接种和未接种实体器官移植受体的COVID-19临床表型:一项多中心验证研究

IF 3.9 2区 综合性期刊 Q1 MULTIDISCIPLINARY SCIENCES
Carmen Infante-Domínguez, Sonsoles Salto-Alejandre, Rocío Álvarez-Marín, Nuria Sabé, Antonio Ramos-Martínez, Asunción Moreno, Kamilla Ferreira de Moraes, Zaira R Palacios-Baena, Patricia Muñoz, Mario Fernández-Ruiz, Marino Blanes, Carmen Fariñas, Elisa Vidal, Esperanza Merino de Lucas, Márcia Halpern, Román Hernández-Gallego, Matteo Bassetti, Alessandra Mularoni, Alex Gutiérrez-Dalmau, Matteo Rinaldi, Silvia Jiménez-Jorge, Marta Bodro, Luis Fernando Aranha-Camargo, Maricela Valerio, Javier Sánchez-Céspedes, Belén Gutiérrez-Gutiérrez, Maddalena Giannella, Jesús Rodríguez-Baño, Jerónimo Pachón, Elisa Cordero
{"title":"接种和未接种实体器官移植受体的COVID-19临床表型:一项多中心验证研究","authors":"Carmen Infante-Domínguez, Sonsoles Salto-Alejandre, Rocío Álvarez-Marín, Nuria Sabé, Antonio Ramos-Martínez, Asunción Moreno, Kamilla Ferreira de Moraes, Zaira R Palacios-Baena, Patricia Muñoz, Mario Fernández-Ruiz, Marino Blanes, Carmen Fariñas, Elisa Vidal, Esperanza Merino de Lucas, Márcia Halpern, Román Hernández-Gallego, Matteo Bassetti, Alessandra Mularoni, Alex Gutiérrez-Dalmau, Matteo Rinaldi, Silvia Jiménez-Jorge, Marta Bodro, Luis Fernando Aranha-Camargo, Maricela Valerio, Javier Sánchez-Céspedes, Belén Gutiérrez-Gutiérrez, Maddalena Giannella, Jesús Rodríguez-Baño, Jerónimo Pachón, Elisa Cordero","doi":"10.1038/s41598-024-81099-2","DOIUrl":null,"url":null,"abstract":"<p><p>Clinical phenotypes of COVID-19, associated with mortality risk, have been identified in the general population. The present study assesses their applicability in solid organ transplant recipients (SOTR) hospital-admitted by COVID-19. In a cohort of 488 SOTR, nonvaccinated (n = 394) and vaccinated (n = 94) against SARS-CoV-2, we evaluated 16 demographic, clinical, analytical, and radiological variables to identify the clinical phenotypes A, B, and C. The median age was 61.0 (51-69) years, 330 (67.6%) and 158 (32.4%) were men and women, respectively, 415 (85%) had pneumonia, and 161 (33%) had SpO<sub>2</sub> < 95% at admission. All-cause mortality occurred in 105 (21.5%) cases. It was higher in nonvaccinated versus vaccinated SOTR (23.4% vs 13.8%, P = 0.04). Patients in the entire cohort were classified into phenotypes A (n = 149, 30.5%), B (n = 187, 38.3%), and C (n = 152, 31.1%), with mortality rates of 8.7%, 16.6%, and 40.1%, respectively, which were similar to those of nonvaccinated SOTR (9.5%, 16.7%, and 52.0%) and lower in vaccinated SOTR (4.4%, 15.8%, and 17.3%, respectively), with difference between nonvaccinated and vaccinated in the phenotype C (P < 0.001). In conclusion, COVID-19 clinical phenotypes are useful in SOTR, and all-cause mortality decreases in vaccinated patients.</p>","PeriodicalId":21811,"journal":{"name":"Scientific Reports","volume":"14 1","pages":"30021"},"PeriodicalIF":3.9000,"publicationDate":"2024-12-03","publicationTypes":"Journal Article","fieldsOfStudy":null,"isOpenAccess":false,"openAccessPdf":"https://www.ncbi.nlm.nih.gov/pmc/articles/PMC11612230/pdf/","citationCount":"0","resultStr":"{\"title\":\"COVID-19 clinical phenotypes in vaccinated and nonvaccinated solid organ transplant recipients: a multicenter validation study.