2015-2021 年德国原发性晚期或复发性子宫内膜癌的流行病学、实际治疗模式和患者预后。

IF 1.6 4区 医学 Q3 ONCOLOGY
Oncology Research and Treatment Pub Date : 2025-01-01 Epub Date: 2024-11-27 DOI:10.1159/000542773
Antje Mevius, Johanna Lutter, Florian M Karl, Liam Tuffy, Fabienne Schochter, Andreas Fuchs, Thomas Wilke
{"title":"2015-2021 年德国原发性晚期或复发性子宫内膜癌的流行病学、实际治疗模式和患者预后。","authors":"Antje Mevius, Johanna Lutter, Florian M Karl, Liam Tuffy, Fabienne Schochter, Andreas Fuchs, Thomas Wilke","doi":"10.1159/000542773","DOIUrl":null,"url":null,"abstract":"<p><strong>Introduction: </strong>The aim of this study was to describe the epidemiology of primary advanced or recurrent endometrial cancer and the outcomes from real-world treatment patterns of patients affected in Germany between 2015 and 2021.</p><p><strong>Methods: </strong>In this retrospective cohort study covering the period from 1 January 2015 to 31 December 2021, data from patients with primary advanced or recurrent endometrial cancer who initiated systemic treatment for their disease were extracted from an anonymized claims dataset from a regional health insurance fund in the German states of Saxony and Thuringia. Epidemiologic outcomes were cumulative incidence of endometrial cancer and point prevalence. Overall survival after the index date was assessed, with all-cause death used as an event. Endometrial cancer-related real-world treatment patterns were described for the post-index period.</p><p><strong>Results: </strong>The incidence of primary advanced or recurrent endometrial cancer in 2021 was 4.77 cases/100,000 persons, with no substantial change over time (4.63 in 2018; 4.93 in 2019; 4.45 in 2020). The point prevalence on 1 January 2022 was 0.023%, with a slight increase in prevalence observed from 1 January 2019 onwards. Among 466 patients with confirmed endometrial cancer, the mean (standard deviation) age was 68.0 (11.6) years; the tumor material from 86 patients (18.5%) underwent immunohistochemistry or polymerase chain reaction testing. Median overall survival was estimated to be 47.5 months (95% CI: 35.1-70.4) and the 5-year survival probability was 46.2%. The most frequent first-line systemic therapies were carboplatin (45.7%) and paclitaxel (43.1%). Second-line therapy was received by 153 patients (32.8%).</p><p><strong>Conclusion: </strong>The analysis of the German claims data produced contemporary epidemiologic estimates for advanced or recurrent endometrial cancer. Treatments were aligned with guideline recommendations during the study period, with tumor testing yet to enter mainstream practice.</p><p><strong>Introduction: </strong>The aim of this study was to describe the epidemiology of primary advanced or recurrent endometrial cancer and the outcomes from real-world treatment patterns of patients affected in Germany between 2015 and 2021.</p><p><strong>Methods: </strong>In this retrospective cohort study covering the period from 1 January 2015 to 31 December 2021, data from patients with primary advanced or recurrent endometrial cancer who initiated systemic treatment for their disease were extracted from an anonymized claims dataset from a regional health insurance fund in the German states of Saxony and Thuringia. Epidemiologic outcomes were cumulative incidence of endometrial cancer and point prevalence. Overall survival after the index date was assessed, with all-cause death used as an event. Endometrial cancer-related real-world treatment patterns were described for the post-index period.</p><p><strong>Results: </strong>The incidence of primary advanced or recurrent endometrial cancer in 2021 was 4.77 cases/100,000 persons, with no substantial change over time (4.63 in 2018; 4.93 in 2019; 4.45 in 2020). The point prevalence on 1 January 2022 was 0.023%, with a slight increase in prevalence observed from 1 January 2019 onwards. Among 466 patients with confirmed endometrial cancer, the mean (standard deviation) age was 68.0 (11.6) years; the tumor material from 86 patients (18.5%) underwent immunohistochemistry or polymerase chain reaction testing. Median overall survival was estimated to be 47.5 months (95% CI: 35.1-70.4) and the 5-year survival probability was 46.2%. The most frequent first-line systemic therapies were carboplatin (45.7%) and paclitaxel (43.1%). Second-line therapy was received by 153 patients (32.8%).</p><p><strong>Conclusion: </strong>The analysis of the German claims data produced contemporary epidemiologic estimates for advanced or recurrent endometrial cancer. Treatments were aligned with guideline recommendations during the study period, with tumor testing yet to enter mainstream practice.</p>","PeriodicalId":19543,"journal":{"name":"Oncology Research and Treatment","volume":" ","pages":"92-101"},"PeriodicalIF":1.6000,"publicationDate":"2025-01-01","publicationTypes":"Journal Article","fieldsOfStudy":null,"isOpenAccess":false,"openAccessPdf":"https://www.ncbi.nlm.nih.gov/pmc/articles/PMC11878414/pdf/","citationCount":"0","resultStr":"{\"title\":\"Epidemiology, Real-World Treatment Patterns, and Patient Outcomes of Primary Advanced or Recurrent Endometrial Cancer in Germany between 2015 and 2021.