美国成人血清25-羟基维生素D浓度和抗核抗体的性别特异性关系,NHANES 2001-2004。

IF 2.7 4区 医学 Q3 IMMUNOLOGY
Zhen Gui, Shuying Li, Hanqing Yu, Lin Chang, Yong Chang
{"title":"美国成人血清25-羟基维生素D浓度和抗核抗体的性别特异性关系,NHANES 2001-2004。","authors":"Zhen Gui, Shuying Li, Hanqing Yu, Lin Chang, Yong Chang","doi":"10.1186/s12865-024-00672-6","DOIUrl":null,"url":null,"abstract":"<p><strong>Background: </strong>The relationship of serum 25-hydroxyvitamin D concentrations and ANA positivity according to sex stratification is unclear. The propose of this study was to reveal the sex-specific relationship of serum 25-hydroxyvitamin D concentrations and ANA positivity in American people.</p><p><strong>Methods: </strong>The study was conducted in 2757 subjects from the National Health and Nutrition Examination Survey (NHANES) 2001-2004. The logistic regression models were used to assess the correlation between the risk of ANA positivity and serum 25-hydroxyvitamin D concentrations. Generalized additive models and smooth fitting curves were used to evaluate the non-linear relationship of the risk of ANA positivity and serum 25-hydroxyvitamin D levels.</p><p><strong>Results: </strong>Following multivariable adjustment, we observed a negative correlation between serum 25-hydroxyvitamin D concentrations and the risk of ANA positivity in male participants, particularly in men non-white individuals and those exposed to second-hand smoke. However, there was no significant relationship observed in the female participants. Additionally, the relationship between serum 25-hydroxyvitamin D concentrations and the risk of ANA positivity followed an L-shaped pattern, with an inflection point at 18 ng/mL. When serum 25-hydroxyvitamin D levels fell below this inflection point, decrease of 1 unit in serum 25-hydroxyvitamin D concentrations was linked to an 8% increase in the adjusted OR of ANA positivity (OR 0.92; 95% CI 0.87, 0.97; p 0.0026).</p><p><strong>Conclusions: </strong>In American men, nonlinear relationships were observed between serum 25-hydroxyvitamin D concentrations and the risk of ANA positivity.</p>","PeriodicalId":9040,"journal":{"name":"BMC Immunology","volume":"25 1","pages":"81"},"PeriodicalIF":2.7000,"publicationDate":"2024-12-02","publicationTypes":"Journal Article","fieldsOfStudy":null,"isOpenAccess":false,"openAccessPdf":"https://www.ncbi.nlm.nih.gov/pmc/articles/PMC11610096/pdf/","citationCount":"0","resultStr":"{\"title\":\"Sex-specific relationship between serum 25-hydroxyvitamin D concentrations and antinuclear antibodies in U.S. adults, NHANES 2001-2004.\",\"authors\":\"Zhen Gui, Shuying Li, Hanqing Yu, Lin Chang, Yong Chang\",\"doi\":\"10.1186/s12865-024-00672-6\",\"DOIUrl\":null,\"url\":null,\"abstract\":\"<p><strong>Background: </strong>The relationship of serum 25-hydroxyvitamin D concentrations and ANA positivity according to sex stratification is unclear. The propose of this study was to reveal the sex-specific relationship of serum 25-hydroxyvitamin D concentrations and ANA positivity in American people.</p><p><strong>Methods: </strong>The study was conducted in 2757 subjects from the National Health and Nutrition Examination Survey (NHANES) 2001-2004. The logistic regression models were used to assess the correlation between the risk of ANA positivity and serum 25-hydroxyvitamin D concentrations. Generalized additive models and smooth fitting curves were used to evaluate the non-linear relationship of the risk of ANA positivity and serum 25-hydroxyvitamin D levels.</p><p><strong>Results: </strong>Following multivariable adjustment, we observed a negative correlation between serum 25-hydroxyvitamin D concentrations and the risk of ANA positivity in male participants, particularly in men non-white individuals and those exposed to second-hand smoke. However, there was no significant relationship observed in the female participants. Additionally, the relationship between serum 25-hydroxyvitamin D concentrations and the risk of ANA positivity followed an L-shaped pattern, with an inflection point at 18 ng/mL. When serum 25-hydroxyvitamin D levels fell below this inflection point, decrease of 1 unit in serum 25-hydroxyvitamin D concentrations was linked to an 8% increase in the adjusted OR of ANA positivity (OR 0.92; 95% CI 0.87, 0.97; p 0.0026).</p><p><strong>Conclusions: </strong>In American men, nonlinear relationships were observed between serum 25-hydroxyvitamin D concentrations and the risk of ANA positivity.</p>\",\"PeriodicalId\":9040,\"journal\":{\"name\":\"BMC Immunology\",\"volume\":\"25 1\",\"pages\":\"81\"},\"PeriodicalIF\":2.7000,\"publicationDate\":\"2024-12-02\",\"publicationTypes\":\"Journal Article\",\"fieldsOfStudy\":null,\"isOpenAccess\":false,\"openAccessPdf\":\"https://www.ncbi.nlm.nih.gov/pmc/articles/PMC11610096/pdf/\",\"citationCount\":\"0\",\"resultStr\":null,\"platform\":\"Semanticscholar\",\"paperid\":null,\"PeriodicalName\":\"BMC Immunology\",\"FirstCategoryId\":\"3\",\"ListUrlMain\":\"https://doi.org/10.1186/s12865-024-00672-6\",\"RegionNum\":4,\"RegionCategory\":\"医学\",\"ArticlePicture\":[],\"TitleCN\":null,\"AbstractTextCN\":null,\"PMCID\":null,\"EPubDate\":\"\",\"PubModel\":\"\",\"JCR\":\"Q3\",\"JCRName\":\"IMMUNOLOGY\",\"Score\":null,\"Total\":0}","platform":"Semanticscholar","paperid":null,"PeriodicalName":"BMC Immunology","FirstCategoryId":"3","ListUrlMain":"https://doi.org/10.1186/s12865-024-00672-6","RegionNum":4,"RegionCategory":"医学","ArticlePicture":[],"TitleCN":null,"AbstractTextCN":null,"PMCID":null,"EPubDate":"","PubModel":"","JCR":"Q3","JCRName":"IMMUNOLOGY","Score":null,"Total":0}
引用次数: 0