\",\"authors\":\"Carmen Infante-Domínguez, Sonsoles Salto-Alejandre, Rocío Álvarez-Marín, Nuria Sabé, Antonio Ramos-Martínez, Asunción Moreno, Kamilla Ferreira de Moraes, Zaira R Palacios-Baena, Patricia Muñoz, Mario Fernández-Ruiz, Marino Blanes, Carmen Fariñas, Elisa Vidal, Esperanza Merino de Lucas, Márcia Halpern, Román Hernández-Gallego, Matteo Bassetti, Alessandra Mularoni, Alex Gutiérrez-Dalmau, Matteo Rinaldi, Silvia Jiménez-Jorge, Marta Bodro, Luis Fernando Aranha-Camargo, Maricela Valerio, Javier Sánchez-Céspedes, Belén Gutiérrez-Gutiérrez, Maddalena Giannella, Jesús Rodríguez-Baño, Jerónimo Pachón, Elisa Cordero\",\"doi\":\"10.1038/s41598-024-81099-2\",\"DOIUrl\":null,\"url\":null,\"abstract\":\"<p><p>Clinical phenotypes of COVID-19, associated with mortality risk, have been identified in the general population. The present study assesses their applicability in solid organ transplant recipients (SOTR) hospital-admitted by COVID-19. In a cohort of 488 SOTR, nonvaccinated (n = 394) and vaccinated (n = 94) against SARS-CoV-2, we evaluated 16 demographic, clinical, analytical, and radiological variables to identify the clinical phenotypes A, B, and C. The median age was 61.0 (51-69) years, 330 (67.6%) and 158 (32.4%) were men and women, respectively, 415 (85%) had pneumonia, and 161 (33%) had SpO<sub>2</sub> < 95% at admission. All-cause mortality occurred in 105 (21.5%) cases. It was higher in nonvaccinated versus vaccinated SOTR (23.4% vs 13.8%, P = 0.04). Patients in the entire cohort were classified into phenotypes A (n = 149, 30.5%), B (n = 187, 38.3%), and C (n = 152, 31.1%), with mortality rates of 8.7%, 16.6%, and 40.1%, respectively, which were similar to those of nonvaccinated SOTR (9.5%, 16.7%, and 52.0%) and lower in vaccinated SOTR (4.4%, 15.8%, and 17.3%, respectively), with difference between nonvaccinated and vaccinated in the phenotype C (P < 0.001). In conclusion, COVID-19 clinical phenotypes are useful in SOTR, and all-cause mortality decreases in vaccinated patients.</p>\",\"PeriodicalId\":21811,\"journal\":{\"name\":\"Scientific Reports\",\"volume\":\"14 1\",\"pages\":\"30021\"},\"PeriodicalIF\":3.9000,\"publicationDate\":\"2024-12-03\",\"publicationTypes\":\"Journal Article\",\"fieldsOfStudy\":null,\"isOpenAccess\":false,\"openAccessPdf\":\"https://www.ncbi.nlm.nih.gov/pmc/articles/PMC11612230/pdf/\",\"citationCount\":\"0\",\"resultStr\":null,\"platform\":\"Semanticscholar\",\"paperid\":null,\"PeriodicalName\":\"Scientific Reports\",\"FirstCategoryId\":\"103\",\"ListUrlMain\":\"https://doi.org/10.1038/s41598-024-81099-2\",\"RegionNum\":2,\"RegionCategory\":\"综合性期刊\",\"ArticlePicture\":[],\"TitleCN\":null,\"AbstractTextCN\":null,\"PMCID\":null,\"EPubDate\":\"\",\"PubModel\":\"\",\"JCR\":\"Q1\",\"JCRName\":\"MULTIDISCIPLINARY SCIENCES\",\"Score\":null,\"Total\":0}","platform":"Semanticscholar","paperid":null,"PeriodicalName":"Scientific Reports","FirstCategoryId":"103","ListUrlMain":"https://doi.org/10.1038/s41598-024-81099-2","RegionNum":2,"RegionCategory":"综合性期刊","ArticlePicture":[],"TitleCN":null,"AbstractTextCN":null,"PMCID":null,"EPubDate":"","PubModel":"","JCR":"Q1","JCRName":"MULTIDISCIPLINARY SCIENCES","Score":null,"Total":0}
引用次数: 0

