慢性Vogt-Koyanagi-Harada病的扫描源光学相干断层扫描自动测量脉络膜厚度:3年随访。

IF 2.3 Q1 OPHTHALMOLOGY
Liria Yamamoto-Rodríguez, Alexander Anduaga-Beramendi, Roger Mediavilla-Vallespín, Olaia Subirà, Pere Garcia-Bru, Xavier Solanich-Moreno, Luis Arias, Josep M Caminal, Olga García-García
{"title":"慢性Vogt-Koyanagi-Harada病的扫描源光学相干断层扫描自动测量脉络膜厚度:3年随访。","authors":"Liria Yamamoto-Rodríguez, Alexander Anduaga-Beramendi, Roger Mediavilla-Vallespín, Olaia Subirà, Pere Garcia-Bru, Xavier Solanich-Moreno, Luis Arias, Josep M Caminal, Olga García-García","doi":"10.1186/s12348-024-00445-7","DOIUrl":null,"url":null,"abstract":"<p><strong>Purpose: </strong>The course of Vogt-Koyanagi-Harada (VKH) disease is typically assessed qualitatively using indocyanine green angiography (ICGA) and enhanced-depth imaging optical coherence tomography (EDI-OCT). However, a quantitative approach could improve accuracy and objectivity. The aim of this study was to assess the clinical value of the automated measurement capabilities of swept-source optical coherence tomography (SS-OCT) to measure choroidal thickness (quantitative approach) in chronic VKH.</p><p><strong>Methods: </strong>Prospective, longitudinal case-control study at a tertiary university hospital involving 23 chronic VKH patients (9 convalescent and 14 quiescent) and 17 age-matched controls. Choroidal thickness was automatically measured with SS-OCT.</p><p><strong>Results: </strong>Choroidal thinning and improved vision were associated with treatment while increasing thickness and worsening vision were associated with posterior relapse. Overall, 41.6% of asymptomatic (no change in visual acuity) recurrences in the convalescent group and 25% of recurrences in the quiescent group were detected by SS-OCT. All recurrences diagnosed by SS-OCT showed signs of inflammation on ICGA.</p><p><strong>Conclusions: </strong>Automatic measurement of choroidal thickness with SS-OCT is a rapid, non-invasive method of detecting posterior segment recurrences and treatment response in VKH patients, and could reduce the need for angiography to monitor this disease.</p>","PeriodicalId":16600,"journal":{"name":"Journal of Ophthalmic Inflammation and Infection","volume":"14 1","pages":"62"},"PeriodicalIF":2.3000,"publicationDate":"2024-12-02","publicationTypes":"Journal Article","fieldsOfStudy":null,"isOpenAccess":false,"openAccessPdf":"https://www.ncbi.nlm.nih.gov/pmc/articles/PMC11612052/pdf/","citationCount":"0","resultStr":"{\"title\":\"Automatic measurement of choroidal thickness with swept-source optical coherence tomography in chronic Vogt-Koyanagi-Harada disease: 3 years' follow-up.\",\"authors\":\"Liria Yamamoto-Rodríguez, Alexander Anduaga-Beramendi, Roger Mediavilla-Vallespín, Olaia Subirà, Pere Garcia-Bru, Xavier Solanich-Moreno, Luis Arias, Josep M Caminal, Olga García-García\",\"doi\":\"10.1186/s12348-024-00445-7\",\"DOIUrl\":null,\"url\":null,\"abstract\":\"<p><strong>Purpose: </strong>The course of Vogt-Koyanagi-Harada (VKH) disease is typically assessed qualitatively using indocyanine green angiography (ICGA) and enhanced-depth imaging optical coherence tomography (EDI-OCT). However, a quantitative approach could improve accuracy and objectivity. The aim of this study was to assess the clinical value of the automated measurement capabilities of swept-source optical coherence tomography (SS-OCT) to measure choroidal thickness (quantitative approach) in chronic VKH.</p><p><strong>Methods: </strong>Prospective, longitudinal case-control study at a tertiary university hospital involving 23 chronic VKH patients (9 convalescent and 14 quiescent) and 17 age-matched controls. Choroidal thickness was automatically measured with SS-OCT.</p><p><strong>Results: </strong>Choroidal thinning and improved vision were associated with treatment while increasing thickness and worsening vision were associated with posterior relapse. Overall, 41.6% of asymptomatic (no change in visual acuity) recurrences in the convalescent group and 25% of recurrences in the quiescent group were detected by SS-OCT. All recurrences diagnosed by SS-OCT showed signs of inflammation on ICGA.</p><p><strong>Conclusions: </strong>Automatic measurement of choroidal thickness with SS-OCT is a rapid, non-invasive method of detecting posterior segment recurrences and treatment response in VKH patients, and could reduce the need for angiography to monitor this disease.</p>\",\"PeriodicalId\":16600,\"journal\":{\"name\":\"Journal of Ophthalmic Inflammation and Infection\",\"volume\":\"14 1\",\"pages\":\"62\"},\"PeriodicalIF\":2.3000,\"publicationDate\":\"2024-12-02\",\"publicationTypes\":\"Journal Article\",\"fieldsOfStudy\":null,\"isOpenAccess\":false,\"openAccessPdf\":\"https://www.ncbi.nlm.nih.gov/pmc/articles/PMC11612052/pdf/\",\"citationCount\":\"0\",\"resultStr\":null,\"platform\":\"Semanticscholar\",\"paperid\":null,\"PeriodicalName\":\"Journal of Ophthalmic Inflammation and Infection\",\"FirstCategoryId\":\"1085\",\"ListUrlMain\":\"https://doi.org/10.1186/s12348-024-00445-7\",\"RegionNum\":0,\"RegionCategory\":null,\"ArticlePicture\":[],\"TitleCN\":null,\"AbstractTextCN\":null,\"PMCID\":null,\"EPubDate\":\"\",\"PubModel\":\"\",\"JCR\":\"Q1\",\"JCRName\":\"OPHTHALMOLOGY\",\"Score\":null,\"Total\":0}","platform":"Semanticscholar","paperid":null,"PeriodicalName":"Journal of Ophthalmic Inflammation and Infection","FirstCategoryId":"1085","ListUrlMain":"https://doi.org/10.1186/s12348-024-00445-7","RegionNum":0,"RegionCategory":null,"ArticlePicture":[],"TitleCN":null,"AbstractTextCN":null,"PMCID":null,"EPubDate":"","PubModel":"","JCR":"Q1","JCRName":"OPHTHALMOLOGY","Score":null,"Total":0}
引用次数: 0

