小牛肺切片培养物对H5N1流感病毒的敏感性。

IF 7.5 2区 医学 Q1 IMMUNOLOGY
Emerging Microbes & Infections Pub Date : 2025-12-01 Epub Date: 2024-12-09 DOI:10.1080/22221751.2024.2432368
Kate Guilfoyle, Monica Mirolo, Geert van Amerongen, Guido van der Net, Mara Sophie Lombardo, Theresa Störk, Guus Rimmelzwaan, Martin Ludlow, Albert Osterhaus
{"title":"小牛肺切片培养物对H5N1流感病毒的敏感性。","authors":"Kate Guilfoyle, Monica Mirolo, Geert van Amerongen, Guido van der Net, Mara Sophie Lombardo, Theresa Störk, Guus Rimmelzwaan, Martin Ludlow, Albert Osterhaus","doi":"10.1080/22221751.2024.2432368","DOIUrl":null,"url":null,"abstract":"<p><p><b>ABSTRACT</b>The current outbreak of HPAI H5N1 virus infections in dairy cattle in the USA underscores the need for easily accessible methods to rapidly assess host susceptibility for infection with known and emerging influenza viruses. Here we show that <i>ex vivo</i> lung slice cultures from calves provide a useful method to rapidly screen host susceptibility to a range of influenza A viruses.</p>","PeriodicalId":11602,"journal":{"name":"Emerging Microbes & Infections","volume":" ","pages":"2432368"},"PeriodicalIF":7.5000,"publicationDate":"2025-12-01","publicationTypes":"Journal Article","fieldsOfStudy":null,"isOpenAccess":false,"openAccessPdf":"https://www.ncbi.nlm.nih.gov/pmc/articles/PMC11632935/pdf/","citationCount":"0","resultStr":"{\"title\":\"Susceptibility of calf lung slice cultures to H5N1 influenza virus.\",\"authors\":\"Kate Guilfoyle, Monica Mirolo, Geert van Amerongen, Guido van der Net, Mara Sophie Lombardo, Theresa Störk, Guus Rimmelzwaan, Martin Ludlow, Albert Osterhaus\",\"doi\":\"10.1080/22221751.2024.2432368\",\"DOIUrl\":null,\"url\":null,\"abstract\":\"<p><p><b>ABSTRACT</b>The current outbreak of HPAI H5N1 virus infections in dairy cattle in the USA underscores the need for easily accessible methods to rapidly assess host susceptibility for infection with known and emerging influenza viruses. Here we show that <i>ex vivo</i> lung slice cultures from calves provide a useful method to rapidly screen host susceptibility to a range of influenza A viruses.</p>\",\"PeriodicalId\":11602,\"journal\":{\"name\":\"Emerging Microbes & Infections\",\"volume\":\" \",\"pages\":\"2432368\"},\"PeriodicalIF\":7.5000,\"publicationDate\":\"2025-12-01\",\"publicationTypes\":\"Journal Article\",\"fieldsOfStudy\":null,\"isOpenAccess\":false,\"openAccessPdf\":\"https://www.ncbi.nlm.nih.gov/pmc/articles/PMC11632935/pdf/\",\"citationCount\":\"0\",\"resultStr\":null,\"platform\":\"Semanticscholar\",\"paperid\":null,\"PeriodicalName\":\"Emerging Microbes & Infections\",\"FirstCategoryId\":\"3\",\"ListUrlMain\":\"https://doi.org/10.1080/22221751.2024.2432368\",\"RegionNum\":2,\"RegionCategory\":\"医学\",\"ArticlePicture\":[],\"TitleCN\":null,\"AbstractTextCN\":null,\"PMCID\":null,\"EPubDate\":\"2024/12/9 0:00:00\",\"PubModel\":\"Epub\",\"JCR\":\"Q1\",\"JCRName\":\"IMMUNOLOGY\",\"Score\":null,\"Total\":0}","platform":"Semanticscholar","paperid":null,"PeriodicalName":"Emerging Microbes & Infections","FirstCategoryId":"3","ListUrlMain":"https://doi.org/10.1080/22221751.2024.2432368","RegionNum":2,"RegionCategory":"医学","ArticlePicture":[],"TitleCN":null,"AbstractTextCN":null,"PMCID":null,"EPubDate":"2024/12/9 0:00:00","PubModel":"Epub","JCR":"Q1","JCRName":"IMMUNOLOGY","Score":null,"Total":0}
引用次数: 0

摘要

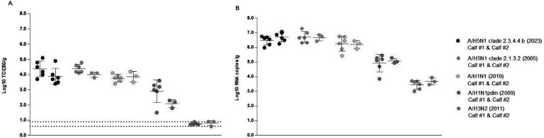
目前在美国爆发的高致病性H5N1型病毒感染突出表明,需要采用易于获得的方法来快速评估宿主对已知和新出现的流感病毒感染的易感性。本研究表明,小牛离体肺片培养为快速筛选宿主对一系列甲型流感病毒的易感性提供了一种有用的方法。
本文章由计算机程序翻译,如有差异,请以英文原文为准。

Susceptibility of calf lung slice cultures to H5N1 influenza virus.

Susceptibility of calf lung slice cultures to H5N1 influenza virus.

Susceptibility of calf lung slice cultures to H5N1 influenza virus.

ABSTRACTThe current outbreak of HPAI H5N1 virus infections in dairy cattle in the USA underscores the need for easily accessible methods to rapidly assess host susceptibility for infection with known and emerging influenza viruses. Here we show that ex vivo lung slice cultures from calves provide a useful method to rapidly screen host susceptibility to a range of influenza A viruses.

求助全文
通过发布文献求助,成功后即可免费获取论文全文。 去求助
来源期刊
Emerging Microbes & Infections
Emerging Microbes & Infections IMMUNOLOGY-MICROBIOLOGY
CiteScore
26.20
自引率
2.30%
发文量
276
审稿时长
20 weeks
期刊介绍: Emerging Microbes & Infections is a peer-reviewed, open-access journal dedicated to publishing research at the intersection of emerging immunology and microbiology viruses. The journal's mission is to share information on microbes and infections, particularly those gaining significance in both biological and clinical realms due to increased pathogenic frequency. Emerging Microbes & Infections is committed to bridging the scientific gap between developed and developing countries. This journal addresses topics of critical biological and clinical importance, including but not limited to: - Epidemic surveillance - Clinical manifestations - Diagnosis and management - Cellular and molecular pathogenesis - Innate and acquired immune responses between emerging microbes and their hosts - Drug discovery - Vaccine development research Emerging Microbes & Infections invites submissions of original research articles, review articles, letters, and commentaries, fostering a platform for the dissemination of impactful research in the field.
×
引用
GB/T 7714-2015
复制
MLA
复制
APA
复制
导出至
BibTeX EndNote RefMan NoteFirst NoteExpress
×
提示
您的信息不完整,为了账户安全,请先补充。
现在去补充
×
提示
您因"违规操作"
具体请查看互助需知
我知道了
×
提示
确定
请完成安全验证×
copy
已复制链接
快去分享给好友吧!
我知道了
右上角分享
点击右上角分享
0
联系我们:info@booksci.cn Book学术提供免费学术资源搜索服务,方便国内外学者检索中英文文献。致力于提供最便捷和优质的服务体验。 Copyright © 2023 布克学术 All rights reserved.
京ICP备2023020795号-1
ghs 京公网安备 11010802042870号
Book学术文献互助
Book学术文献互助群
群 号:604180095
Book学术官方微信