通过移动医疗干预改善食物相关抑制控制——一项随机对照试验的次要结果分析

IF 1.9 Q3 ENDOCRINOLOGY & METABOLISM
Obesity Science & Practice Pub Date : 2024-12-02 eCollection Date: 2024-12-01 DOI:10.1002/osp4.70026
Natalie Schoemann, Caroline Seiferth, Magdalena Pape, Tanja Färber, Stephan Herpertz, Sabine Steins-Loeber, Jörg Wolstein
{"title":"通过移动医疗干预改善食物相关抑制控制——一项随机对照试验的次要结果分析","authors":"Natalie Schoemann, Caroline Seiferth, Magdalena Pape, Tanja Färber, Stephan Herpertz, Sabine Steins-Loeber, Jörg Wolstein","doi":"10.1002/osp4.70026","DOIUrl":null,"url":null,"abstract":"<p><strong>Background: </strong>Experimental studies reveal that deficits in food-related inhibitory control, rather than general impulsiveness, are closely linked to overweight and obesity. To date, the real-world implications remain unknown, and it is unclear whether these results are supported in the clinical field.</p><p><strong>Objective: </strong>To examine the effectiveness of a mobile health (mHealth) intervention with cognitive and behavioral therapeutic elements in altering impulsiveness and food-related inhibitory control.</p><p><strong>Methods: </strong>Prespecified secondary outcome analysis of a randomized controlled trial. Participants with overweight/obesity (BMI: <i>M</i> = 33.35 kg/m<sup>2</sup>, SD = 3.79 kg/m<sup>2</sup>, <i>N</i> = 213) were randomly assigned to either a 12-week mHealth intervention (<i>n</i> = 116) or wait-list control group (<i>n</i> = 97). The Barratt-Impulsiveness-Scale (BIS-15) and the Food-Related Inhibitory Control Scale (FRIS) were administered at baseline (T0) following the intervention (T1), at 9 and 15 month post baseline (T2, T3). Multi-level analyses were calculated.</p><p><strong>Results: </strong>Compared to the control group, the intervention group reported higher food-related inhibitory control on several subscales of the FRIS: In Withholding in Social Situations at T1 (95% CI: 0.06-0.46) and T2 (95%CI: 0.09-0.50), Action Cancellation at T1 (95%CI: 0.05-0.45), Resisting despite Craving at T1 (95% CI: 0.07-0.49), Withstanding Rewarding Food at T2 (95%CI: 0.08-0.55) and Action Withholding at T3 (95% CI: 0.01-0.55). No differences were found for trait impulsiveness (T1: 95%CI: -1.91-0.47; T2: 95%CI: -1.65-0.84; T3: 95%CI: -0.88-1.67).</p><p><strong>Conclusions: </strong>Food-related inhibitory control, rather than global measures of impulsiveness, addresses the critical association between inhibitory control and health-conscious dietary choices and can be improved by mHealth intervention.</p><p><strong>Trial registration: </strong>ClinicalTrials.gov identifier: NCT04080193.</p>","PeriodicalId":19448,"journal":{"name":"Obesity Science & Practice","volume":"10 6","pages":"e70026"},"PeriodicalIF":1.9000,"publicationDate":"2024-12-02","publicationTypes":"Journal Article","fieldsOfStudy":null,"isOpenAccess":false,"openAccessPdf":"https://www.ncbi.nlm.nih.gov/pmc/articles/PMC11609755/pdf/","citationCount":"0","resultStr":"{\"title\":\"Improving Food-Related Inhibitory Control Through an mHealth Intervention-A Secondary Outcome Analysis of an RCT.