横断面研究:内源性降钙素原能否区分健康和患呼吸道疾病的断奶前犊牛?

IF 5.2 2区 农林科学 Q1 VETERINARY SCIENCES
Veterinary Quarterly Pub Date : 2024-12-01 Epub Date: 2024-11-28 DOI:10.1080/01652176.2024.2434525
Giulia Sala, Antonio Boccardo, Vincenzo Ferrulli, Valentina Meucci, Lucia De Marchi, Micaela Sgorbini, Matteo Castelli, Davide Pravettoni, Francesca Bonelli
{"title":"横断面研究:内源性降钙素原能否区分健康和患呼吸道疾病的断奶前犊牛?","authors":"Giulia Sala, Antonio Boccardo, Vincenzo Ferrulli, Valentina Meucci, Lucia De Marchi, Micaela Sgorbini, Matteo Castelli, Davide Pravettoni, Francesca Bonelli","doi":"10.1080/01652176.2024.2434525","DOIUrl":null,"url":null,"abstract":"<p><p>Bovine respiratory disease (BRD) represents a significant challenge in cattle management due to its multifactorial nature and lack of a gold standard diagnostic method. Procalcitonin (PCT) has emerged as a potential biomarker for bacterial infections in various species, including cattle. This study aimed to investigate plasma PCT concentration variations in pre-weaned dairy calves categorized as BRD-positive using clinical scores (WRSC; BRD-positive ≥5), thoracic ultrasonography with two cut-off (TUS; BRD-positive ≥1 or ≥3), or a combination of both methods (WRSC/TUS1cm or WRSC/TUS3cm). Additionally, the accuracy of PCT in diagnosing BRD was evaluated. A cross-sectional study was conducted on a convenience sample of 226 pre-weaned Italian-Friesian female calves. Clinical scoring, TUS, and plasma PCT analysis were performed. Calves were categorized based on TUS findings, clinical scores, or a combination of both methods. Statistical analyses were conducted to assess the differences in PCT concentrations among different groups and to determine the diagnostic accuracy of PCT. Results showed a significant increase in PCT levels in calves with lung consolidation detected by TUS using a 1 cm cutoff. However, the diagnostic accuracy of PCT in discriminating BRD-positive cases was poor (area under the curve 0.62). The optimal cutoff value for PCT was determined to be 86.63 pg/mL, with sensitivity of 49.7%, specificity of 71.8%, positive predictive value of 79.4% and negative predictive value of 39.5%. In conclusion, while PCT showed potential as a biomarker for BRD, its diagnostic accuracy was limited in this study. Future research should focus on integrating PCT measurements with other diagnostic methods and conducting longitudinal cohort studies to better understand its role in BRD diagnosis and management.</p>","PeriodicalId":51207,"journal":{"name":"Veterinary Quarterly","volume":"44 1","pages":"1-10"},"PeriodicalIF":5.2000,"publicationDate":"2024-12-01","publicationTypes":"Journal Article","fieldsOfStudy":null,"isOpenAccess":false,"openAccessPdf":"https://www.ncbi.nlm.nih.gov/pmc/articles/PMC11610344/pdf/","citationCount":"0","resultStr":"{\"title\":\"Cross-sectional study: can endogenous procalcitonin differentiate between healthy and bovine respiratory disease-affected preweaned dairy calves?\",\"authors\":\"Giulia Sala, Antonio Boccardo, Vincenzo Ferrulli, Valentina Meucci, Lucia De Marchi, Micaela Sgorbini, Matteo Castelli, Davide Pravettoni, Francesca Bonelli\",\"doi\":\"10.1080/01652176.2024.2434525\",\"DOIUrl\":null,\"url\":null,\"abstract\":\"<p><p>Bovine respiratory disease (BRD) represents a significant challenge in cattle management due to its multifactorial nature and lack of a gold standard diagnostic method. Procalcitonin (PCT) has emerged as a potential biomarker for bacterial infections in various species, including cattle. This study aimed to investigate plasma PCT concentration variations in pre-weaned dairy calves categorized as BRD-positive using clinical scores (WRSC; BRD-positive ≥5), thoracic ultrasonography with two cut-off (TUS; BRD-positive ≥1 or ≥3), or a combination of both methods (WRSC/TUS1cm or WRSC/TUS3cm). Additionally, the accuracy of PCT in diagnosing BRD was evaluated. A cross-sectional study was conducted on a convenience sample of 226 pre-weaned Italian-Friesian female calves. Clinical scoring, TUS, and plasma PCT analysis were performed. Calves were categorized based on TUS findings, clinical scores, or a combination of both methods. Statistical analyses were conducted to assess the differences in PCT concentrations among different groups and to determine the diagnostic accuracy of PCT. Results showed a significant increase in PCT levels in calves with lung consolidation detected by TUS using a 1 cm cutoff. However, the diagnostic accuracy of PCT in discriminating BRD-positive cases was poor (area under the curve 0.62). The optimal cutoff value for PCT was determined to be 86.63 pg/mL, with sensitivity of 49.7%, specificity of 71.8%, positive predictive value of 79.4% and negative predictive value of 39.5%. In conclusion, while PCT showed potential as a biomarker for BRD, its diagnostic accuracy was limited in this study. Future research should focus on integrating PCT measurements with other diagnostic methods and conducting longitudinal cohort studies to better understand its role in BRD diagnosis and management.</p>\",\"PeriodicalId\":51207,\"journal\":{\"name\":\"Veterinary Quarterly\",\"volume\":\"44 1\",\"pages\":\"1-10\"},\"PeriodicalIF\":5.2000,\"publicationDate\":\"2024-12-01\",\"publicationTypes\":\"Journal Article\",\"fieldsOfStudy\":null,\"isOpenAccess\":false,\"openAccessPdf\":\"https://www.ncbi.nlm.nih.gov/pmc/articles/PMC11610344/pdf/\",\"citationCount\":\"0\",\"resultStr\":null,\"platform\":\"Semanticscholar\",\"paperid\":null,\"PeriodicalName\":\"Veterinary Quarterly\",\"FirstCategoryId\":\"97\",\"ListUrlMain\":\"https://doi.org/10.1080/01652176.2024.2434525\",\"RegionNum\":2,\"RegionCategory\":\"农林科学\",\"ArticlePicture\":[],\"TitleCN\":null,\"AbstractTextCN\":null,\"PMCID\":null,\"EPubDate\":\"2024/11/28 0:00:00\",\"PubModel\":\"Epub\",\"JCR\":\"Q1\",\"JCRName\":\"VETERINARY SCIENCES\",\"Score\":null,\"Total\":0}","platform":"Semanticscholar","paperid":null,"PeriodicalName":"Veterinary Quarterly","FirstCategoryId":"97","ListUrlMain":"https://doi.org/10.1080/01652176.2024.2434525","RegionNum":2,"RegionCategory":"农林科学","ArticlePicture":[],"TitleCN":null,"AbstractTextCN":null,"PMCID":null,"EPubDate":"2024/11/28 0:00:00","PubModel":"Epub","JCR":"Q1","JCRName":"VETERINARY SCIENCES","Score":null,"Total":0}
引用次数: 0