\",\"authors\":\"Antje Mevius, Johanna Lutter, Florian M Karl, Liam Tuffy, Fabienne Schochter, Andreas Fuchs, Thomas Wilke\",\"doi\":\"10.1159/000542773\",\"DOIUrl\":null,\"url\":null,\"abstract\":\"<p><strong>Introduction: </strong>The aim of this study was to describe the epidemiology of primary advanced or recurrent endometrial cancer and the outcomes from real-world treatment patterns of patients affected in Germany between 2015 and 2021.</p><p><strong>Methods: </strong>In this retrospective cohort study covering the period from 1 January 2015 to 31 December 2021, data from patients with primary advanced or recurrent endometrial cancer who initiated systemic treatment for their disease were extracted from an anonymized claims dataset from a regional health insurance fund in the German states of Saxony and Thuringia. Epidemiologic outcomes were cumulative incidence of endometrial cancer and point prevalence. Overall survival after the index date was assessed, with all-cause death used as an event. Endometrial cancer-related real-world treatment patterns were described for the post-index period.</p><p><strong>Results: </strong>The incidence of primary advanced or recurrent endometrial cancer in 2021 was 4.77 cases/100,000 persons, with no substantial change over time (4.63 in 2018; 4.93 in 2019; 4.45 in 2020). The point prevalence on 1 January 2022 was 0.023%, with a slight increase in prevalence observed from 1 January 2019 onwards. Among 466 patients with confirmed endometrial cancer, the mean (standard deviation) age was 68.0 (11.6) years; the tumor material from 86 patients (18.5%) underwent immunohistochemistry or polymerase chain reaction testing. Median overall survival was estimated to be 47.5 months (95% CI: 35.1-70.4) and the 5-year survival probability was 46.2%. The most frequent first-line systemic therapies were carboplatin (45.7%) and paclitaxel (43.1%). Second-line therapy was received by 153 patients (32.8%).</p><p><strong>Conclusion: </strong>The analysis of the German claims data produced contemporary epidemiologic estimates for advanced or recurrent endometrial cancer. Treatments were aligned with guideline recommendations during the study period, with tumor testing yet to enter mainstream practice.</p><p><strong>Introduction: </strong>The aim of this study was to describe the epidemiology of primary advanced or recurrent endometrial cancer and the outcomes from real-world treatment patterns of patients affected in Germany between 2015 and 2021.</p><p><strong>Methods: </strong>In this retrospective cohort study covering the period from 1 January 2015 to 31 December 2021, data from patients with primary advanced or recurrent endometrial cancer who initiated systemic treatment for their disease were extracted from an anonymized claims dataset from a regional health insurance fund in the German states of Saxony and Thuringia. Epidemiologic outcomes were cumulative incidence of endometrial cancer and point prevalence. Overall survival after the index date was assessed, with all-cause death used as an event. Endometrial cancer-related real-world treatment patterns were described for the post-index period.</p><p><strong>Results: </strong>The incidence of primary advanced or recurrent endometrial cancer in 2021 was 4.77 cases/100,000 persons, with no substantial change over time (4.63 in 2018; 4.93 in 2019; 4.45 in 2020). The point prevalence on 1 January 2022 was 0.023%, with a slight increase in prevalence observed from 1 January 2019 onwards. Among 466 patients with confirmed endometrial cancer, the mean (standard deviation) age was 68.0 (11.6) years; the tumor material from 86 patients (18.5%) underwent immunohistochemistry or polymerase chain reaction testing. Median overall survival was estimated to be 47.5 months (95% CI: 35.1-70.4) and the 5-year survival probability was 46.2%. The most frequent first-line systemic therapies were carboplatin (45.7%) and paclitaxel (43.1%). Second-line therapy was received by 153 patients (32.8%).</p><p><strong>Conclusion: </strong>The analysis of the German claims data produced contemporary epidemiologic estimates for advanced or recurrent endometrial cancer. Treatments were aligned with guideline recommendations during the study period, with tumor testing yet to enter mainstream practice.</p>\",\"PeriodicalId\":19543,\"journal\":{\"name\":\"Oncology Research and Treatment\",\"volume\":\" \",\"pages\":\"92-101\"},\"PeriodicalIF\":1.6000,\"publicationDate\":\"2025-01-01\",\"publicationTypes\":\"Journal Article\",\"fieldsOfStudy\":null,\"isOpenAccess\":false,\"openAccessPdf\":\"https://www.ncbi.nlm.nih.gov/pmc/articles/PMC11878414/pdf/\",\"citationCount\":\"0\",\"resultStr\":null,\"platform\":\"Semanticscholar\",\"paperid\":null,\"PeriodicalName\":\"Oncology Research and Treatment\",\"FirstCategoryId\":\"3\",\"ListUrlMain\":\"https://doi.org/10.1159/000542773\",\"RegionNum\":4,\"RegionCategory\":\"医学\",\"ArticlePicture\":[],\"TitleCN\":null,\"AbstractTextCN\":null,\"PMCID\":null,\"EPubDate\":\"2024/11/27 0:00:00\",\"PubModel\":\"Epub\",\"JCR\":\"Q3\",\"JCRName\":\"ONCOLOGY\",\"Score\":null,\"Total\":0}","platform":"Semanticscholar","paperid":null,"PeriodicalName":"Oncology Research and Treatment","FirstCategoryId":"3","ListUrlMain":"https://doi.org/10.1159/000542773","RegionNum":4,"RegionCategory":"医学","ArticlePicture":[],"TitleCN":null,"AbstractTextCN":null,"PMCID":null,"EPubDate":"2024/11/27 0:00:00","PubModel":"Epub","JCR":"Q3","JCRName":"ONCOLOGY","Score":null,"Total":0}
引用次数: 0