摘要

目的:Vogt-Koyanagi-Harada (VKH)病的病程通常采用吲哚菁绿血管造影(ICGA)和增强深度成像光学相干断层扫描(edii - oct)进行定性评估。然而,定量方法可以提高准确性和客观性。本研究的目的是评估扫描源光学相干断层扫描(SS-OCT)自动测量慢性VKH脉络膜厚度(定量方法)的临床价值。方法:在某三级大学医院进行前瞻性、纵向病例对照研究,纳入23例慢性VKH患者(9例恢复期,14例静止期)和17例年龄匹配的对照组。用SS-OCT自动测量脉络膜厚度。结果:脉络膜变薄和视力改善与治疗有关,而厚度增加和视力恶化与术后复发有关。总的来说,康复组41.6%的无症状(视力无变化)复发率和静止组25%的复发率被SS-OCT检测到。所有经SS-OCT诊断的复发均有ICGA炎症征象。结论:SS-OCT自动测量脉络膜厚度是一种快速、无创的检测VKH后段复发和治疗效果的方法,可以减少对血管造影监测的需要。
本文章由计算机程序翻译,如有差异,请以英文原文为准。

Automatic measurement of choroidal thickness with swept-source optical coherence tomography in chronic Vogt-Koyanagi-Harada disease: 3 years' follow-up.

Automatic measurement of choroidal thickness with swept-source optical coherence tomography in chronic Vogt-Koyanagi-Harada disease: 3 years' follow-up.

Automatic measurement of choroidal thickness with swept-source optical coherence tomography in chronic Vogt-Koyanagi-Harada disease: 3 years' follow-up.

Automatic measurement of choroidal thickness with swept-source optical coherence tomography in chronic Vogt-Koyanagi-Harada disease: 3 years' follow-up.

Purpose: The course of Vogt-Koyanagi-Harada (VKH) disease is typically assessed qualitatively using indocyanine green angiography (ICGA) and enhanced-depth imaging optical coherence tomography (EDI-OCT). However, a quantitative approach could improve accuracy and objectivity. The aim of this study was to assess the clinical value of the automated measurement capabilities of swept-source optical coherence tomography (SS-OCT) to measure choroidal thickness (quantitative approach) in chronic VKH.

