粘膜中心细菌是改善高脂肪饮食相关肠屏障损伤的潜在靶点。

IF 2.6 4区 医学 Q3 INFECTIOUS DISEASES
Li Shao, Binbin Zhang, Yu Song, Zhe Lyu, Weishi Zhang, Wenjun Yang, Jinlong Fu, Jie Li, Junping Shi
{"title":"粘膜中心细菌是改善高脂肪饮食相关肠屏障损伤的潜在靶点。","authors":"Li Shao, Binbin Zhang, Yu Song, Zhe Lyu, Weishi Zhang, Wenjun Yang, Jinlong Fu, Jie Li, Junping Shi","doi":"10.1155/cjid/3652740","DOIUrl":null,"url":null,"abstract":"<p><p><b>Background:</b> Intestinal barrier injury contributes to multiple diseases such as obesity and diabetes, whereas no treatment options are available. <b>Methods:</b> Due to close interactions between mucosal microbiome and intestinal barrier, we evaluated the potential of mucosal bacteria in providing targets for high-fat diet (HFD)-related intestinal barrier injury. Whole-genome metagenomics was used to evaluate mucosal microbiome, while intestinal barrier injury was estimated using serum LPS, FITC-dextran intensity, and ZO-1 protein. <b>Results:</b> We found that HFD induced significant fat accumulation in epididymal tissue at weeks 4 and 12, while ALT, LDL, and TC increased at week 12. Intestinal barrier injury was confirmed by elevated serum LPS at both weeks, upregulated FITC-dextran intensity, and decreased ZO-1 protein at week 12. Fourteen species such as <i>Phocaeicola vulgatus</i> differed in HFD-fed mice. The co-occurrence network of mucosal microbiome shifted from scale-free graph in controls to nearly random graph in HFD-fed mice. Besides, 10 hub bacteria especially <i>Bacteroides ovatus</i> decreased drastically in both mucosal and fecal samples of HFD-fed mice, correlated with intestinal permeability, ALT, and KEGG pathways such as \"Mitochondrial biogenesis\" and \"metabolism\". Moreover, <i>Bacteroides ovatus</i> has been confirmed to improve intestinal barrier function in a recent study. <b>Conclusion:</b> Mucosal hub bacteria can provide potential targets for improving HFD-related intestinal barrier function.</p>","PeriodicalId":50715,"journal":{"name":"Canadian Journal of Infectious Diseases & Medical Microbiology","volume":"2024 ","pages":"3652740"},"PeriodicalIF":2.6000,"publicationDate":"2024-11-27","publicationTypes":"Journal Article","fieldsOfStudy":null,"isOpenAccess":false,"openAccessPdf":"https://www.ncbi.nlm.nih.gov/pmc/articles/PMC11617042/pdf/","citationCount":"0","resultStr":"{\"title\":\"Mucosal Hub Bacteria as Potential Targets for Improving High-Fat Diet-Related Intestinal Barrier Injury.\",\"authors\":\"Li Shao, Binbin Zhang, Yu Song, Zhe Lyu, Weishi Zhang, Wenjun Yang, Jinlong Fu, Jie Li, Junping Shi\",\"doi\":\"10.1155/cjid/3652740\",\"DOIUrl\":null,\"url\":null,\"abstract\":\"<p><p><b>Background:</b> Intestinal barrier injury contributes to multiple diseases such as obesity and diabetes, whereas no treatment options are available. <b>Methods:</b> Due to close interactions between mucosal microbiome and intestinal barrier, we evaluated the potential of mucosal bacteria in providing targets for high-fat diet (HFD)-related intestinal barrier injury. Whole-genome metagenomics was used to evaluate mucosal microbiome, while intestinal barrier injury was estimated using serum LPS, FITC-dextran intensity, and ZO-1 protein. <b>Results:</b> We found that HFD induced significant fat accumulation in epididymal tissue at weeks 4 and 12, while ALT, LDL, and TC increased at week 12. Intestinal barrier injury was confirmed by elevated serum LPS at both weeks, upregulated FITC-dextran intensity, and decreased ZO-1 protein at week 12. Fourteen species such as <i>Phocaeicola vulgatus</i> differed in HFD-fed mice. The co-occurrence network of mucosal microbiome shifted from scale-free graph in controls to nearly random graph in HFD-fed mice. Besides, 10 hub bacteria especially <i>Bacteroides ovatus</i> decreased drastically in both mucosal and fecal samples of HFD-fed mice, correlated with intestinal permeability, ALT, and KEGG pathways such as \\\"Mitochondrial biogenesis\\\" and \\\"metabolism\\\". Moreover, <i>Bacteroides ovatus</i> has been confirmed to improve intestinal barrier function in a recent study. <b>Conclusion:</b> Mucosal hub bacteria can provide potential targets for improving HFD-related intestinal barrier function.</p>\",\"PeriodicalId\":50715,\"journal\":{\"name\":\"Canadian Journal of Infectious Diseases & Medical Microbiology\",\"volume\":\"2024 \",\"pages\":\"3652740\"},\"PeriodicalIF\":2.6000,\"publicationDate\":\"2024-11-27\",\"publicationTypes\":\"Journal Article\",\"fieldsOfStudy\":null,\"isOpenAccess\":false,\"openAccessPdf\":\"https://www.ncbi.nlm.nih.gov/pmc/articles/PMC11617042/pdf/\",\"citationCount\":\"0\",\"resultStr\":null,\"platform\":\"Semanticscholar\",\"paperid\":null,\"PeriodicalName\":\"Canadian Journal of Infectious Diseases & Medical Microbiology\",\"FirstCategoryId\":\"3\",\"ListUrlMain\":\"https://doi.org/10.1155/cjid/3652740\",\"RegionNum\":4,\"RegionCategory\":\"医学\",\"ArticlePicture\":[],\"TitleCN\":null,\"AbstractTextCN\":null,\"PMCID\":null,\"EPubDate\":\"2024/1/1 0:00:00\",\"PubModel\":\"eCollection\",\"JCR\":\"Q3\",\"JCRName\":\"INFECTIOUS DISEASES\",\"Score\":null,\"Total\":0}","platform":"Semanticscholar","paperid":null,"PeriodicalName":"Canadian Journal of Infectious Diseases & Medical Microbiology","FirstCategoryId":"3","ListUrlMain":"https://doi.org/10.1155/cjid/3652740","RegionNum":4,"RegionCategory":"医学","ArticlePicture":[],"TitleCN":null,"AbstractTextCN":null,"PMCID":null,"EPubDate":"2024/1/1 0:00:00","PubModel":"eCollection","JCR":"Q3","JCRName":"INFECTIOUS DISEASES","Score":null,"Total":0}
引用次数: 0