摘要

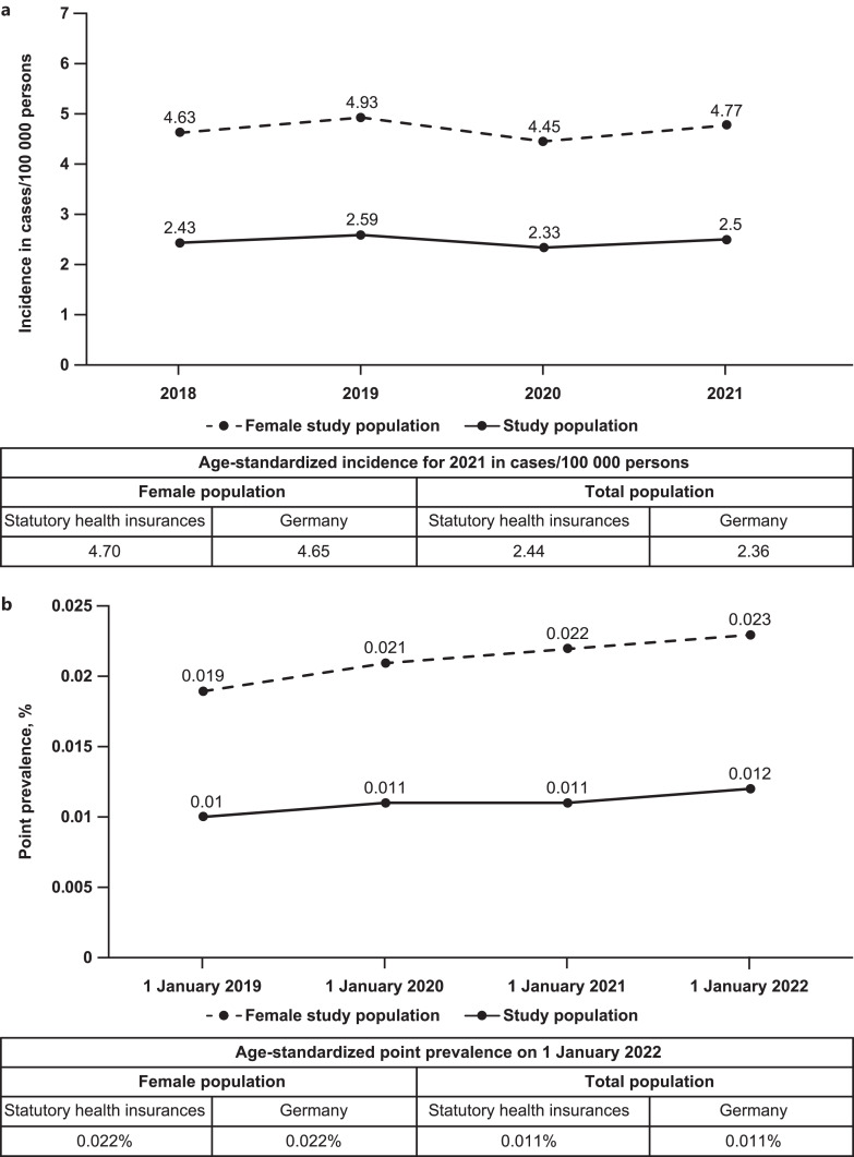
简介:本研究旨在描述原发性晚期或复发性子宫内膜癌的流行病学以及 2015 年至 2021 年期间德国受影响患者的实际治疗模式结果:本研究旨在描述原发性晚期或复发性子宫内膜癌的流行病学以及2015年至2021年期间德国受影响患者的实际治疗模式的结果:在这项涵盖 2015 年 1 月 1 日至 2021 年 12 月 31 日的回顾性队列研究中,我们从匿名索赔数据集中提取了开始接受系统治疗的原发性晚期或复发性子宫内膜癌患者的数据。流行病学结果为子宫内膜癌累积发病率和点流行率。评估指标日期后的总生存率,并将全因死亡作为一个事件。对指数日期后子宫内膜癌相关的真实世界治疗模式进行了描述:2021年,原发性晚期或复发性子宫内膜癌的发病率为4.77例/10万人,随着时间的推移没有实质性变化(2018年为4.63例;2019年为4.93例;2020年为4.45例)。2022 年 1 月 1 日的点流行率为 0.023%,从 2019 年 1 月 1 日起流行率略有上升。在466名确诊子宫内膜癌的患者中,平均年龄(标准差)为68.0(11.6)岁;86名患者(18.5%)的肿瘤材料接受了免疫组化或聚合酶链反应检测。中位总生存期估计为 47.5 个月(95% CI 35.1 至 70.4),5 年生存概率为 46.2%。最常见的一线系统疗法是卡铂(45.7%)和紫杉醇(43.1%)。153名患者(32.8%)接受了二线治疗:对德国索赔数据的分析得出了对晚期或复发性子宫内膜癌的当代流行病学估计。在研究期间,治疗方法与指南建议一致,肿瘤检测尚未进入主流实践。
本文章由计算机程序翻译,如有差异,请以英文原文为准。