Methods: Prospective, longitudinal case-control study at a tertiary university hospital involving 23 chronic VKH patients (9 convalescent and 14 quiescent) and 17 age-matched controls. Choroidal thickness was automatically measured with SS-OCT.

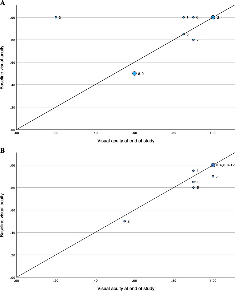
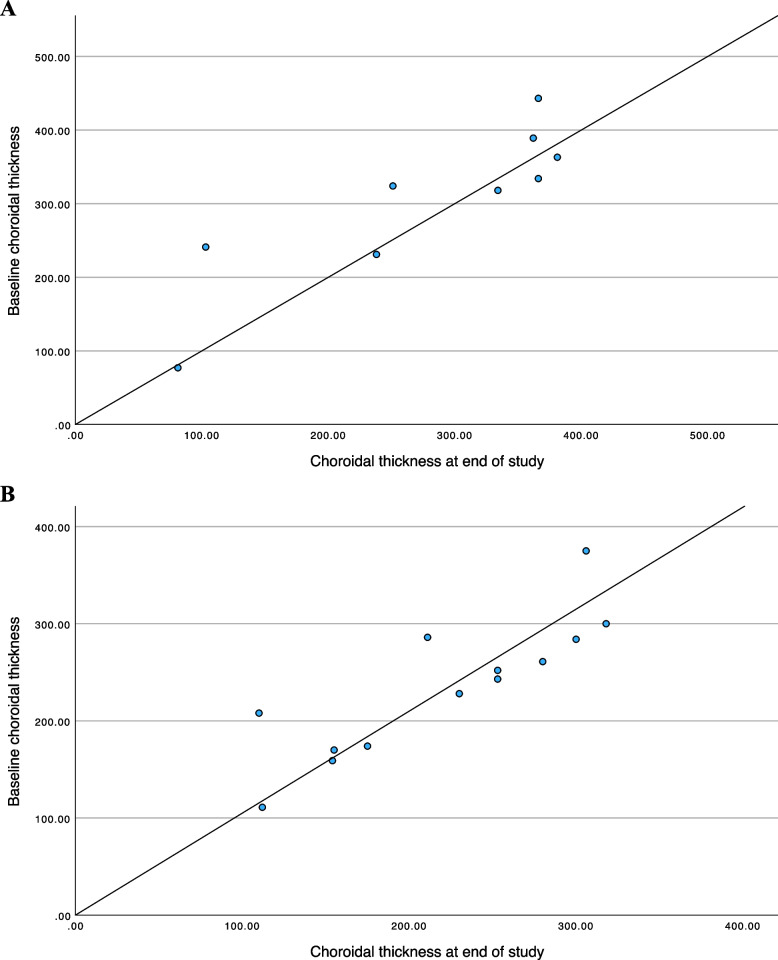
Results: Choroidal thinning and improved vision were associated with treatment while increasing thickness and worsening vision were associated with posterior relapse. Overall, 41.6% of asymptomatic (no change in visual acuity) recurrences in the convalescent group and 25% of recurrences in the quiescent group were detected by SS-OCT. All recurrences diagnosed by SS-OCT showed signs of inflammation on ICGA.

Conclusions: Automatic measurement of choroidal thickness with SS-OCT is a rapid, non-invasive method of detecting posterior segment recurrences and treatment response in VKH patients, and could reduce the need for angiography to monitor this disease.

求助全文
通过发布文献求助,成功后即可免费获取论文全文。 去求助
来源期刊
CiteScore
3.80
自引率
3.40%
发文量
39
审稿时长
13 weeks
×
引用
GB/T 7714-2015
复制
MLA
复制
APA
复制
导出至
BibTeX EndNote RefMan NoteFirst NoteExpress
×
提示
您的信息不完整,为了账户安全,请先补充。
现在去补充
×
提示
您因"违规操作"
具体请查看互助需知
我知道了
×
提示
确定
请完成安全验证×
copy
已复制链接
快去分享给好友吧!
我知道了
右上角分享
点击右上角分享
0
联系我们:info@booksci.cn Book学术提供免费学术资源搜索服务,方便国内外学者检索中英文文献。致力于提供最便捷和优质的服务体验。 Copyright © 2023 布克学术 All rights reserved.
京ICP备2023020795号-1
ghs 京公网安备 11010802042870号
Book学术文献互助
Book学术文献互助群
群 号:604180095
Book学术官方微信