摘要

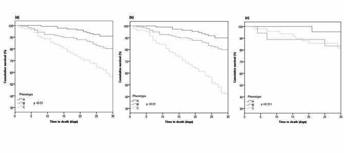
已在普通人群中发现与死亡风险相关的COVID-19临床表型。本研究评估了它们在COVID-19住院的实体器官移植受者(SOTR)中的适用性。在488名SOTR、未接种SARS-CoV-2疫苗(n = 394)和接种SARS-CoV-2疫苗(n = 94)的队列中,我们评估了16个人口统计学、临床、分析和放射学变量,以确定临床表型a、B和c。中位年龄分别为61.0(51-69)岁,330(67.6%)和158(32.4%)为男性和女性,415(85%)患有肺炎,161(33%)患有SpO2
本文章由计算机程序翻译,如有差异,请以英文原文为准。

COVID-19 clinical phenotypes in vaccinated and nonvaccinated solid organ transplant recipients: a multicenter validation study.

COVID-19 clinical phenotypes in vaccinated and nonvaccinated solid organ transplant recipients: a multicenter validation study.

COVID-19 clinical phenotypes in vaccinated and nonvaccinated solid organ transplant recipients: a multicenter validation study.

Clinical phenotypes of COVID-19, associated with mortality risk, have been identified in the general population. The present study assesses their applicability in solid organ transplant recipients (SOTR) hospital-admitted by COVID-19. In a cohort of 488 SOTR, nonvaccinated (n = 394) and vaccinated (n = 94) against SARS-CoV-2, we evaluated 16 demographic, clinical, analytical, and radiological variables to identify the clinical phenotypes A, B, and C. The median age was 61.0 (51-69) years, 330 (67.6%) and 158 (32.4%) were men and women, respectively, 415 (85%) had pneumonia, and 161 (33%) had SpO2 < 95% at admission. All-cause mortality occurred in 105 (21.5%) cases. It was higher in nonvaccinated versus vaccinated SOTR (23.4% vs 13.8%, P = 0.04). Patients in the entire cohort were classified into phenotypes A (n = 149, 30.5%), B (n = 187, 38.3%), and C (n = 152, 31.1%), with mortality rates of 8.7%, 16.6%, and 40.1%, respectively, which were similar to those of nonvaccinated SOTR (9.5%, 16.7%, and 52.0%) and lower in vaccinated SOTR (4.4%, 15.8%, and 17.3%, respectively), with difference between nonvaccinated and vaccinated in the phenotype C (P < 0.001). In conclusion, COVID-19 clinical phenotypes are useful in SOTR, and all-cause mortality decreases in vaccinated patients.

求助全文
通过发布文献求助,成功后即可免费获取论文全文。 去求助
来源期刊
Scientific Reports
Scientific Reports Natural Science Disciplines-
CiteScore
7.50
自引率
4.30%
发文量
19567
审稿时长
3.9 months
期刊介绍: We publish original research from all areas of the natural sciences, psychology, medicine and engineering. You can learn more about what we publish by browsing our specific scientific subject areas below or explore Scientific Reports by browsing all articles and collections. Scientific Reports has a 2-year impact factor: 4.380 (2021), and is the 6th most-cited journal in the world, with more than 540,000 citations in 2020 (Clarivate Analytics, 2021). •Engineering Engineering covers all aspects of engineering, technology, and applied science. It plays a crucial role in the development of technologies to address some of the world''s biggest challenges, helping to save lives and improve the way we live. •Physical sciences Physical sciences are those academic disciplines that aim to uncover the underlying laws of nature — often written in the language of mathematics. It is a collective term for areas of study including astronomy, chemistry, materials science and physics. •Earth and environmental sciences Earth and environmental sciences cover all aspects of Earth and planetary science and broadly encompass solid Earth processes, surface and atmospheric dynamics, Earth system history, climate and climate change, marine and freshwater systems, and ecology. It also considers the interactions between humans and these systems. •Biological sciences Biological sciences encompass all the divisions of natural sciences examining various aspects of vital processes. The concept includes anatomy, physiology, cell biology, biochemistry and biophysics, and covers all organisms from microorganisms, animals to plants. •Health sciences The health sciences study health, disease and healthcare. This field of study aims to develop knowledge, interventions and technology for use in healthcare to improve the treatment of patients.
×
引用
GB/T 7714-2015
复制
MLA
复制
APA
复制
导出至
BibTeX EndNote RefMan NoteFirst NoteExpress
×
提示
您的信息不完整,为了账户安全,请先补充。
现在去补充
×
提示
您因"违规操作"
具体请查看互助需知
我知道了
×
提示
确定
请完成安全验证×
copy
已复制链接
快去分享给好友吧!
我知道了
右上角分享
点击右上角分享
0
联系我们:info@booksci.cn Book学术提供免费学术资源搜索服务,方便国内外学者检索中英文文献。致力于提供最便捷和优质的服务体验。 Copyright © 2023 布克学术 All rights reserved.
京ICP备2023020795号-1
ghs 京公网安备 11010802042870号
Book学术文献互助
Book学术文献互助群
群 号:604180095
Book学术官方微信