缺血性预适应改善症状性膝骨关节炎患者髋关节外展肌的力量和力量。

IF 1.6 4区 医学 Q4 NEUROSCIENCES
Shraddha Sudhir, Kharma C Foucher, Pim Jetanalin, Lindsay Slater Hannigan
{"title":"缺血性预适应改善症状性膝骨关节炎患者髋关节外展肌的力量和力量。","authors":"Shraddha Sudhir, Kharma C Foucher, Pim Jetanalin, Lindsay Slater Hannigan","doi":"","DOIUrl":null,"url":null,"abstract":"<p><strong>Objective: </strong>To investigate the effect of ischemic preconditioning (IC) on bilateral hip abductor strength, fatigue, and power in patients with knee osteoarthritis (KOA).</p><p><strong>Methods: </strong>Participants (n=10) with KOA completed isokinetic and isometric hip abductor assessments on a Biodex dynamometer both before and after IC. IC was administered during a single session and consisted of 5 minutes of inflation (225mmHg) followed by 5 minutes of reperfusion for 50 minutes. Changes in strength and endurance measures before and after IC were compared using paired t-tests and magnitude of significant differences were reported using Cohen's d effect sizes.</p><p><strong>Results: </strong>Isokinetic hip abductor peak torque (d=.42, p=.027) and average power (d=.57, p=.029) in the involved limb, and isokinetic peak torque (d=.37, p=.044) in the uninvolved limb increased significantly after IC compared to baseline. There were no changes in isokinetic average power in the uninvolved limb, or isometric peak torque and fatigue index in both limbs after IC (p=.13-.77).</p><p><strong>Conclusions: </strong>A single session of IC improved hip abductor strength in both limbs and power in the involved limb in KOA patients. IC should continue to be investigated as a safe and clinically convenient intervention that can supplement traditional modalities to improve muscle function in KOA.</p>","PeriodicalId":16430,"journal":{"name":"Journal of musculoskeletal & neuronal interactions","volume":"24 4","pages":"353-360"},"PeriodicalIF":1.6000,"publicationDate":"2024-12-01","publicationTypes":"Journal Article","fieldsOfStudy":null,"isOpenAccess":false,"openAccessPdf":"https://www.ncbi.nlm.nih.gov/pmc/articles/PMC11609566/pdf/","citationCount":"0","resultStr":"{\"title\":\"Ischemic Preconditioning Improves Hip Abductor Strength and Power in Patients with Symptomatic Knee Osteoarthritis.\",\"authors\":\"Shraddha Sudhir, Kharma C Foucher, Pim Jetanalin, Lindsay Slater Hannigan\",\"doi\":\"\",\"DOIUrl\":null,\"url\":null,\"abstract\":\"<p><strong>Objective: </strong>To investigate the effect of ischemic preconditioning (IC) on bilateral hip abductor strength, fatigue, and power in patients with knee osteoarthritis (KOA).</p><p><strong>Methods: </strong>Participants (n=10) with KOA completed isokinetic and isometric hip abductor assessments on a Biodex dynamometer both before and after IC. IC was administered during a single session and consisted of 5 minutes of inflation (225mmHg) followed by 5 minutes of reperfusion for 50 minutes. Changes in strength and endurance measures before and after IC were compared using paired t-tests and magnitude of significant differences were reported using Cohen's d effect sizes.</p><p><strong>Results: </strong>Isokinetic hip abductor peak torque (d=.42, p=.027) and average power (d=.57, p=.029) in the involved limb, and isokinetic peak torque (d=.37, p=.044) in the uninvolved limb increased significantly after IC compared to baseline. There were no changes in isokinetic average power in the uninvolved limb, or isometric peak torque and fatigue index in both limbs after IC (p=.13-.77).</p><p><strong>Conclusions: </strong>A single session of IC improved hip abductor strength in both limbs and power in the involved limb in KOA patients. IC should continue to be investigated as a safe and clinically convenient intervention that can supplement traditional modalities to improve muscle function in KOA.</p>\",\"PeriodicalId\":16430,\"journal\":{\"name\":\"Journal of musculoskeletal & neuronal interactions\",\"volume\":\"24 4\",\"pages\":\"353-360\"},\"PeriodicalIF\":1.6000,\"publicationDate\":\"2024-12-01\",\"publicationTypes\":\"Journal Article\",\"fieldsOfStudy\":null,\"isOpenAccess\":false,\"openAccessPdf\":\"https://www.ncbi.nlm.nih.gov/pmc/articles/PMC11609566/pdf/\",\"citationCount\":\"0\",\"resultStr\":null,\"platform\":\"Semanticscholar\",\"paperid\":null,\"PeriodicalName\":\"Journal of musculoskeletal & neuronal interactions\",\"FirstCategoryId\":\"3\",\"ListUrlMain\":\"\",\"RegionNum\":4,\"RegionCategory\":\"医学\",\"ArticlePicture\":[],\"TitleCN\":null,\"AbstractTextCN\":null,\"PMCID\":null,\"EPubDate\":\"\",\"PubModel\":\"\",\"JCR\":\"Q4\",\"JCRName\":\"NEUROSCIENCES\",\"Score\":null,\"Total\":0}","platform":"Semanticscholar","paperid":null,"PeriodicalName":"Journal of musculoskeletal & neuronal interactions","FirstCategoryId":"3","ListUrlMain":"","RegionNum":4,"RegionCategory":"医学","ArticlePicture":[],"TitleCN":null,"AbstractTextCN":null,"PMCID":null,"EPubDate":"","PubModel":"","JCR":"Q4","JCRName":"NEUROSCIENCES","Score":null,"Total":0}
引用次数: 0

