有心理困扰的年轻和早期中年员工的疾病缺勤轨迹:一项纵向登记关联研究中社会和健康相关因素的贡献

IF 2.4 3区 医学 Q2 PUBLIC, ENVIRONMENTAL & OCCUPATIONAL HEALTH
Jatta Salmela, Noora Amanda Heinonen, Jade Knop, Marianna Virtanen, Pi Fagerlund, Anne Kouvonen, Tea Lallukka
{"title":"有心理困扰的年轻和早期中年员工的疾病缺勤轨迹:一项纵向登记关联研究中社会和健康相关因素的贡献","authors":"Jatta Salmela, Noora Amanda Heinonen, Jade Knop, Marianna Virtanen, Pi Fagerlund, Anne Kouvonen, Tea Lallukka","doi":"10.1007/s00420-024-02114-7","DOIUrl":null,"url":null,"abstract":"<p><strong>Purpose: </strong>Psychological distress has been associated with sickness absence (SA), but less is known about whether there are distinct patterns in the development of SA among people with psychological distress. We examined trajectories of short- and long-term SA among employees with psychological distress and how social and health-related factors are associated with them.</p><p><strong>Methods: </strong>We used the employer's register data on all-cause short- (≤ 10 working days) and long-term (> 10 working days) SA with a two-year follow-up. We prospectively linked the Helsinki Health Study survey data on 19-39-year-old employees of the City of Helsinki, Finland, in 2017, to the SA data. We included 1060 participants (81% women) who reported experiencing psychological distress, measured by the emotional wellbeing scale of RAND-36. Survey responses of age; gender; education; marital status; social support, procedural and interactional organisational justice, and bullying at work; physical activity; diet; tobacco and alcohol use; prior SA; and the level of psychological distress were included as exposures. Group-based trajectory modelling and multinomial logistic regression were used for the analyses.</p><p><strong>Results: </strong>We identified four short-term SA trajectories: 'low' (n = 379, 36% of participants), 'descending' (n = 212, 20%), 'intermediate' (n = 312, 29%), and 'high' (n = 157, 15%); and two long-term SA trajectories: 'low' (n = 973, 92%) and 'high' (n = 87, 8%). A higher education, fewer prior SA, and lower levels of psychological distress were associated with the 'low' short- and long-term SA trajectories.</p><p><strong>Conclusion: </strong>SA trajectories differ among employees with psychological distress. Early intervention and support are needed among employees with mental health symptoms to prevent future SA.</p>","PeriodicalId":13761,"journal":{"name":"International Archives of Occupational and Environmental Health","volume":" ","pages":"59-77"},"PeriodicalIF":2.4000,"publicationDate":"2025-01-01","publicationTypes":"Journal Article","fieldsOfStudy":null,"isOpenAccess":false,"openAccessPdf":"https://www.ncbi.nlm.nih.gov/pmc/articles/PMC11807076/pdf/","citationCount":"0","resultStr":"{\"title\":\"Sickness absence trajectories among young and early midlife employees with psychological distress: the contributions of social and health-related factors in a longitudinal register linkage study.\",\"authors\":\"Jatta Salmela, Noora Amanda Heinonen, Jade Knop, Marianna Virtanen, Pi Fagerlund, Anne Kouvonen, Tea Lallukka\",\"doi\":\"10.1007/s00420-024-02114-7\",\"DOIUrl\":null,\"url\":null,\"abstract\":\"<p><strong>Purpose: </strong>Psychological distress has been associated with sickness absence (SA), but less is known about whether there are distinct patterns in the development of SA among people with psychological distress. We examined trajectories of short- and long-term SA among employees with psychological distress and how social and health-related factors are associated with them.</p><p><strong>Methods: </strong>We used the employer's register data on all-cause short- (≤ 10 working days) and long-term (> 10 working days) SA with a two-year follow-up. We prospectively linked the Helsinki Health Study survey data on 19-39-year-old employees of the City of Helsinki, Finland, in 2017, to the SA data. We included 1060 participants (81% women) who reported experiencing psychological distress, measured by the emotional wellbeing scale of RAND-36. Survey responses of age; gender; education; marital status; social support, procedural and interactional organisational justice, and bullying at work; physical activity; diet; tobacco and alcohol use; prior SA; and the level of psychological distress were included as exposures. Group-based trajectory modelling and multinomial logistic regression were used for the analyses.</p><p><strong>Results: </strong>We identified four short-term SA trajectories: 'low' (n = 379, 36% of participants), 'descending' (n = 212, 20%), 'intermediate' (n = 312, 29%), and 'high' (n = 157, 15%); and two long-term SA trajectories: 'low' (n = 973, 92%) and 'high' (n = 87, 8%). A higher education, fewer prior SA, and lower levels of psychological distress were associated with the 'low' short- and long-term SA trajectories.</p><p><strong>Conclusion: </strong>SA trajectories differ among employees with psychological distress. Early intervention and support are needed among employees with mental health symptoms to prevent future SA.</p>\",\"PeriodicalId\":13761,\"journal\":{\"name\":\"International Archives of Occupational and Environmental Health\",\"volume\":\" \",\"pages\":\"59-77\"},\"PeriodicalIF\":2.4000,\"publicationDate\":\"2025-01-01\",\"publicationTypes\":\"Journal Article\",\"fieldsOfStudy\":null,\"isOpenAccess\":false,\"openAccessPdf\":\"https://www.ncbi.nlm.nih.gov/pmc/articles/PMC11807076/pdf/\",\"citationCount\":\"0\",\"resultStr\":null,\"platform\":\"Semanticscholar\",\"paperid\":null,\"PeriodicalName\":\"International Archives of Occupational and Environmental Health\",\"FirstCategoryId\":\"3\",\"ListUrlMain\":\"https://doi.org/10.1007/s00420-024-02114-7\",\"RegionNum\":3,\"RegionCategory\":\"医学\",\"ArticlePicture\":[],\"TitleCN\":null,\"AbstractTextCN\":null,\"PMCID\":null,\"EPubDate\":\"2024/12/5 0:00:00\",\"PubModel\":\"Epub\",\"JCR\":\"Q2\",\"JCRName\":\"PUBLIC, ENVIRONMENTAL & OCCUPATIONAL HEALTH\",\"Score\":null,\"Total\":0}","platform":"Semanticscholar","paperid":null,"PeriodicalName":"International Archives of Occupational and Environmental Health","FirstCategoryId":"3","ListUrlMain":"https://doi.org/10.1007/s00420-024-02114-7","RegionNum":3,"RegionCategory":"医学","ArticlePicture":[],"TitleCN":null,"AbstractTextCN":null,"PMCID":null,"EPubDate":"2024/12/5 0:00:00","PubModel":"Epub","JCR":"Q2","JCRName":"PUBLIC, ENVIRONMENTAL & OCCUPATIONAL HEALTH","Score":null,"Total":0}
引用次数: 0

