液相色谱-串联质谱法快速定量测定小鼠胆汁酸。

IF 3.8 2区 化学 Q1 BIOCHEMICAL RESEARCH METHODS
Sven Hermeling, Johannes Plagge, Sabrina Krautbauer, Josef Ecker, Ralph Burkhardt, Gerhard Liebisch
{"title":"液相色谱-串联质谱法快速定量测定小鼠胆汁酸。","authors":"Sven Hermeling,&nbsp;Johannes Plagge,&nbsp;Sabrina Krautbauer,&nbsp;Josef Ecker,&nbsp;Ralph Burkhardt,&nbsp;Gerhard Liebisch","doi":"10.1007/s00216-024-05668-0","DOIUrl":null,"url":null,"abstract":"<div><p>Interest in bile acids (BAs) is growing due to their emerging role as signaling molecules and their association with various diseases such as colon cancer and metabolic syndrome. Analyzing BAs requires chromatographic separation of isomers, often with long run times, which hinders BA analysis in large studies. Here, we present a high-throughput method based on liquid chromatography-tandem mass spectrometry to quantify BAs in mouse samples. After acidic protein precipitation in the presence of a comprehensive mixture of stable isotope-labeled internal standards (SIL-ISs), BAs are separated on a biphenyl column by gradient elution at basic pH. Quantification is performed using a six-point calibration curve. Except for the separation of β- and ω-muricholic acid (MCA) species, a rapid separation of 27 BA species was achieved in a run time of 6.5 min. Plasma quality controls (QCs) were used to evaluate intra- and inter-day precision. The CV was less than 10% for most BA species and exceeded 20% only for glycohyodeoxycholic (GHDCA) and taurohyodeoxycholic acid (THDCA) due to the lack of a corresponding SIL-IS. The limit of quantification (LoQ) was tested using diluted QCs and was found to be compromised for some BA species as a result of insufficient isotopic purity of the SIL-IS, leading to significant interference with the respective analyte. Finally, we tested the mouse sample material requirements for plasma, bile, and liver samples and determined BA concentrations in C57/BL6N wild-type mice. In conclusion, the LC–MS/MS method presented here permits a rapid and reproducible quantification of the major murine BAs.</p></div>","PeriodicalId":462,"journal":{"name":"Analytical and Bioanalytical Chemistry","volume":"417 4","pages":"687 - 696"},"PeriodicalIF":3.8000,"publicationDate":"2024-12-02","publicationTypes":"Journal Article","fieldsOfStudy":null,"isOpenAccess":false,"openAccessPdf":"https://www.ncbi.nlm.nih.gov/pmc/articles/PMC11772536/pdf/","citationCount":"0","resultStr":"{\"title\":\"Rapid quantification of murine bile acids using liquid chromatography-tandem mass spectrometry\",\"authors\":\"Sven Hermeling,&nbsp;Johannes Plagge,&nbsp;Sabrina Krautbauer,&nbsp;Josef Ecker,&nbsp;Ralph Burkhardt,&nbsp;Gerhard Liebisch\",\"doi\":\"10.1007/s00216-024-05668-0\",\"DOIUrl\":null,\"url\":null,\"abstract\":\"<div><p>Interest in bile acids (BAs) is growing due to their emerging role as signaling molecules and their association with various diseases such as colon cancer and metabolic syndrome. Analyzing BAs requires chromatographic separation of isomers, often with long run times, which hinders BA analysis in large studies. Here, we present a high-throughput method based on liquid chromatography-tandem mass spectrometry to quantify BAs in mouse samples. After acidic protein precipitation in the presence of a comprehensive mixture of stable isotope-labeled internal standards (SIL-ISs), BAs are separated on a biphenyl column by gradient elution at basic pH. Quantification is performed using a six-point calibration curve. Except for the separation of β- and ω-muricholic acid (MCA) species, a rapid separation of 27 BA species was achieved in a run time of 6.5 min. Plasma quality controls (QCs) were used to evaluate intra- and inter-day precision. The CV was less than 10% for most BA species and exceeded 20% only for glycohyodeoxycholic (GHDCA) and taurohyodeoxycholic acid (THDCA) due to the lack of a corresponding SIL-IS. The limit of quantification (LoQ) was tested using diluted QCs and was found to be compromised for some BA species as a result of insufficient isotopic purity of the SIL-IS, leading to significant interference with the respective analyte. Finally, we tested the mouse sample material requirements for plasma, bile, and liver samples and determined BA concentrations in C57/BL6N wild-type mice. In conclusion, the LC–MS/MS method presented here permits a rapid and reproducible quantification of the major murine BAs.</p></div>\",\"PeriodicalId\":462,\"journal\":{\"name\":\"Analytical and Bioanalytical Chemistry\",\"volume\":\"417 4\",\"pages\":\"687 - 696\"},\"PeriodicalIF\":3.8000,\"publicationDate\":\"2024-12-02\",\"publicationTypes\":\"Journal Article\",\"fieldsOfStudy\":null,\"isOpenAccess\":false,\"openAccessPdf\":\"https://www.ncbi.nlm.nih.gov/pmc/articles/PMC11772536/pdf/\",\"citationCount\":\"0\",\"resultStr\":null,\"platform\":\"Semanticscholar\",\"paperid\":null,\"PeriodicalName\":\"Analytical and Bioanalytical Chemistry\",\"FirstCategoryId\":\"92\",\"ListUrlMain\":\"https://link.springer.com/article/10.1007/s00216-024-05668-0\",\"RegionNum\":2,\"RegionCategory\":\"化学\",\"ArticlePicture\":[],\"TitleCN\":null,\"AbstractTextCN\":null,\"PMCID\":null,\"EPubDate\":\"\",\"PubModel\":\"\",\"JCR\":\"Q1\",\"JCRName\":\"BIOCHEMICAL RESEARCH METHODS\",\"Score\":null,\"Total\":0}","platform":"Semanticscholar","paperid":null,"PeriodicalName":"Analytical and Bioanalytical Chemistry","FirstCategoryId":"92","ListUrlMain":"https://link.springer.com/article/10.1007/s00216-024-05668-0","RegionNum":2,"RegionCategory":"化学","ArticlePicture":[],"TitleCN":null,"AbstractTextCN":null,"PMCID":null,"EPubDate":"","PubModel":"","JCR":"Q1","JCRName":"BIOCHEMICAL RESEARCH METHODS","Score":null,"Total":0}
引用次数: 0

