杂交系能否打破小鼠行为进化的选择限制?

IF 2.2 4区 医学 Q2 BEHAVIORAL SCIENCES
Behavior Genetics Pub Date : 2025-01-01 Epub Date: 2024-12-05 DOI:10.1007/s10519-024-10209-7
Layla Hiramatsu, Vincent Careau, Theodore Garland
{"title":"杂交系能否打破小鼠行为进化的选择限制?","authors":"Layla Hiramatsu, Vincent Careau, Theodore Garland","doi":"10.1007/s10519-024-10209-7","DOIUrl":null,"url":null,"abstract":"<p><p>Artificial selection yielded four replicate high runner (HR) lines of mice that reached apparent selection limits (~ threefold increase in wheel revolutions per day vs. four control lines), despite maintenance of additive genetic variance. After 68 generations, we used animal models to test for changes in additive-genetic variances and covariance of the two measured components (average speed and duration) of running distance. We also attempted to break the selection limit by crossing two HR lines, then continuing directional selection on this hybrid line and on the two parental lines for nine generations. The genetic correlation between speed and duration was positive in the base population, but evolved to be negative in the two parental HR lines. Although heritability for both speed and duration (but not distance) increased in the hybrid line, their genetic correlation remained negative. Hybrid F<sub>1</sub> mice from generation 68 parents showed heterosis for running distance, which was lost in subsequent generations, and the hybrid line did not exceed the limit. Both male and female hybrids ran faster than parental lines for most generations, but running duration was intermediate or reduced, reflecting their negative genetic correlation. The evolved genetic trade-off between speed and duration may explain the inability for the hybrid line to break the selection limit for distance run, despite renewed additive genetic variance for at least one of its component traits.</p>","PeriodicalId":8715,"journal":{"name":"Behavior Genetics","volume":" ","pages":"43-58"},"PeriodicalIF":2.2000,"publicationDate":"2025-01-01","publicationTypes":"Journal Article","fieldsOfStudy":null,"isOpenAccess":false,"openAccessPdf":"https://www.ncbi.nlm.nih.gov/pmc/articles/PMC11790750/pdf/","citationCount":"0","resultStr":"{\"title\":\"Can a Hybrid Line Break a Selection Limit on Behavioral Evolution in Mice?\",\"authors\":\"Layla Hiramatsu, Vincent Careau, Theodore Garland\",\"doi\":\"10.1007/s10519-024-10209-7\",\"DOIUrl\":null,\"url\":null,\"abstract\":\"<p><p>Artificial selection yielded four replicate high runner (HR) lines of mice that reached apparent selection limits (~ threefold increase in wheel revolutions per day vs. four control lines), despite maintenance of additive genetic variance. After 68 generations, we used animal models to test for changes in additive-genetic variances and covariance of the two measured components (average speed and duration) of running distance. We also attempted to break the selection limit by crossing two HR lines, then continuing directional selection on this hybrid line and on the two parental lines for nine generations. The genetic correlation between speed and duration was positive in the base population, but evolved to be negative in the two parental HR lines. Although heritability for both speed and duration (but not distance) increased in the hybrid line, their genetic correlation remained negative. Hybrid F<sub>1</sub> mice from generation 68 parents showed heterosis for running distance, which was lost in subsequent generations, and the hybrid line did not exceed the limit. Both male and female hybrids ran faster than parental lines for most generations, but running duration was intermediate or reduced, reflecting their negative genetic correlation. The evolved genetic trade-off between speed and duration may explain the inability for the hybrid line to break the selection limit for distance run, despite renewed additive genetic variance for at least one of its component traits.</p>\",\"PeriodicalId\":8715,\"journal\":{\"name\":\"Behavior Genetics\",\"volume\":\" \",\"pages\":\"43-58\"},\"PeriodicalIF\":2.2000,\"publicationDate\":\"2025-01-01\",\"publicationTypes\":\"Journal Article\",\"fieldsOfStudy\":null,\"isOpenAccess\":false,\"openAccessPdf\":\"https://www.ncbi.nlm.nih.gov/pmc/articles/PMC11790750/pdf/\",\"citationCount\":\"0\",\"resultStr\":null,\"platform\":\"Semanticscholar\",\"paperid\":null,\"PeriodicalName\":\"Behavior Genetics\",\"FirstCategoryId\":\"3\",\"ListUrlMain\":\"https://doi.org/10.1007/s10519-024-10209-7\",\"RegionNum\":4,\"RegionCategory\":\"医学\",\"ArticlePicture\":[],\"TitleCN\":null,\"AbstractTextCN\":null,\"PMCID\":null,\"EPubDate\":\"2024/12/5 0:00:00\",\"PubModel\":\"Epub\",\"JCR\":\"Q2\",\"JCRName\":\"BEHAVIORAL SCIENCES\",\"Score\":null,\"Total\":0}","platform":"Semanticscholar","paperid":null,"PeriodicalName":"Behavior Genetics","FirstCategoryId":"3","ListUrlMain":"https://doi.org/10.1007/s10519-024-10209-7","RegionNum":4,"RegionCategory":"医学","ArticlePicture":[],"TitleCN":null,"AbstractTextCN":null,"PMCID":null,"EPubDate":"2024/12/5 0:00:00","PubModel":"Epub","JCR":"Q2","JCRName":"BEHAVIORAL SCIENCES","Score":null,"Total":0}
引用次数: 0

