无创体温计与肺动脉温度相比的准确性和精确度:一项横断面研究。

IF 1.6 4区 医学 Q2 MEDICINE, GENERAL & INTERNAL
Sao Paulo Medical Journal Pub Date : 2024-11-22 eCollection Date: 2024-01-01 DOI:10.1590/1516-3180.2023.0409.R1.05062024
Rafael Lima Rodrigues de Carvalho, Mariana Avendanha Victoriano, Camila Claúdia Campos, Paula Frizera Vassallo, Vandack Nobre, Flávia Falci Ercole
{"title":"无创体温计与肺动脉温度相比的准确性和精确度:一项横断面研究。","authors":"Rafael Lima Rodrigues de Carvalho, Mariana Avendanha Victoriano, Camila Claúdia Campos, Paula Frizera Vassallo, Vandack Nobre, Flávia Falci Ercole","doi":"10.1590/1516-3180.2023.0409.R1.05062024","DOIUrl":null,"url":null,"abstract":"<p><strong>Background: </strong>Temperature fluctuations are critical indicators of a patient's condition in intensive care units (ICUs). While invasive methods offer a more reliable measurement of core temperature, they carry greater risks of complications, limiting their use in most situations. This underscores the need for research evaluating the reliability of non-invasive temperature monitoring methods.</p><p><strong>Objectives: </strong>This study aimed to assess the accuracy and precision of four non-invasive temperature measurement techniques compared to pulmonary artery temperature, considered the gold standard.</p><p><strong>Design and setting: </strong>We conducted a cross-sectional clinical study with repeated measures in the ICUs at Hospital das Clínicas da Universidade Federal de Minas Gerais and Hospital Felício Rocho, Belo Horizonte, Brazil.</p><p><strong>Methods: </strong>All patients admitted with a pulmonary artery catheter were included. We simultaneously recorded temperatures from the pulmonary artery, axillary area, oral cavity, temporal artery, and tympanic membrane. Bland-Altman plots were employed to assess the agreement between the different temperature measurements.</p><p><strong>Results: </strong>A total of 48 patients participated, with a mean age of 54 years. Females comprised 66.67% of the sample. Compared to pulmonary artery temperature, the accuracy and precision (mean and standard deviation) of the non-invasive methods were: axillary (-0.42°C, 0.59°C), oral (-0.30°C, 0.37°C), tympanic membrane (-0.21°C, 0.44°C), and temporal artery (-0.25°C, 0.61°C). Notably, in patients with abnormal body temperature (non-normothermic), only oral and tympanic membrane methods maintained their accuracy and precision.</p><p><strong>Conclusions: </strong>The non-invasive thermometers evaluated in this study demonstrated acceptable accuracy and precision (within the clinically relevant threshold of 0.5°C) compared to pulmonary artery temperature. Among the non-invasive methods, the tympanic membrane measurement proved to be the most reliable, followed by the oral method.</p>","PeriodicalId":49574,"journal":{"name":"Sao Paulo Medical Journal","volume":"142 6","pages":"e2023409"},"PeriodicalIF":1.6000,"publicationDate":"2024-11-22","publicationTypes":"Journal Article","fieldsOfStudy":null,"isOpenAccess":false,"openAccessPdf":"https://www.ncbi.nlm.nih.gov/pmc/articles/PMC11639236/pdf/","citationCount":"0","resultStr":"{\"title\":\"Accuracy and precision of non-invasive thermometers compared with the pulmonary artery temperature: a cross-sectional study.\",\"authors\":\"Rafael Lima Rodrigues de Carvalho, Mariana Avendanha Victoriano, Camila Claúdia Campos, Paula Frizera Vassallo, Vandack Nobre, Flávia Falci Ercole\",\"doi\":\"10.1590/1516-3180.2023.0409.R1.05062024\",\"DOIUrl\":null,\"url\":null,\"abstract\":\"<p><strong>Background: </strong>Temperature fluctuations are critical indicators of a patient's condition in intensive care units (ICUs). While invasive methods offer a more reliable measurement of core temperature, they carry greater risks of complications, limiting their use in most situations. This underscores the need for research evaluating the reliability of non-invasive temperature monitoring methods.</p><p><strong>Objectives: </strong>This study aimed to assess the accuracy and precision of four non-invasive temperature measurement techniques compared to pulmonary artery temperature, considered the gold standard.</p><p><strong>Design and setting: </strong>We conducted a cross-sectional clinical study with repeated measures in the ICUs at Hospital das Clínicas da Universidade Federal de Minas Gerais and Hospital Felício Rocho, Belo Horizonte, Brazil.</p><p><strong>Methods: </strong>All patients admitted with a pulmonary artery catheter were included. We simultaneously recorded temperatures from the pulmonary artery, axillary area, oral cavity, temporal artery, and tympanic membrane. Bland-Altman plots were employed to assess the agreement between the different temperature measurements.</p><p><strong>Results: </strong>A total of 48 patients participated, with a mean age of 54 years. Females comprised 66.67% of the sample. Compared to pulmonary artery temperature, the accuracy and precision (mean and standard deviation) of the non-invasive methods were: axillary (-0.42°C, 0.59°C), oral (-0.30°C, 0.37°C), tympanic membrane (-0.21°C, 0.44°C), and temporal artery (-0.25°C, 0.61°C). Notably, in patients with abnormal body temperature (non-normothermic), only oral and tympanic membrane methods maintained their accuracy and precision.</p><p><strong>Conclusions: </strong>The non-invasive thermometers evaluated in this study demonstrated acceptable accuracy and precision (within the clinically relevant threshold of 0.5°C) compared to pulmonary artery temperature. Among the non-invasive methods, the tympanic membrane measurement proved to be the most reliable, followed by the oral method.</p>\",\"PeriodicalId\":49574,\"journal\":{\"name\":\"Sao Paulo Medical Journal\",\"volume\":\"142 6\",\"pages\":\"e2023409\"},\"PeriodicalIF\":1.6000,\"publicationDate\":\"2024-11-22\",\"publicationTypes\":\"Journal Article\",\"fieldsOfStudy\":null,\"isOpenAccess\":false,\"openAccessPdf\":\"https://www.ncbi.nlm.nih.gov/pmc/articles/PMC11639236/pdf/\",\"citationCount\":\"0\",\"resultStr\":null,\"platform\":\"Semanticscholar\",\"paperid\":null,\"PeriodicalName\":\"Sao Paulo Medical Journal\",\"FirstCategoryId\":\"3\",\"ListUrlMain\":\"https://doi.org/10.1590/1516-3180.2023.0409.R1.05062024\",\"RegionNum\":4,\"RegionCategory\":\"医学\",\"ArticlePicture\":[],\"TitleCN\":null,\"AbstractTextCN\":null,\"PMCID\":null,\"EPubDate\":\"2024/1/1 0:00:00\",\"PubModel\":\"eCollection\",\"JCR\":\"Q2\",\"JCRName\":\"MEDICINE, GENERAL & INTERNAL\",\"Score\":null,\"Total\":0}","platform":"Semanticscholar","paperid":null,"PeriodicalName":"Sao Paulo Medical Journal","FirstCategoryId":"3","ListUrlMain":"https://doi.org/10.1590/1516-3180.2023.0409.R1.05062024","RegionNum":4,"RegionCategory":"医学","ArticlePicture":[],"TitleCN":null,"AbstractTextCN":null,"PMCID":null,"EPubDate":"2024/1/1 0:00:00","PubModel":"eCollection","JCR":"Q2","JCRName":"MEDICINE, GENERAL & INTERNAL","Score":null,"Total":0}
引用次数: 0