摘要

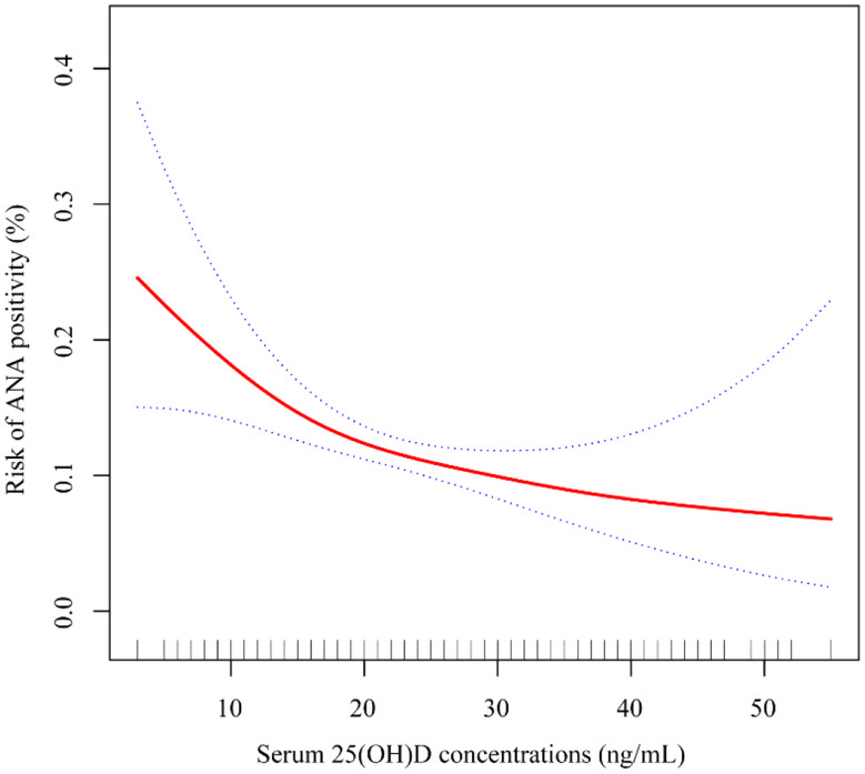
背景:血清25-羟基维生素D浓度与ANA阳性的性别分层关系尚不清楚。本研究旨在揭示美国人血清25-羟基维生素D浓度与ANA阳性的性别特异性关系。方法:选取2001-2004年全国健康与营养调查(NHANES)的2757名受试者进行研究。采用logistic回归模型评估ANA阳性风险与血清25-羟基维生素D浓度的相关性。采用广义加性模型和光滑拟合曲线评价ANA阳性风险与血清25-羟基维生素D水平的非线性关系。结果:经过多变量调整,我们观察到男性参与者血清25-羟基维生素D浓度与ANA阳性风险之间呈负相关,特别是在男性非白人个体和暴露于二手烟的人群中。然而,在女性参与者中没有观察到显著的关系。血清25-羟基维生素D浓度与ANA阳性风险呈l型关系,在18 ng/mL处出现拐点。当血清25-羟基维生素D水平低于该拐点时,血清25-羟基维生素D浓度每降低1个单位,调整后的ANA阳性OR增加8% (OR 0.92;95% ci 0.87, 0.97;p 0.0026)。结论:在美国男性中,血清25-羟基维生素D浓度与ANA阳性风险之间存在非线性关系。
本文章由计算机程序翻译,如有差异,请以英文原文为准。

