美国伴侣猫狗中SARS-CoV-2 δ变体和5个欧米克隆亚谱系的全国血清患病率:它们在COVID-19流行病学中的作用

IF 7.5 2区 医学 Q1 IMMUNOLOGY
Emerging Microbes & Infections Pub Date : 2025-12-01 Epub Date: 2024-12-11 DOI:10.1080/22221751.2024.2437246
Subarna Barua, Nneka Vivian Iduu, Daniel Felipe Barrantes Murillo, Asfiha Tarannum, Hill Dimino, Suchita Barua, Yue Shu, Calvin Johnson, Megan R Miller, Kelly Chenoweth, Peter Christopherson, Laura Huber, Theresa Wood, Kelley Turner, Chengming Wang
{"title":"美国伴侣猫狗中SARS-CoV-2 δ变体和5个欧米克隆亚谱系的全国血清患病率:它们在COVID-19流行病学中的作用","authors":"Subarna Barua, Nneka Vivian Iduu, Daniel Felipe Barrantes Murillo, Asfiha Tarannum, Hill Dimino, Suchita Barua, Yue Shu, Calvin Johnson, Megan R Miller, Kelly Chenoweth, Peter Christopherson, Laura Huber, Theresa Wood, Kelley Turner, Chengming Wang","doi":"10.1080/22221751.2024.2437246","DOIUrl":null,"url":null,"abstract":"<p><p>Understanding SARS-CoV-2 epidemiology in companion animals is critical for evaluating their role in viral transmission and their potential as sentinels for human infections. This large-scale serosurvey analyzed serum samples from 706 cats and 2,396 dogs collected across the USA in 2023 using a surrogate virus neutralization test (sVNT) to detect SARS-CoV-2 antibodies. Overall, 5.7% of cats and 4.7% of dogs tested positive for antibodies, with younger animals (under 12 months) showing significantly lower seropositivity rates (<i>p </i>= 0.0048). Additionally, we analyzed 153 positive samples for variant-specific antibody responses using six sVNT kits targeting the Delta variant and five Omicron sublineages. Among cats, 67.5% showed antibodies to Delta, with positivity rates for Omicron sublineages as follows: BA.1 (62.5%), BA.2 (42.5%), BA.4/BA.5 (77.5%), XBB (52.5%), and XBB.1.5 (45.0%). In dogs, 55.8% were positive for Delta, and Omicron sublineage rates were BA.1 (46.0%), BA.4/BA.5 (37.2%), XBB (58.4%), BA.2 (13.3%), and XBB.1.5 (9.7%). Given the close contact between companion animals and humans, and the persistence of antibodies against various SARS-CoV-2 variants and sublineages, our findings suggest that seroprevalence in cats and dogs may serve as valuable tool for tracking COVID-19 epidemiology.</p>","PeriodicalId":11602,"journal":{"name":"Emerging Microbes & Infections","volume":" ","pages":"2437246"},"PeriodicalIF":7.5000,"publicationDate":"2025-12-01","publicationTypes":"Journal Article","fieldsOfStudy":null,"isOpenAccess":false,"openAccessPdf":"https://www.ncbi.nlm.nih.gov/pmc/articles/PMC11636146/pdf/","citationCount":"0","resultStr":"{\"title\":\"Nationwide seroprevalence of SARS-CoV-2 Delta variant and five Omicron sublineages in companion cats and dogs in the USA: insights into their role in COVID-19 epidemiology.\",\"authors\":\"Subarna Barua, Nneka Vivian Iduu, Daniel Felipe Barrantes Murillo, Asfiha Tarannum, Hill Dimino, Suchita Barua, Yue Shu, Calvin Johnson, Megan R Miller, Kelly Chenoweth, Peter Christopherson, Laura Huber, Theresa Wood, Kelley Turner, Chengming Wang\",\"doi\":\"10.1080/22221751.2024.2437246\",\"DOIUrl\":null,\"url\":null,\"abstract\":\"<p><p>Understanding SARS-CoV-2 epidemiology in companion animals is critical for evaluating their role in viral transmission and their potential as sentinels for human infections. This large-scale serosurvey analyzed serum samples from 706 cats and 2,396 dogs collected across the USA in 2023 using a surrogate virus neutralization test (sVNT) to detect SARS-CoV-2 antibodies. Overall, 5.7% of cats and 4.7% of dogs tested positive for antibodies, with younger animals (under 12 months) showing significantly lower seropositivity rates (<i>p </i>= 0.0048). Additionally, we analyzed 153 positive samples for variant-specific antibody responses using six sVNT kits targeting the Delta variant and five Omicron sublineages. Among cats, 67.5% showed antibodies to Delta, with positivity rates for Omicron sublineages as follows: BA.1 (62.5%), BA.2 (42.5%), BA.4/BA.5 (77.5%), XBB (52.5%), and XBB.1.5 (45.0%). In dogs, 55.8% were positive for Delta, and Omicron sublineage rates were BA.1 (46.0%), BA.4/BA.5 (37.2%), XBB (58.4%), BA.2 (13.3%), and XBB.1.5 (9.7%). Given the close contact between companion animals and humans, and the persistence of antibodies against various SARS-CoV-2 variants and sublineages, our findings suggest that seroprevalence in cats and dogs may serve as valuable tool for tracking COVID-19 epidemiology.</p>\",\"PeriodicalId\":11602,\"journal\":{\"name\":\"Emerging Microbes & Infections\",\"volume\":\" \",\"pages\":\"2437246\"},\"PeriodicalIF\":7.5000,\"publicationDate\":\"2025-12-01\",\"publicationTypes\":\"Journal Article\",\"fieldsOfStudy\":null,\"isOpenAccess\":false,\"openAccessPdf\":\"https://www.ncbi.nlm.nih.gov/pmc/articles/PMC11636146/pdf/\",\"citationCount\":\"0\",\"resultStr\":null,\"platform\":\"Semanticscholar\",\"paperid\":null,\"PeriodicalName\":\"Emerging Microbes & Infections\",\"FirstCategoryId\":\"3\",\"ListUrlMain\":\"https://doi.org/10.1080/22221751.2024.2437246\",\"RegionNum\":2,\"RegionCategory\":\"医学\",\"ArticlePicture\":[],\"TitleCN\":null,\"AbstractTextCN\":null,\"PMCID\":null,\"EPubDate\":\"2024/12/11 0:00:00\",\"PubModel\":\"Epub\",\"JCR\":\"Q1\",\"JCRName\":\"IMMUNOLOGY\",\"Score\":null,\"Total\":0}","platform":"Semanticscholar","paperid":null,"PeriodicalName":"Emerging Microbes & Infections","FirstCategoryId":"3","ListUrlMain":"https://doi.org/10.1080/22221751.2024.2437246","RegionNum":2,"RegionCategory":"医学","ArticlePicture":[],"TitleCN":null,"AbstractTextCN":null,"PMCID":null,"EPubDate":"2024/12/11 0:00:00","PubModel":"Epub","JCR":"Q1","JCRName":"IMMUNOLOGY","Score":null,"Total":0}
引用次数: 0

