50-64岁绝经后妇女骨质疏松临床风险评估工具的比较评价

IF 1.6 4区 医学 Q4 NEUROSCIENCES
Konstantinos Chlapoutakis, Christos Baltas, Antonios Galanos, Maria Froudaki, Alexia Balanika
{"title":"50-64岁绝经后妇女骨质疏松临床风险评估工具的比较评价","authors":"Konstantinos Chlapoutakis, Christos Baltas, Antonios Galanos, Maria Froudaki, Alexia Balanika","doi":"","DOIUrl":null,"url":null,"abstract":"<p><strong>Objectives: </strong>To assess the performance of five osteoporosis clinical risk assessment tools (SCORE, ORAI, ABONE, OST and OSIRIS), in a subgroup of young postmenopausal women aged 50-64, who underwent DXA screening.</p><p><strong>Methods: </strong>The above-mentioned osteoporosis risk assessment tools were calculated for 258 young postmenopausal women (aged 50-64) who had a DXA scan, in Crete/Greece.</p><p><strong>Results: </strong>Patients with a T-score ≤ -2.5 or a T-score ≤ -2.0 had a statistically significant higher value of SCORE, ORAI and ABONE and a lower value of OST, OSIRIS, and OSIRIS Adjusted Score, compared to the patients with T-score > -2.5 and T-score > -2.0, respectively. ORAI (T-score≤ -2.0) and OST (T-score≤ -2.5) demonstrated the highest sum of sensitivity and specificity. CHAID analysis further confirmed the relative significance of the OST tool in the osteoporosis group (T-score≤ -2.5 vs. T-score > -2.5), for a cut-off of 2.8. In the other group (T-score ≤ -2.0 vs T-score > -2.0) the ORAI score showed a significantly important relationship for a cut-off of 8.</p><p><strong>Conclusion: </strong>OST, despite its performance limitations, correlates best with the DXA measurements of young (50-64), postmenopausal osteoporotic women, a fact which may suggest its' potential role as a screening tool in this specific age group.</p>","PeriodicalId":16430,"journal":{"name":"Journal of musculoskeletal & neuronal interactions","volume":"24 4","pages":"377-384"},"PeriodicalIF":1.6000,"publicationDate":"2024-12-01","publicationTypes":"Journal Article","fieldsOfStudy":null,"isOpenAccess":false,"openAccessPdf":"https://www.ncbi.nlm.nih.gov/pmc/articles/PMC11609562/pdf/","citationCount":"0","resultStr":"{\"title\":\"Comparative Evaluation of Osteoporosis Clinical Risk Assessment Tools in Postmenopausal Women Aged 50-64.\",\"authors\":\"Konstantinos Chlapoutakis, Christos Baltas, Antonios Galanos, Maria Froudaki, Alexia Balanika\",\"doi\":\"\",\"DOIUrl\":null,\"url\":null,\"abstract\":\"<p><strong>Objectives: </strong>To assess the performance of five osteoporosis clinical risk assessment tools (SCORE, ORAI, ABONE, OST and OSIRIS), in a subgroup of young postmenopausal women aged 50-64, who underwent DXA screening.</p><p><strong>Methods: </strong>The above-mentioned osteoporosis risk assessment tools were calculated for 258 young postmenopausal women (aged 50-64) who had a DXA scan, in Crete/Greece.</p><p><strong>Results: </strong>Patients with a T-score ≤ -2.5 or a T-score ≤ -2.0 had a statistically significant higher value of SCORE, ORAI and ABONE and a lower value of OST, OSIRIS, and OSIRIS Adjusted Score, compared to the patients with T-score > -2.5 and T-score > -2.0, respectively. ORAI (T-score≤ -2.0) and OST (T-score≤ -2.5) demonstrated the highest sum of sensitivity and specificity. CHAID analysis further confirmed the relative significance of the OST tool in the osteoporosis group (T-score≤ -2.5 vs. T-score > -2.5), for a cut-off of 2.8. In the other group (T-score ≤ -2.0 vs T-score > -2.0) the ORAI score showed a significantly important relationship for a cut-off of 8.</p><p><strong>Conclusion: </strong>OST, despite its performance limitations, correlates best with the DXA measurements of young (50-64), postmenopausal osteoporotic women, a fact which may suggest its' potential role as a screening tool in this specific age group.</p>\",\"PeriodicalId\":16430,\"journal\":{\"name\":\"Journal of musculoskeletal & neuronal interactions\",\"volume\":\"24 4\",\"pages\":\"377-384\"},\"PeriodicalIF\":1.6000,\"publicationDate\":\"2024-12-01\",\"publicationTypes\":\"Journal Article\",\"fieldsOfStudy\":null,\"isOpenAccess\":false,\"openAccessPdf\":\"https://www.ncbi.nlm.nih.gov/pmc/articles/PMC11609562/pdf/\",\"citationCount\":\"0\",\"resultStr\":null,\"platform\":\"Semanticscholar\",\"paperid\":null,\"PeriodicalName\":\"Journal of musculoskeletal & neuronal interactions\",\"FirstCategoryId\":\"3\",\"ListUrlMain\":\"\",\"RegionNum\":4,\"RegionCategory\":\"医学\",\"ArticlePicture\":[],\"TitleCN\":null,\"AbstractTextCN\":null,\"PMCID\":null,\"EPubDate\":\"\",\"PubModel\":\"\",\"JCR\":\"Q4\",\"JCRName\":\"NEUROSCIENCES\",\"Score\":null,\"Total\":0}","platform":"Semanticscholar","paperid":null,"PeriodicalName":"Journal of musculoskeletal & neuronal interactions","FirstCategoryId":"3","ListUrlMain":"","RegionNum":4,"RegionCategory":"医学","ArticlePicture":[],"TitleCN":null,"AbstractTextCN":null,"PMCID":null,"EPubDate":"","PubModel":"","JCR":"Q4","JCRName":"NEUROSCIENCES","Score":null,"Total":0}
引用次数: 0