摘要

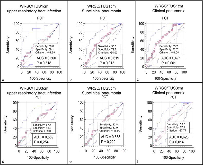
牛呼吸道疾病(BRD)由于其多因素性质和缺乏金标准诊断方法,对牛管理构成重大挑战。降钙素原(PCT)已成为包括牛在内的各种物种细菌感染的潜在生物标志物。本研究旨在通过临床评分研究brd阳性断奶前犊牛血浆PCT浓度变化(WRSC;brd阳性≥5),胸部超声双截止(TUS;brd阳性≥1或≥3),或两种方法的结合(WRSC/TUS1cm或WRSC/TUS3cm)。此外,还评估了PCT诊断BRD的准确性。对226头断奶前的意大利-弗里西亚雌性小牛进行了一项横断面研究。进行临床评分、TUS和血浆PCT分析。小牛根据TUS结果、临床评分或两种方法的结合进行分类。通过统计分析来评估不同组间PCT浓度的差异,并确定PCT诊断的准确性。结果显示,使用1 cm截止线的TUS检测肺实变的犊牛PCT水平显著升高。然而,PCT鉴别brd阳性病例的诊断准确性较差(曲线下面积0.62)。PCT最佳临界值为86.63 pg/mL,敏感性为49.7%,特异性为71.8%,阳性预测值为79.4%,阴性预测值为39.5%。总之,尽管PCT显示了作为BRD生物标志物的潜力,但其诊断准确性在本研究中受到限制。未来的研究应侧重于将PCT测量与其他诊断方法相结合,并开展纵向队列研究,以更好地了解其在BRD诊断和管理中的作用。
本文章由计算机程序翻译,如有差异,请以英文原文为准。

Cross-sectional study: can endogenous procalcitonin differentiate between healthy and bovine respiratory disease-affected preweaned dairy calves?