\",\"authors\":\"Natalie Schoemann, Caroline Seiferth, Magdalena Pape, Tanja Färber, Stephan Herpertz, Sabine Steins-Loeber, Jörg Wolstein\",\"doi\":\"10.1002/osp4.70026\",\"DOIUrl\":null,\"url\":null,\"abstract\":\"<p><strong>Background: </strong>Experimental studies reveal that deficits in food-related inhibitory control, rather than general impulsiveness, are closely linked to overweight and obesity. To date, the real-world implications remain unknown, and it is unclear whether these results are supported in the clinical field.</p><p><strong>Objective: </strong>To examine the effectiveness of a mobile health (mHealth) intervention with cognitive and behavioral therapeutic elements in altering impulsiveness and food-related inhibitory control.</p><p><strong>Methods: </strong>Prespecified secondary outcome analysis of a randomized controlled trial. Participants with overweight/obesity (BMI: <i>M</i> = 33.35 kg/m<sup>2</sup>, SD = 3.79 kg/m<sup>2</sup>, <i>N</i> = 213) were randomly assigned to either a 12-week mHealth intervention (<i>n</i> = 116) or wait-list control group (<i>n</i> = 97). The Barratt-Impulsiveness-Scale (BIS-15) and the Food-Related Inhibitory Control Scale (FRIS) were administered at baseline (T0) following the intervention (T1), at 9 and 15 month post baseline (T2, T3). Multi-level analyses were calculated.</p><p><strong>Results: </strong>Compared to the control group, the intervention group reported higher food-related inhibitory control on several subscales of the FRIS: In Withholding in Social Situations at T1 (95% CI: 0.06-0.46) and T2 (95%CI: 0.09-0.50), Action Cancellation at T1 (95%CI: 0.05-0.45), Resisting despite Craving at T1 (95% CI: 0.07-0.49), Withstanding Rewarding Food at T2 (95%CI: 0.08-0.55) and Action Withholding at T3 (95% CI: 0.01-0.55). No differences were found for trait impulsiveness (T1: 95%CI: -1.91-0.47; T2: 95%CI: -1.65-0.84; T3: 95%CI: -0.88-1.67).</p><p><strong>Conclusions: </strong>Food-related inhibitory control, rather than global measures of impulsiveness, addresses the critical association between inhibitory control and health-conscious dietary choices and can be improved by mHealth intervention.</p><p><strong>Trial registration: </strong>ClinicalTrials.gov identifier: NCT04080193.</p>\",\"PeriodicalId\":19448,\"journal\":{\"name\":\"Obesity Science & Practice\",\"volume\":\"10 6\",\"pages\":\"e70026\"},\"PeriodicalIF\":1.9000,\"publicationDate\":\"2024-12-02\",\"publicationTypes\":\"Journal Article\",\"fieldsOfStudy\":null,\"isOpenAccess\":false,\"openAccessPdf\":\"https://www.ncbi.nlm.nih.gov/pmc/articles/PMC11609755/pdf/\",\"citationCount\":\"0\",\"resultStr\":null,\"platform\":\"Semanticscholar\",\"paperid\":null,\"PeriodicalName\":\"Obesity Science & Practice\",\"FirstCategoryId\":\"1085\",\"ListUrlMain\":\"https://doi.org/10.1002/osp4.70026\",\"RegionNum\":0,\"RegionCategory\":null,\"ArticlePicture\":[],\"TitleCN\":null,\"AbstractTextCN\":null,\"PMCID\":null,\"EPubDate\":\"2024/12/1 0:00:00\",\"PubModel\":\"eCollection\",\"JCR\":\"Q3\",\"JCRName\":\"ENDOCRINOLOGY & METABOLISM\",\"Score\":null,\"Total\":0}","platform":"Semanticscholar","paperid":null,"PeriodicalName":"Obesity Science & Practice","FirstCategoryId":"1085","ListUrlMain":"https://doi.org/10.1002/osp4.70026","RegionNum":0,"RegionCategory":null,"ArticlePicture":[],"TitleCN":null,"AbstractTextCN":null,"PMCID":null,"EPubDate":"2024/12/1 0:00:00","PubModel":"eCollection","JCR":"Q3","JCRName":"ENDOCRINOLOGY & METABOLISM","Score":null,"Total":0}
引用次数: 0