摘要

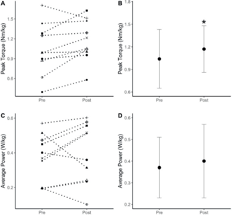
目的:探讨缺血预处理(IC)对膝骨性关节炎(KOA)患者双侧髋关节外展肌力量、疲劳和力量的影响。方法:患有KOA的参与者(n=10)在IC之前和之后在Biodex测功仪上完成了等速和等距髋关节外展肌评估。IC在单次治疗中进行,包括5分钟的充气(225mmHg),然后5分钟的再灌注50分钟。使用配对t检验比较IC前后力量和耐力测量的变化,并使用Cohen's d效应大小报告显著差异的大小。结果:髋外展肌等速峰值扭矩(d=。42, p= 0.027)和平均功率(d= 0.027)。57, p= 0.029),等速峰值扭矩(d= 0.029)。37, p= 0.044),与基线相比,IC后未受累肢体明显增加。IC后未受累肢体的等速平均功率没有变化,四肢的等速峰值扭矩和疲劳指数也没有变化(p= 0.13 - 0.77)。结论:单次IC可改善KOA患者双肢髋外展肌力量和受累肢力量。IC作为一种安全且临床上方便的干预措施,可以补充传统的方式来改善KOA的肌肉功能,应继续进行研究。
本文章由计算机程序翻译,如有差异,请以英文原文为准。

Ischemic Preconditioning Improves Hip Abductor Strength and Power in Patients with Symptomatic Knee Osteoarthritis.

Ischemic Preconditioning Improves Hip Abductor Strength and Power in Patients with Symptomatic Knee Osteoarthritis.

Ischemic Preconditioning Improves Hip Abductor Strength and Power in Patients with Symptomatic Knee Osteoarthritis.

Ischemic Preconditioning Improves Hip Abductor Strength and Power in Patients with Symptomatic Knee Osteoarthritis.

Objective: To investigate the effect of ischemic preconditioning (IC) on bilateral hip abductor strength, fatigue, and power in patients with knee osteoarthritis (KOA).

Methods: Participants (n=10) with KOA completed isokinetic and isometric hip abductor assessments on a Biodex dynamometer both before and after IC. IC was administered during a single session and consisted of 5 minutes of inflation (225mmHg) followed by 5 minutes of reperfusion for 50 minutes. Changes in strength and endurance measures before and after IC were compared using paired t-tests and magnitude of significant differences were reported using Cohen's d effect sizes.

Results: Isokinetic hip abductor peak torque (d=.42, p=.027) and average power (d=.57, p=.029) in the involved limb, and isokinetic peak torque (d=.37, p=.044) in the uninvolved limb increased significantly after IC compared to baseline. There were no changes in isokinetic average power in the uninvolved limb, or isometric peak torque and fatigue index in both limbs after IC (p=.13-.77).

Conclusions: A single session of IC improved hip abductor strength in both limbs and power in the involved limb in KOA patients. IC should continue to be investigated as a safe and clinically convenient intervention that can supplement traditional modalities to improve muscle function in KOA.

求助全文
通过发布文献求助,成功后即可免费获取论文全文。 去求助
来源期刊
CiteScore
3.40
自引率
0.00%
发文量
67
审稿时长
>12 weeks
期刊介绍: The Journal of Musculoskeletal and Neuronal Interactions (JMNI) is an academic journal dealing with the pathophysiology and treatment of musculoskeletal disorders. It is published quarterly (months of issue March, June, September, December). Its purpose is to publish original, peer-reviewed papers of research and clinical experience in all areas of the musculoskeletal system and its interactions with the nervous system, especially metabolic bone diseases, with particular emphasis on osteoporosis. Additionally, JMNI publishes the Abstracts from the biannual meetings of the International Society of Musculoskeletal and Neuronal Interactions, and hosts Abstracts of other meetings on topics related to the aims and scope of JMNI.
×
引用
GB/T 7714-2015
复制
MLA
复制
APA
复制
导出至
BibTeX EndNote RefMan NoteFirst NoteExpress
×
提示
您的信息不完整,为了账户安全,请先补充。
现在去补充
×
提示
您因"违规操作"
具体请查看互助需知
我知道了
×
提示
确定
请完成安全验证×
copy
已复制链接
快去分享给好友吧!
我知道了
右上角分享
点击右上角分享
0
联系我们:info@booksci.cn Book学术提供免费学术资源搜索服务,方便国内外学者检索中英文文献。致力于提供最便捷和优质的服务体验。 Copyright © 2023 布克学术 All rights reserved.
京ICP备2023020795号-1
ghs 京公网安备 11010802042870号
Book学术文献互助
Book学术文献互助群
群 号:604180095
Book学术官方微信