摘要

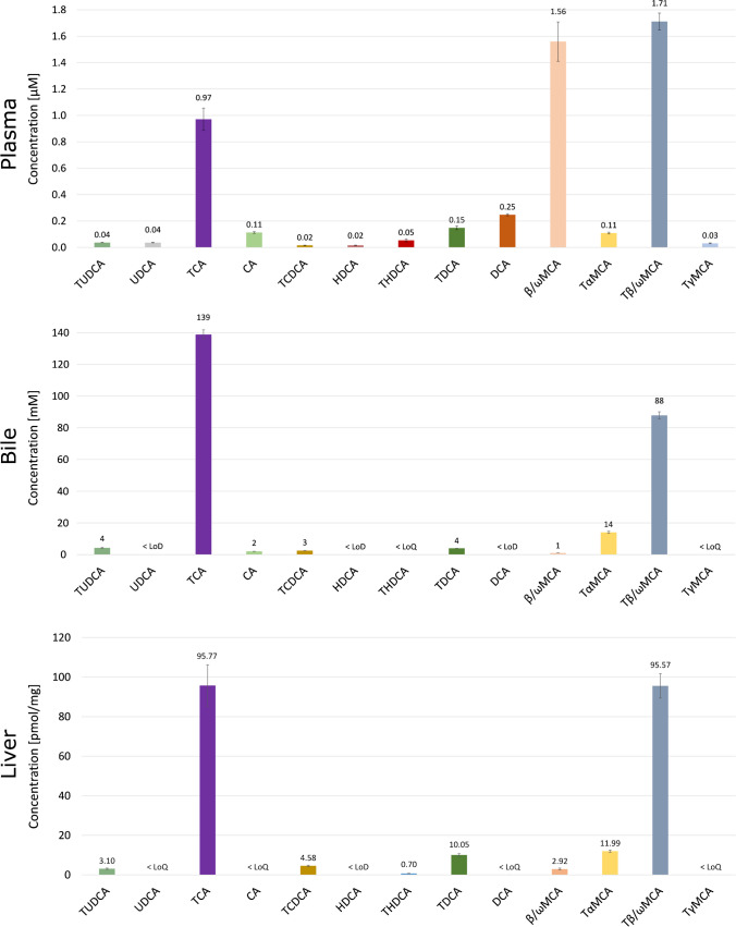
由于胆汁酸作为信号分子的作用及其与结肠癌和代谢综合征等多种疾病的关联,人们对胆汁酸(BAs)的兴趣日益浓厚。分析BA需要对同分异构体进行色谱分离,通常需要较长的运行时间,这阻碍了BA在大型研究中的分析。在这里,我们提出了一种基于液相色谱-串联质谱的高通量方法来定量小鼠样品中的BAs。在稳定同位素标记内标物(SIL-ISs)的综合混合物存在下进行酸性蛋白质沉淀后,BAs在基本ph下通过梯度洗脱在联苯柱上分离。使用六点校准曲线进行定量。除β-和ω- muricolic acid (MCA)外,27种BA在6.5 min内实现了快速分离。血浆质量控制(qc)用于评价日内和日内精密度。由于缺乏相应的SIL-IS,大多数BA物种的CV小于10%,只有糖羟脱氧胆酸(GHDCA)和牛磺酸羟脱氧胆酸(THDCA)的CV大于20%。定量限(LoQ)使用稀释的qc进行测试,发现由于SIL-IS的同位素纯度不足,某些BA物种受到损害,导致对各自分析物的显着干扰。最后,我们测试了C57/BL6N野生型小鼠血浆、胆汁和肝脏样品的样品材料要求,并测定了BA浓度。总之,本文提出的LC-MS/MS方法可以快速、可重复性地定量测定主要小鼠ba。
本文章由计算机程序翻译,如有差异,请以英文原文为准。

