安备 11010802042870号
Book学术文献互助
Book学术文献互助群
群 号:604180095
Book学术官方微信