摘要

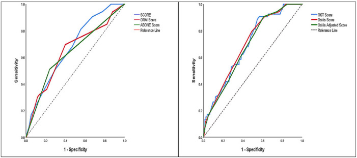
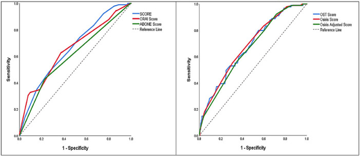
目的:评估五种骨质疏松症临床风险评估工具(SCORE、ORAI、ABONE、OST和OSIRIS)在50-64岁接受DXA筛查的年轻绝经后妇女亚组中的表现。方法:对希腊克里特岛(Crete/Greece)进行DXA扫描的258名年轻绝经后妇女(50-64岁)进行上述骨质疏松症风险评估工具的计算。结果:t评分≤-2.5或t评分≤-2.0的患者SCORE、ORAI和ABONE值分别高于t评分为> -2.5和> -2.0的患者,OST、OSIRIS和OSIRIS Adjusted SCORE值均低于t评分为> -2.5和> -2.0的患者,具有统计学意义。ORAI (T-score≤-2.0)和OST (T-score≤-2.5)的敏感性和特异性之和最高。CHAID分析进一步证实了OST工具在骨质疏松症组中的相对意义(t评分≤-2.5 vs t评分> -2.5),截止值为2.8。在另一组(t-评分≤-2.0 vs t-评分> -2.0)中,ORAI评分在截止值为8时显示出显著的重要关系。结论:尽管OST存在性能限制,但它与年轻(50-64岁)绝经后骨质疏松症妇女的DXA测量结果相关性最好,这一事实可能表明OST在这一特定年龄组中作为筛查工具的潜在作用。
本文章由计算机程序翻译,如有差异,请以英文原文为准。

Comparative Evaluation of Osteoporosis Clinical Risk Assessment Tools in Postmenopausal Women Aged 50-64.

Comparative Evaluation of Osteoporosis Clinical Risk Assessment Tools in Postmenopausal Women Aged 50-64.

Comparative Evaluation of Osteoporosis Clinical Risk Assessment Tools in Postmenopausal Women Aged 50-64.

Comparative Evaluation of Osteoporosis Clinical Risk Assessment Tools in Postmenopausal Women Aged 50-64.

Objectives: To assess the performance of five osteoporosis clinical risk assessment tools (SCORE, ORAI, ABONE, OST and OSIRIS), in a subgroup of young postmenopausal women aged 50-64, who underwent DXA screening.

Methods: The above-mentioned osteoporosis risk assessment tools were calculated for 258 young postmenopausal women (aged 50-64) who had a DXA scan, in Crete/Greece.

Results: Patients with a T-score ≤ -2.5 or a T-score ≤ -2.0 had a statistically significant higher value of SCORE, ORAI and ABONE and a lower value of OST, OSIRIS, and OSIRIS Adjusted Score, compared to the patients with T-score > -2.5 and T-score > -2.0, respectively. ORAI (T-score≤ -2.0) and OST (T-score≤ -2.5) demonstrated the highest sum of sensitivity and specificity. CHAID analysis further confirmed the relative significance of the OST tool in the osteoporosis group (T-score≤ -2.5 vs. T-score > -2.5), for a cut-off of 2.8. In the other group (T-score ≤ -2.0 vs T-score > -2.0) the ORAI score showed a significantly important relationship for a cut-off of 8.

Conclusion: OST, despite its performance limitations, correlates best with the DXA measurements of young (50-64), postmenopausal osteoporotic women, a fact which may suggest its' potential role as a screening tool in this specific age group.

求助全文
通过发布文献求助,成功后即可免费获取论文全文。 去求助
来源期刊
CiteScore
3.40
自引率
0.00%
发文量
67
审稿时长
>12 weeks
期刊介绍: The Journal of Musculoskeletal and Neuronal Interactions (JMNI) is an academic journal dealing with the pathophysiology and treatment of musculoskeletal disorders. It is published quarterly (months of issue March, June, September, December). Its purpose is to publish original, peer-reviewed papers of research and clinical experience in all areas of the musculoskeletal system and its interactions with the nervous system, especially metabolic bone diseases, with particular emphasis on osteoporosis. Additionally, JMNI publishes the Abstracts from the biannual meetings of the International Society of Musculoskeletal and Neuronal Interactions, and hosts Abstracts of other meetings on topics related to the aims and scope of JMNI.
×
引用
GB/T 7714-2015
复制
MLA
复制
APA
复制
导出至
BibTeX EndNote RefMan NoteFirst NoteExpress
×
提示
您的信息不完整,为了账户安全,请先补充。
现在去补充
×
提示
您因"违规操作"
具体请查看互助需知
我知道了
×
提示
确定
请完成安全验证×
copy
已复制链接
快去分享给好友吧!
我知道了
右上角分享
点击右上角分享
0
联系我们:info@booksci.cn Book学术提供免费学术资源搜索服务,方便国内外学者检索中英文文献。致力于提供最便捷和优质的服务体验。 Copyright © 2023 布克学术 All rights reserved.
京ICP备2023020795号-1
ghs 京公网安备 11010802042870号
Book学术文献互助
Book学术文献互助群
群 号:604180095
Book学术官方微信