Cross-sectional study: can endogenous procalcitonin differentiate between healthy and bovine respiratory disease-affected preweaned dairy calves?

Cross-sectional study: can endogenous procalcitonin differentiate between healthy and bovine respiratory disease-affected preweaned dairy calves?

Cross-sectional study: can endogenous procalcitonin differentiate between healthy and bovine respiratory disease-affected preweaned dairy calves?

Bovine respiratory disease (BRD) represents a significant challenge in cattle management due to its multifactorial nature and lack of a gold standard diagnostic method. Procalcitonin (PCT) has emerged as a potential biomarker for bacterial infections in various species, including cattle. This study aimed to investigate plasma PCT concentration variations in pre-weaned dairy calves categorized as BRD-positive using clinical scores (WRSC; BRD-positive ≥5), thoracic ultrasonography with two cut-off (TUS; BRD-positive ≥1 or ≥3), or a combination of both methods (WRSC/TUS1cm or WRSC/TUS3cm). Additionally, the accuracy of PCT in diagnosing BRD was evaluated. A cross-sectional study was conducted on a convenience sample of 226 pre-weaned Italian-Friesian female calves. Clinical scoring, TUS, and plasma PCT analysis were performed. Calves were categorized based on TUS findings, clinical scores, or a combination of both methods. Statistical analyses were conducted to assess the differences in PCT concentrations among different groups and to determine the diagnostic accuracy of PCT. Results showed a significant increase in PCT levels in calves with lung consolidation detected by TUS using a 1 cm cutoff. However, the diagnostic accuracy of PCT in discriminating BRD-positive cases was poor (area under the curve 0.62). The optimal cutoff value for PCT was determined to be 86.63 pg/mL, with sensitivity of 49.7%, specificity of 71.8%, positive predictive value of 79.4% and negative predictive value of 39.5%. In conclusion, while PCT showed potential as a biomarker for BRD, its diagnostic accuracy was limited in this study. Future research should focus on integrating PCT measurements with other diagnostic methods and conducting longitudinal cohort studies to better understand its role in BRD diagnosis and management.

求助全文
通过发布文献求助,成功后即可免费获取论文全文。 去求助
来源期刊
Veterinary Quarterly
Veterinary Quarterly VETERINARY SCIENCES-
CiteScore
13.10
自引率
1.60%
发文量
18
审稿时长
>24 weeks
期刊介绍: Veterinary Quarterly is an international open access journal which publishes high quality review articles and original research in the field of veterinary science and animal diseases. The journal publishes research on a range of different animal species and topics including: - Economically important species such as domesticated and non-domesticated farm animals, including avian and poultry diseases; - Companion animals (dogs, cats, horses, pocket pets and exotics); - Wildlife species; - Infectious diseases; - Diagnosis; - Treatment including pharmacology and vaccination
×
引用
GB/T 7714-2015
复制
MLA
复制
APA
复制
导出至
BibTeX EndNote RefMan NoteFirst NoteExpress
×
提示
您的信息不完整,为了账户安全,请先补充。
现在去补充
×
提示
您因"违规操作"
具体请查看互助需知
我知道了
×
提示
确定
请完成安全验证×
copy
已复制链接
快去分享给好友吧!
我知道了
右上角分享
点击右上角分享
0
联系我们:info@booksci.cn Book学术提供免费学术资源搜索服务,方便国内外学者检索中英文文献。致力于提供最便捷和优质的服务体验。 Copyright © 2023 布克学术 All rights reserved.
京ICP备2023020795号-1
ghs 京公网安备 11010802042870号
Book学术文献互助
Book学术文献互助群
群 号:604180095
Book学术官方微信