摘要

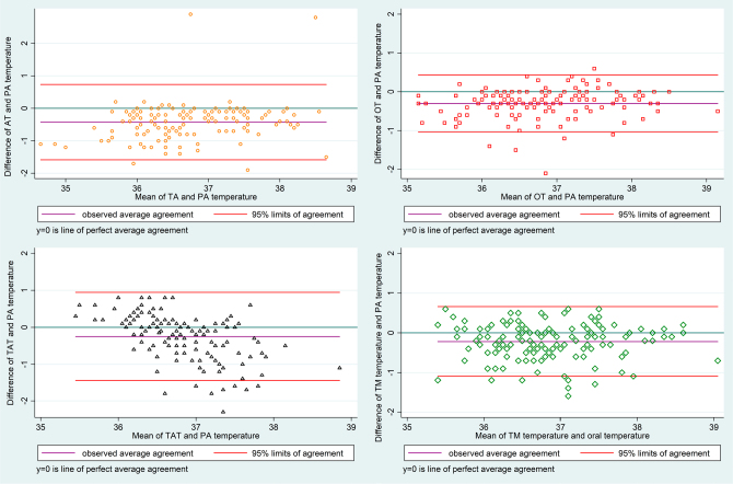
背景:体温波动是重症监护室(ICU)中反映病人状况的重要指标。虽然侵入性方法能更可靠地测量核心体温,但其并发症风险更大,因此限制了在大多数情况下的使用。这凸显了研究评估非侵入性体温监测方法可靠性的必要性:本研究旨在评估四种无创体温测量技术与肺动脉温度(被认为是金标准)相比的准确性和精确性:我们在巴西贝洛奥里藏特的米纳斯吉拉斯联邦大学医院和费利西奥-罗乔医院的重症监护室进行了一项重复测量的横断面临床研究:所有使用肺动脉导管的入院患者均被纳入其中。我们同时记录了肺动脉、腋窝、口腔、颞动脉和鼓膜的温度。采用布兰-阿尔特曼图评估不同体温测量值之间的一致性:共有 48 名患者参与,平均年龄为 54 岁。女性占样本的 66.67%。与肺动脉温度相比,无创方法的准确度和精确度(平均值和标准偏差)分别为:腋窝(-0.42°C,0.59°C)、口腔(-0.30°C,0.37°C)、鼓膜(-0.21°C,0.44°C)和颞动脉(-0.25°C,0.61°C)。值得注意的是,在体温异常(非正常体温)的患者中,只有口腔和鼓膜法保持了其准确性和精确性:结论:与肺动脉体温相比,本研究中评估的无创体温计显示了可接受的准确度和精确度(在 0.5°C 的临床相关阈值内)。在无创方法中,鼓膜测量法被证明是最可靠的,其次是口服法。
本文章由计算机程序翻译,如有差异,请以英文原文为准。