摘要

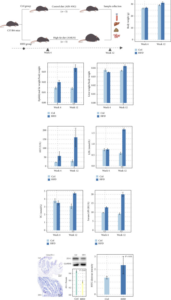
背景:肠屏障损伤可导致多种疾病,如肥胖和糖尿病,但目前尚无治疗方案。方法:由于粘膜微生物群与肠道屏障之间的密切相互作用,我们评估了粘膜细菌在高脂肪饮食(HFD)相关的肠屏障损伤中提供靶点的潜力。使用全基因组宏基因组学评估粘膜微生物组,使用血清LPS、fitc -葡聚糖强度和ZO-1蛋白评估肠屏障损伤。结果:我们发现HFD在第4周和第12周诱导了附睾组织中显著的脂肪堆积,而ALT、LDL和TC在第12周升高。两周时血清LPS升高,fitc -葡聚糖强度升高,第12周时ZO-1蛋白降低,证实肠屏障损伤。在hfd喂养的小鼠中,有14种存在差异,如Phocaeicola vulgatus。小鼠黏膜微生物群共现网络由对照组的无标度图转变为近随机图。此外,hfd喂养小鼠的粘膜和粪便样品中10种中心细菌,尤其是卵形拟杆菌(Bacteroides ovatus)均显著减少,这与肠道通透性、ALT和“线粒体生物发生”和“代谢”等KEGG途径有关。此外,最近的一项研究证实,卵形拟杆菌可以改善肠道屏障功能。结论:粘膜枢纽菌可作为改善手足口病相关肠道屏障功能的潜在靶点。
本文章由计算机程序翻译,如有差异,请以英文原文为准。