摘要

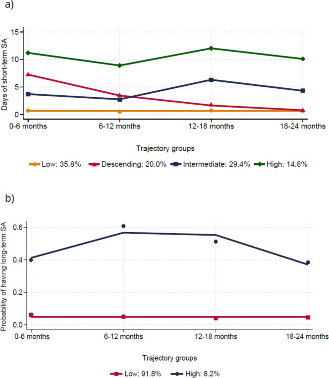
目的:心理困扰与疾病缺勤(SA)有关,但对于心理困扰患者的SA发展是否有不同的模式尚不清楚。我们研究了有心理困扰的员工的短期和长期SA的轨迹,以及社会和健康相关因素如何与他们相关。方法:我们使用雇主登记的全因短期(≤10个工作日)和长期(≤10个工作日)SA数据,并进行两年随访。我们前瞻性地将2017年芬兰赫尔辛基市19-39岁员工的赫尔辛基健康研究调查数据与SA数据联系起来。我们纳入了1060名参与者(81%为女性),他们报告有心理困扰,通过RAND-36情绪健康量表进行测量。年龄调查反应;性别;教育;婚姻状况;社会支持、程序和互动的组织公正以及工作中的欺凌行为;身体活动;饮食;使用烟草和酒精;前山;心理困扰程度也包括在暴露量中。采用基于群体的轨迹建模和多项逻辑回归进行分析。结果:我们确定了四种短期SA轨迹:“低”(n = 379, 36%的参与者),“下降”(n = 212, 20%),“中间”(n = 312, 29%)和“高”(n = 157, 15%);以及两个长期SA轨迹:“低”(n = 973,92%)和“高”(n = 87,8%)。高等教育、较少的SA和较低的心理困扰水平与“低”的短期和长期SA轨迹相关。结论:心理困扰员工的SA轨迹存在差异。有心理健康症状的员工需要早期干预和支持,以防止未来的SA。
本文章由计算机程序翻译,如有差异,请以英文原文为准。

Sickness absence trajectories among young and early midlife employees with psychological distress: the contributions of social and health-related factors in a longitudinal register linkage study.