摘要

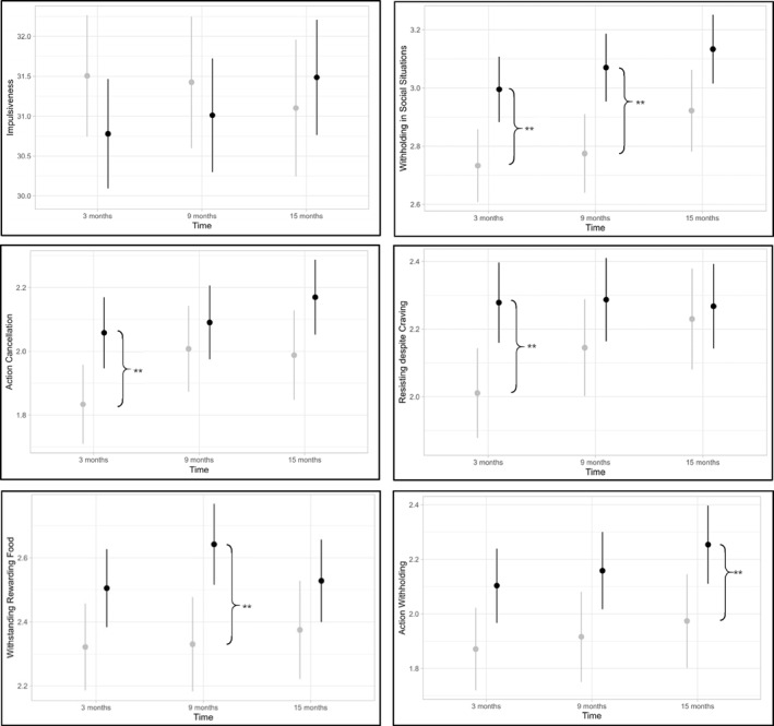
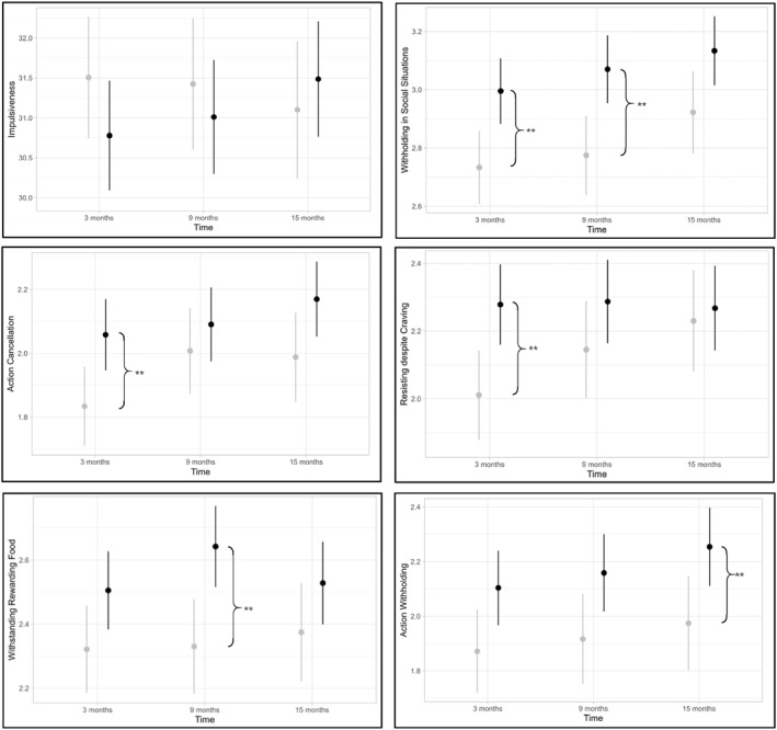
背景:实验研究表明,与食物相关的抑制控制缺陷,而不是一般的冲动,与超重和肥胖密切相关。到目前为止,现实世界的影响仍然未知,也不清楚这些结果是否在临床领域得到支持。目的:研究移动健康(mHealth)干预与认知和行为治疗元素在改变冲动和食物相关抑制控制方面的有效性。方法:随机对照试验预先设定次要结局分析。超重/肥胖参与者(BMI: M = 33.35 kg/m2, SD = 3.79 kg/m2, N = 213)被随机分配到为期12周的mHealth干预组(N = 116)或等候名单对照组(N = 97)。barrat冲动量表(BIS-15)和食物相关抑制控制量表(FRIS)分别在干预后的基线(T0)、基线后9个月和15个月(T2、T3)进行。计算了多层次分析。结果:与对照组相比,干预组在FRIS的几个子量表上报告了更高的食物相关抑制控制:T1在社交情境中的抑制(95%CI: 0.06-0.46)和T2 (95%CI: 0.09-0.50), T1在行动取消(95%CI: 0.05-0.45), T1在渴望中抵抗(95%CI: 0.07-0.49), T2在抵抗奖励食物(95%CI: 0.08-0.55)和T3在行动抑制(95%CI: 0.01-0.55)。两组在冲动性方面差异无统计学意义(T1: 95%CI: -1.91 ~ 0.47;T2: 95%ci: -1.65-0.84;T3: 95%ci: -0.88-1.67)。结论:与食物相关的抑制控制,而不是冲动的全球测量,解决了抑制控制和健康意识饮食选择之间的关键关联,可以通过移动健康干预来改善。试验注册:ClinicalTrials.gov标识符:NCT04080193。
本文章由计算机程序翻译,如有差异,请以英文原文为准。