Mucosal Hub Bacteria as Potential Targets for Improving High-Fat Diet-Related Intestinal Barrier Injury.

Mucosal Hub Bacteria as Potential Targets for Improving High-Fat Diet-Related Intestinal Barrier Injury.

Mucosal Hub Bacteria as Potential Targets for Improving High-Fat Diet-Related Intestinal Barrier Injury.

Mucosal Hub Bacteria as Potential Targets for Improving High-Fat Diet-Related Intestinal Barrier Injury.

Background: Intestinal barrier injury contributes to multiple diseases such as obesity and diabetes, whereas no treatment options are available. Methods: Due to close interactions between mucosal microbiome and intestinal barrier, we evaluated the potential of mucosal bacteria in providing targets for high-fat diet (HFD)-related intestinal barrier injury. Whole-genome metagenomics was used to evaluate mucosal microbiome, while intestinal barrier injury was estimated using serum LPS, FITC-dextran intensity, and ZO-1 protein. Results: We found that HFD induced significant fat accumulation in epididymal tissue at weeks 4 and 12, while ALT, LDL, and TC increased at week 12. Intestinal barrier injury was confirmed by elevated serum LPS at both weeks, upregulated FITC-dextran intensity, and decreased ZO-1 protein at week 12. Fourteen species such as Phocaeicola vulgatus differed in HFD-fed mice. The co-occurrence network of mucosal microbiome shifted from scale-free graph in controls to nearly random graph in HFD-fed mice. Besides, 10 hub bacteria especially Bacteroides ovatus decreased drastically in both mucosal and fecal samples of HFD-fed mice, correlated with intestinal permeability, ALT, and KEGG pathways such as "Mitochondrial biogenesis" and "metabolism". Moreover, Bacteroides ovatus has been confirmed to improve intestinal barrier function in a recent study. Conclusion: Mucosal hub bacteria can provide potential targets for improving HFD-related intestinal barrier function.

求助全文
通过发布文献求助,成功后即可免费获取论文全文。 去求助
来源期刊
CiteScore
4.30
自引率
0.00%
发文量
108
审稿时长
>12 weeks
期刊介绍: Canadian Journal of Infectious Diseases and Medical Microbiology is a peer-reviewed, Open Access journal that publishes original research articles, review articles, and clinical studies related to infectious diseases of bacterial, viral and parasitic origin. The journal welcomes articles describing research on pathogenesis, epidemiology of infection, diagnosis and treatment, antibiotics and resistance, and immunology.
×
引用
GB/T 7714-2015
复制
MLA
复制
APA
复制
导出至
BibTeX EndNote RefMan NoteFirst NoteExpress
×
提示
您的信息不完整,为了账户安全,请先补充。
现在去补充
×
提示
您因"违规操作"
具体请查看互助需知
我知道了
×
提示
确定
请完成安全验证×
copy
已复制链接
快去分享给好友吧!
我知道了
右上角分享
点击右上角分享
0
联系我们:info@booksci.cn Book学术提供免费学术资源搜索服务,方便国内外学者检索中英文文献。致力于提供最便捷和优质的服务体验。 Copyright © 2023 布克学术 All rights reserved.
京ICP备2023020795号-1
ghs 京公网安备 11010802042870号
Book学术文献互助
Book学术文献互助群
群 号:604180095
Book学术官方微信