摘要

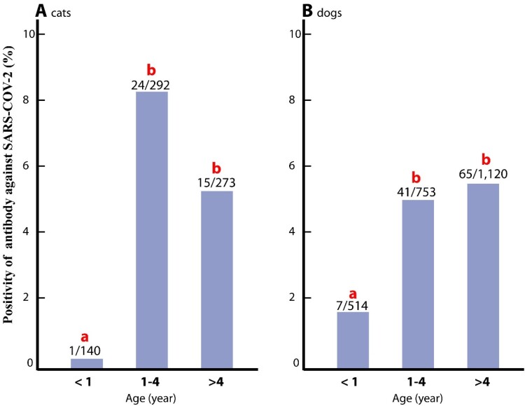
了解伴侣动物中的SARS-CoV-2流行病学对于评估它们在病毒传播中的作用以及它们作为人类感染哨兵的潜力至关重要。这项大规模血清调查分析了2023年在美国收集的706只猫和2396只狗的血清样本,使用替代病毒中和试验(sVNT)检测SARS-CoV-2抗体。总体而言,5.7%的猫和4.7%的狗抗体检测呈阳性,年龄较小的动物(12个月以下)血清阳性率显着降低(p = 0.0048)。此外,我们使用针对Delta变体和5个Omicron亚谱系的6种sVNT试剂盒分析了153个阳性样本的变体特异性抗体反应。67.5%的猫有Delta抗体,其中Omicron亚谱系的阳性率分别为BA.1(62.5%)、BA.2(42.5%)、BA.4/BA.5(77.5%), XBB(52.5%)和XBB.1.5(45.0%)。犬中Delta阳性55.8%,欧米克隆亚谱系率分别为BA.1(46.0%)和BA.4/BA.5(37.2%)、XBB(58.4%)、BA.2(13.3%),和XBB.1.5(9.7%)。鉴于伴侣动物与人类之间的密切接触,以及针对各种SARS-CoV-2变体和亚谱系的抗体的持续存在,我们的研究结果表明,猫和狗的血清阳性率可能是追踪COVID-19流行病学的有价值工具。
本文章由计算机程序翻译,如有差异,请以英文原文为准。

Nationwide seroprevalence of SARS-CoV-2 Delta variant and five Omicron sublineages in companion cats and dogs in the USA: insights into their role in COVID-19 epidemiology.