Sex-specific relationship between serum 25-hydroxyvitamin D concentrations and antinuclear antibodies in U.S. adults, NHANES 2001-2004.

Sex-specific relationship between serum 25-hydroxyvitamin D concentrations and antinuclear antibodies in U.S. adults, NHANES 2001-2004.

Sex-specific relationship between serum 25-hydroxyvitamin D concentrations and antinuclear antibodies in U.S. adults, NHANES 2001-2004.

Sex-specific relationship between serum 25-hydroxyvitamin D concentrations and antinuclear antibodies in U.S. adults, NHANES 2001-2004.

Background: The relationship of serum 25-hydroxyvitamin D concentrations and ANA positivity according to sex stratification is unclear. The propose of this study was to reveal the sex-specific relationship of serum 25-hydroxyvitamin D concentrations and ANA positivity in American people.

Methods: The study was conducted in 2757 subjects from the National Health and Nutrition Examination Survey (NHANES) 2001-2004. The logistic regression models were used to assess the correlation between the risk of ANA positivity and serum 25-hydroxyvitamin D concentrations. Generalized additive models and smooth fitting curves were used to evaluate the non-linear relationship of the risk of ANA positivity and serum 25-hydroxyvitamin D levels.

Results: Following multivariable adjustment, we observed a negative correlation between serum 25-hydroxyvitamin D concentrations and the risk of ANA positivity in male participants, particularly in men non-white individuals and those exposed to second-hand smoke. However, there was no significant relationship observed in the female participants. Additionally, the relationship between serum 25-hydroxyvitamin D concentrations and the risk of ANA positivity followed an L-shaped pattern, with an inflection point at 18 ng/mL. When serum 25-hydroxyvitamin D levels fell below this inflection point, decrease of 1 unit in serum 25-hydroxyvitamin D concentrations was linked to an 8% increase in the adjusted OR of ANA positivity (OR 0.92; 95% CI 0.87, 0.97; p 0.0026).

Conclusions: In American men, nonlinear relationships were observed between serum 25-hydroxyvitamin D concentrations and the risk of ANA positivity.

求助全文
通过发布文献求助,成功后即可免费获取论文全文。 去求助
来源期刊
BMC Immunology
BMC Immunology 医学-免疫学
CiteScore
5.50
自引率
0.00%
发文量
54
审稿时长
1 months
期刊介绍: BMC Immunology is an open access journal publishing original peer-reviewed research articles in molecular, cellular, tissue-level, organismal, functional, and developmental aspects of the immune system as well as clinical studies and animal models of human diseases.
×
引用
GB/T 7714-2015
复制
MLA
复制
APA
复制
导出至
BibTeX EndNote RefMan NoteFirst NoteExpress
×
提示
您的信息不完整,为了账户安全,请先补充。
现在去补充
×
提示
您因"违规操作"
具体请查看互助需知
我知道了
×
提示
确定
请完成安全验证×
copy
已复制链接
快去分享给好友吧!
我知道了
右上角分享
点击右上角分享
0
联系我们:info@booksci.cn Book学术提供免费学术资源搜索服务,方便国内外学者检索中英文文献。致力于提供最便捷和优质的服务体验。 Copyright © 2023 布克学术 All rights reserved.
京ICP备2023020795号-1
ghs 京公网安备 11010802042870号
Book学术文献互助
Book学术文献互助群
群 号:604180095
Book学术官方微信