Rapid quantification of murine bile acids using liquid chromatography-tandem mass spectrometry

Rapid quantification of murine bile acids using liquid chromatography-tandem mass spectrometry

Rapid quantification of murine bile acids using liquid chromatography-tandem mass spectrometry

Rapid quantification of murine bile acids using liquid chromatography-tandem mass spectrometry

Interest in bile acids (BAs) is growing due to their emerging role as signaling molecules and their association with various diseases such as colon cancer and metabolic syndrome. Analyzing BAs requires chromatographic separation of isomers, often with long run times, which hinders BA analysis in large studies. Here, we present a high-throughput method based on liquid chromatography-tandem mass spectrometry to quantify BAs in mouse samples. After acidic protein precipitation in the presence of a comprehensive mixture of stable isotope-labeled internal standards (SIL-ISs), BAs are separated on a biphenyl column by gradient elution at basic pH. Quantification is performed using a six-point calibration curve. Except for the separation of β- and ω-muricholic acid (MCA) species, a rapid separation of 27 BA species was achieved in a run time of 6.5 min. Plasma quality controls (QCs) were used to evaluate intra- and inter-day precision. The CV was less than 10% for most BA species and exceeded 20% only for glycohyodeoxycholic (GHDCA) and taurohyodeoxycholic acid (THDCA) due to the lack of a corresponding SIL-IS. The limit of quantification (LoQ) was tested using diluted QCs and was found to be compromised for some BA species as a result of insufficient isotopic purity of the SIL-IS, leading to significant interference with the respective analyte. Finally, we tested the mouse sample material requirements for plasma, bile, and liver samples and determined BA concentrations in C57/BL6N wild-type mice. In conclusion, the LC–MS/MS method presented here permits a rapid and reproducible quantification of the major murine BAs.

求助全文
通过发布文献求助,成功后即可免费获取论文全文。 去求助
来源期刊
CiteScore
8.00
自引率
4.70%
发文量
638
审稿时长
2.1 months
期刊介绍: Analytical and Bioanalytical Chemistry’s mission is the rapid publication of excellent and high-impact research articles on fundamental and applied topics of analytical and bioanalytical measurement science. Its scope is broad, and ranges from novel measurement platforms and their characterization to multidisciplinary approaches that effectively address important scientific problems. The Editors encourage submissions presenting innovative analytical research in concept, instrumentation, methods, and/or applications, including: mass spectrometry, spectroscopy, and electroanalysis; advanced separations; analytical strategies in “-omics” and imaging, bioanalysis, and sampling; miniaturized devices, medical diagnostics, sensors; analytical characterization of nano- and biomaterials; chemometrics and advanced data analysis.
×
引用
GB/T 7714-2015
复制
MLA
复制
APA
复制
导出至
BibTeX EndNote RefMan NoteFirst NoteExpress
×
提示
您的信息不完整,为了账户安全,请先补充。
现在去补充
×
提示
您因"违规操作"
具体请查看互助需知
我知道了
×
提示
确定
请完成安全验证×
copy
已复制链接
快去分享给好友吧!
我知道了
右上角分享
点击右上角分享
0
联系我们:info@booksci.cn Book学术提供免费学术资源搜索服务,方便国内外学者检索中英文文献。致力于提供最便捷和优质的服务体验。 Copyright © 2023 布克学术 All rights reserved.
京ICP备2023020795号-1
ghs 京公网安备 11010802042870号
Book学术文献互助
Book学术文献互助群
群 号:604180095
Book学术官方微信