Nationwide seroprevalence of SARS-CoV-2 Delta variant and five Omicron sublineages in companion cats and dogs in the USA: insights into their role in COVID-19 epidemiology.

Nationwide seroprevalence of SARS-CoV-2 Delta variant and five Omicron sublineages in companion cats and dogs in the USA: insights into their role in COVID-19 epidemiology.

Nationwide seroprevalence of SARS-CoV-2 Delta variant and five Omicron sublineages in companion cats and dogs in the USA: insights into their role in COVID-19 epidemiology.

Understanding SARS-CoV-2 epidemiology in companion animals is critical for evaluating their role in viral transmission and their potential as sentinels for human infections. This large-scale serosurvey analyzed serum samples from 706 cats and 2,396 dogs collected across the USA in 2023 using a surrogate virus neutralization test (sVNT) to detect SARS-CoV-2 antibodies. Overall, 5.7% of cats and 4.7% of dogs tested positive for antibodies, with younger animals (under 12 months) showing significantly lower seropositivity rates (p = 0.0048). Additionally, we analyzed 153 positive samples for variant-specific antibody responses using six sVNT kits targeting the Delta variant and five Omicron sublineages. Among cats, 67.5% showed antibodies to Delta, with positivity rates for Omicron sublineages as follows: BA.1 (62.5%), BA.2 (42.5%), BA.4/BA.5 (77.5%), XBB (52.5%), and XBB.1.5 (45.0%). In dogs, 55.8% were positive for Delta, and Omicron sublineage rates were BA.1 (46.0%), BA.4/BA.5 (37.2%), XBB (58.4%), BA.2 (13.3%), and XBB.1.5 (9.7%). Given the close contact between companion animals and humans, and the persistence of antibodies against various SARS-CoV-2 variants and sublineages, our findings suggest that seroprevalence in cats and dogs may serve as valuable tool for tracking COVID-19 epidemiology.

求助全文
通过发布文献求助,成功后即可免费获取论文全文。 去求助
来源期刊
Emerging Microbes & Infections
Emerging Microbes & Infections IMMUNOLOGY-MICROBIOLOGY
CiteScore
26.20
自引率
2.30%
发文量
276
审稿时长
20 weeks
期刊介绍: Emerging Microbes & Infections is a peer-reviewed, open-access journal dedicated to publishing research at the intersection of emerging immunology and microbiology viruses. The journal's mission is to share information on microbes and infections, particularly those gaining significance in both biological and clinical realms due to increased pathogenic frequency. Emerging Microbes & Infections is committed to bridging the scientific gap between developed and developing countries. This journal addresses topics of critical biological and clinical importance, including but not limited to: - Epidemic surveillance - Clinical manifestations - Diagnosis and management - Cellular and molecular pathogenesis - Innate and acquired immune responses between emerging microbes and their hosts - Drug discovery - Vaccine development research Emerging Microbes & Infections invites submissions of original research articles, review articles, letters, and commentaries, fostering a platform for the dissemination of impactful research in the field.
×
引用
GB/T 7714-2015
复制
MLA
复制
APA
复制
导出至
BibTeX EndNote RefMan NoteFirst NoteExpress
×
提示
您的信息不完整,为了账户安全,请先补充。
现在去补充
×
提示
您因"违规操作"
具体请查看互助需知
我知道了
×
提示
确定
请完成安全验证×
copy
已复制链接
快去分享给好友吧!
我知道了
右上角分享
点击右上角分享
0
联系我们:info@booksci.cn Book学术提供免费学术资源搜索服务,方便国内外学者检索中英文文献。致力于提供最便捷和优质的服务体验。 Copyright © 2023 布克学术 All rights reserved.
京ICP备2023020795号-1
ghs 京公网安备 11010802042870号
Book学术文献互助
Book学术文献互助群
群 号:604180095
Book学术官方微信