摘要

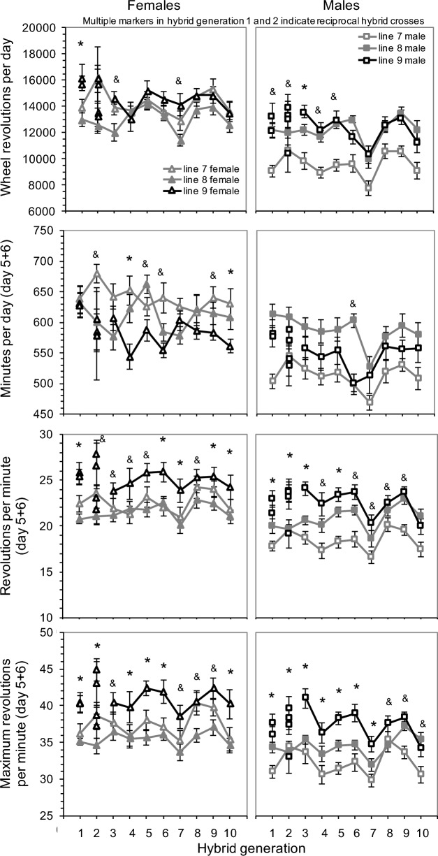
人工选择产生了四个重复的高跑者(HR)小鼠系,它们达到了明显的选择极限(每天车轮转数比四个对照系增加了约三倍),尽管维持了加性遗传变异。68代后,我们用动物模型测试了跑步距离的两个测量成分(平均速度和持续时间)的加性遗传方差和协方差的变化。我们还尝试通过杂交两个HR系来打破选择限制,然后在这个杂交系和两个亲本系上继续进行9代的定向选择。在基础群体中,速度与持续时间的遗传相关性为正,而在亲本HR系中则为负相关。虽然在杂交种中,速度和持续时间(而不是距离)的遗传力都增加了,但它们的遗传相关性仍然为负。68代杂交F1小鼠表现出奔跑距离的杂种优势,在后代中逐渐消失,杂交种没有超过极限。在大多数世代中,雌雄杂交种的奔跑速度都比亲本系快,但奔跑时间居中或缩短,反映了它们的负遗传相关性。进化出的速度和持续时间之间的遗传平衡或许可以解释为什么杂交种无法打破长跑的选择限制,尽管它的至少一个组成性状重新出现了加性遗传变异。
本文章由计算机程序翻译,如有差异,请以英文原文为准。

Can a Hybrid Line Break a Selection Limit on Behavioral Evolution in Mice?

Can a Hybrid Line Break a Selection Limit on Behavioral Evolution in Mice?

Can a Hybrid Line Break a Selection Limit on Behavioral Evolution in Mice?

Can a Hybrid Line Break a Selection Limit on Behavioral Evolution in Mice?

Artificial selection yielded four replicate high runner (HR) lines of mice that reached apparent selection limits (~ threefold increase in wheel revolutions per day vs. four control lines), despite maintenance of additive genetic variance. After 68 generations, we used animal models to test for changes in additive-genetic variances and covariance of the two measured components (average speed and duration) of running distance. We also attempted to break the selection limit by crossing two HR lines, then continuing directional selection on this hybrid line and on the two parental lines for nine generations. The genetic correlation between speed and duration was positive in the base population, but evolved to be negative in the two parental HR lines. Although heritability for both speed and duration (but not distance) increased in the hybrid line, their genetic correlation remained negative. Hybrid F1 mice from generation 68 parents showed heterosis for running distance, which was lost in subsequent generations, and the hybrid line did not exceed the limit. Both male and female hybrids ran faster than parental lines for most generations, but running duration was intermediate or reduced, reflecting their negative genetic correlation. The evolved genetic trade-off between speed and duration may explain the inability for the hybrid line to break the selection limit for distance run, despite renewed additive genetic variance for at least one of its component traits.

求助全文
通过发布文献求助,成功后即可免费获取论文全文。 去求助
来源期刊
Behavior Genetics
Behavior Genetics 生物-行为科学
CiteScore
4.90
自引率
7.70%
发文量
30
审稿时长
6-12 weeks
期刊介绍: Behavior Genetics - the leading journal concerned with the genetic analysis of complex traits - is published in cooperation with the Behavior Genetics Association. This timely journal disseminates the most current original research on the inheritance and evolution of behavioral characteristics in man and other species. Contributions from eminent international researchers focus on both the application of various genetic perspectives to the study of behavioral characteristics and the influence of behavioral differences on the genetic structure of populations.
×
引用
GB/T 7714-2015
复制
MLA
复制
APA
复制
导出至
BibTeX EndNote RefMan NoteFirst NoteExpress
×
提示
您的信息不完整,为了账户安全,请先补充。
现在去补充
×
提示
您因"违规操作"
具体请查看互助需知
我知道了
×
提示
确定
请完成安全验证×
copy
已复制链接
快去分享给好友吧!
我知道了
右上角分享
点击右上角分享
0
联系我们:info@booksci.cn Book学术提供免费学术资源搜索服务,方便国内外学者检索中英文文献。致力于提供最便捷和优质的服务体验。 Copyright © 2023 布克学术 All rights reserved.
京ICP备2023020795号-1
ghs 京公网安备 11010802042870号
Book学术文献互助
Book学术文献互助群
群 号:604180095
Book学术官方微信