Sickness absence trajectories among young and early midlife employees with psychological distress: the contributions of social and health-related factors in a longitudinal register linkage study.

Sickness absence trajectories among young and early midlife employees with psychological distress: the contributions of social and health-related factors in a longitudinal register linkage study.

Purpose: Psychological distress has been associated with sickness absence (SA), but less is known about whether there are distinct patterns in the development of SA among people with psychological distress. We examined trajectories of short- and long-term SA among employees with psychological distress and how social and health-related factors are associated with them.

Methods: We used the employer's register data on all-cause short- (≤ 10 working days) and long-term (> 10 working days) SA with a two-year follow-up. We prospectively linked the Helsinki Health Study survey data on 19-39-year-old employees of the City of Helsinki, Finland, in 2017, to the SA data. We included 1060 participants (81% women) who reported experiencing psychological distress, measured by the emotional wellbeing scale of RAND-36. Survey responses of age; gender; education; marital status; social support, procedural and interactional organisational justice, and bullying at work; physical activity; diet; tobacco and alcohol use; prior SA; and the level of psychological distress were included as exposures. Group-based trajectory modelling and multinomial logistic regression were used for the analyses.

Results: We identified four short-term SA trajectories: 'low' (n = 379, 36% of participants), 'descending' (n = 212, 20%), 'intermediate' (n = 312, 29%), and 'high' (n = 157, 15%); and two long-term SA trajectories: 'low' (n = 973, 92%) and 'high' (n = 87, 8%). A higher education, fewer prior SA, and lower levels of psychological distress were associated with the 'low' short- and long-term SA trajectories.

Conclusion: SA trajectories differ among employees with psychological distress. Early intervention and support are needed among employees with mental health symptoms to prevent future SA.

求助全文
通过发布文献求助,成功后即可免费获取论文全文。 去求助
来源期刊
International Archives of Occupational and Environmental Health
International Archives of Occupational and Environmental Health 医学-公共卫生、环境卫生与职业卫生
CiteScore
5.60
自引率
6.70%
发文量
127
审稿时长
3 months
期刊介绍: International Archives of Occupational and Environmental Health publishes Editorials, Review Articles, Original Articles, and Letters to the Editor. It welcomes any manuscripts dealing with occupational or ambient environmental problems, with a special interest in research at the interface of occupational health and clinical medicine. The scope ranges from Biological Monitoring to Dermatology, from Fibers and Dust to Human Toxicology, from Nanomaterials and Ultra-fine Dust to Night- and Shift Work, from Psycho-mental Distress and Burnout to Vibrations. A complete list of topics can be found on the right-hand side under For authors and editors. In addition, all papers should be based on present-day standards and relate to: -Clinical and epidemiological studies on morbidity and mortality -Clinical epidemiological studies on the parameters relevant to the estimation of health risks -Human experimental studies on environmental health effects. Animal experiments are only acceptable if relevant to pathogenic aspects. -Methods for studying the topics mentioned above.
×
引用
GB/T 7714-2015
复制
MLA
复制
APA
复制
导出至
BibTeX EndNote RefMan NoteFirst NoteExpress
×
提示
您的信息不完整,为了账户安全,请先补充。
现在去补充
×
提示
您因"违规操作"
具体请查看互助需知
我知道了
×
提示
确定
请完成安全验证×
copy
已复制链接
快去分享给好友吧!
我知道了
右上角分享
点击右上角分享
0
联系我们:info@booksci.cn Book学术提供免费学术资源搜索服务,方便国内外学者检索中英文文献。致力于提供最便捷和优质的服务体验。 Copyright © 2023 布克学术 All rights reserved.
京ICP备2023020795号-1
ghs 京公网安备 11010802042870号
Book学术文献互助
Book学术文献互助群
群 号:604180095
Book学术官方微信