Improving Food-Related Inhibitory Control Through an mHealth Intervention-A Secondary Outcome Analysis of an RCT.

Improving Food-Related Inhibitory Control Through an mHealth Intervention-A Secondary Outcome Analysis of an RCT.

Improving Food-Related Inhibitory Control Through an mHealth Intervention-A Secondary Outcome Analysis of an RCT.

Background: Experimental studies reveal that deficits in food-related inhibitory control, rather than general impulsiveness, are closely linked to overweight and obesity. To date, the real-world implications remain unknown, and it is unclear whether these results are supported in the clinical field.

Objective: To examine the effectiveness of a mobile health (mHealth) intervention with cognitive and behavioral therapeutic elements in altering impulsiveness and food-related inhibitory control.

Methods: Prespecified secondary outcome analysis of a randomized controlled trial. Participants with overweight/obesity (BMI: M = 33.35 kg/m2, SD = 3.79 kg/m2, N = 213) were randomly assigned to either a 12-week mHealth intervention (n = 116) or wait-list control group (n = 97). The Barratt-Impulsiveness-Scale (BIS-15) and the Food-Related Inhibitory Control Scale (FRIS) were administered at baseline (T0) following the intervention (T1), at 9 and 15 month post baseline (T2, T3). Multi-level analyses were calculated.

Results: Compared to the control group, the intervention group reported higher food-related inhibitory control on several subscales of the FRIS: In Withholding in Social Situations at T1 (95% CI: 0.06-0.46) and T2 (95%CI: 0.09-0.50), Action Cancellation at T1 (95%CI: 0.05-0.45), Resisting despite Craving at T1 (95% CI: 0.07-0.49), Withstanding Rewarding Food at T2 (95%CI: 0.08-0.55) and Action Withholding at T3 (95% CI: 0.01-0.55). No differences were found for trait impulsiveness (T1: 95%CI: -1.91-0.47; T2: 95%CI: -1.65-0.84; T3: 95%CI: -0.88-1.67).

Conclusions: Food-related inhibitory control, rather than global measures of impulsiveness, addresses the critical association between inhibitory control and health-conscious dietary choices and can be improved by mHealth intervention.

Trial registration: ClinicalTrials.gov identifier: NCT04080193.

求助全文
通过发布文献求助,成功后即可免费获取论文全文。 去求助
来源期刊
Obesity Science & Practice
Obesity Science & Practice ENDOCRINOLOGY & METABOLISM-
CiteScore
4.20
自引率
4.50%
发文量
73
审稿时长
29 weeks
×
引用
GB/T 7714-2015
复制
MLA
复制
APA
复制
导出至
BibTeX EndNote RefMan NoteFirst NoteExpress
×
提示
您的信息不完整,为了账户安全,请先补充。
现在去补充
×
提示
您因"违规操作"
具体请查看互助需知
我知道了
×
提示
确定
请完成安全验证×
copy
已复制链接
快去分享给好友吧!
我知道了
右上角分享
点击右上角分享
0
联系我们:info@booksci.cn Book学术提供免费学术资源搜索服务,方便国内外学者检索中英文文献。致力于提供最便捷和优质的服务体验。 Copyright © 2023 布克学术 All rights reserved.
京ICP备2023020795号-1
ghs 京公网安备 11010802042870号
Book学术文献互助
Book学术文献互助群
群 号:604180095
Book学术官方微信