Accuracy and precision of non-invasive thermometers compared with the pulmonary artery temperature: a cross-sectional study.

Accuracy and precision of non-invasive thermometers compared with the pulmonary artery temperature: a cross-sectional study.

Accuracy and precision of non-invasive thermometers compared with the pulmonary artery temperature: a cross-sectional study.

Background: Temperature fluctuations are critical indicators of a patient's condition in intensive care units (ICUs). While invasive methods offer a more reliable measurement of core temperature, they carry greater risks of complications, limiting their use in most situations. This underscores the need for research evaluating the reliability of non-invasive temperature monitoring methods.

Objectives: This study aimed to assess the accuracy and precision of four non-invasive temperature measurement techniques compared to pulmonary artery temperature, considered the gold standard.

Design and setting: We conducted a cross-sectional clinical study with repeated measures in the ICUs at Hospital das Clínicas da Universidade Federal de Minas Gerais and Hospital Felício Rocho, Belo Horizonte, Brazil.

Methods: All patients admitted with a pulmonary artery catheter were included. We simultaneously recorded temperatures from the pulmonary artery, axillary area, oral cavity, temporal artery, and tympanic membrane. Bland-Altman plots were employed to assess the agreement between the different temperature measurements.

Results: A total of 48 patients participated, with a mean age of 54 years. Females comprised 66.67% of the sample. Compared to pulmonary artery temperature, the accuracy and precision (mean and standard deviation) of the non-invasive methods were: axillary (-0.42°C, 0.59°C), oral (-0.30°C, 0.37°C), tympanic membrane (-0.21°C, 0.44°C), and temporal artery (-0.25°C, 0.61°C). Notably, in patients with abnormal body temperature (non-normothermic), only oral and tympanic membrane methods maintained their accuracy and precision.

Conclusions: The non-invasive thermometers evaluated in this study demonstrated acceptable accuracy and precision (within the clinically relevant threshold of 0.5°C) compared to pulmonary artery temperature. Among the non-invasive methods, the tympanic membrane measurement proved to be the most reliable, followed by the oral method.

求助全文
通过发布文献求助,成功后即可免费获取论文全文。 去求助
来源期刊
Sao Paulo Medical Journal
Sao Paulo Medical Journal 医学-医学:内科
CiteScore
2.20
自引率
7.10%
发文量
210
审稿时长
6-12 weeks
期刊介绍: Published bimonthly by the Associação Paulista de Medicina, the journal accepts articles in the fields of clinical health science (internal medicine, gynecology and obstetrics, mental health, surgery, pediatrics and public health). Articles will be accepted in the form of original articles (clinical trials, cohort, case-control, prevalence, incidence, accuracy and cost-effectiveness studies and systematic reviews with or without meta-analysis), narrative reviews of the literature, case reports, short communications and letters to the editor. Papers with a commercial objective will not be accepted.
×
引用
GB/T 7714-2015
复制
MLA
复制
APA
复制
导出至
BibTeX EndNote RefMan NoteFirst NoteExpress
×
提示
您的信息不完整,为了账户安全,请先补充。
现在去补充
×
提示
您因"违规操作"
具体请查看互助需知
我知道了
×
提示
确定
请完成安全验证×
copy
已复制链接
快去分享给好友吧!
我知道了
右上角分享
点击右上角分享
0
联系我们:info@booksci.cn Book学术提供免费学术资源搜索服务,方便国内外学者检索中英文文献。致力于提供最便捷和优质的服务体验。 Copyright © 2023 布克学术 All rights reserved.
京ICP备2023020795号-1
ghs 京公网安备 11010802042870号
Book学术文献互助
Book学术文献互助群
群 号:604180095
Book学术官方微信