Epidemiology, Real-World Treatment Patterns, and Patient Outcomes of Primary Advanced or Recurrent Endometrial Cancer in Germany between 2015 and 2021.

Epidemiology, Real-World Treatment Patterns, and Patient Outcomes of Primary Advanced or Recurrent Endometrial Cancer in Germany between 2015 and 2021.

Epidemiology, Real-World Treatment Patterns, and Patient Outcomes of Primary Advanced or Recurrent Endometrial Cancer in Germany between 2015 and 2021.

Introduction: The aim of this study was to describe the epidemiology of primary advanced or recurrent endometrial cancer and the outcomes from real-world treatment patterns of patients affected in Germany between 2015 and 2021.

Methods: In this retrospective cohort study covering the period from 1 January 2015 to 31 December 2021, data from patients with primary advanced or recurrent endometrial cancer who initiated systemic treatment for their disease were extracted from an anonymized claims dataset from a regional health insurance fund in the German states of Saxony and Thuringia. Epidemiologic outcomes were cumulative incidence of endometrial cancer and point prevalence. Overall survival after the index date was assessed, with all-cause death used as an event. Endometrial cancer-related real-world treatment patterns were described for the post-index period.

Results: The incidence of primary advanced or recurrent endometrial cancer in 2021 was 4.77 cases/100,000 persons, with no substantial change over time (4.63 in 2018; 4.93 in 2019; 4.45 in 2020). The point prevalence on 1 January 2022 was 0.023%, with a slight increase in prevalence observed from 1 January 2019 onwards. Among 466 patients with confirmed endometrial cancer, the mean (standard deviation) age was 68.0 (11.6) years; the tumor material from 86 patients (18.5%) underwent immunohistochemistry or polymerase chain reaction testing. Median overall survival was estimated to be 47.5 months (95% CI: 35.1-70.4) and the 5-year survival probability was 46.2%. The most frequent first-line systemic therapies were carboplatin (45.7%) and paclitaxel (43.1%). Second-line therapy was received by 153 patients (32.8%).

Conclusion: The analysis of the German claims data produced contemporary epidemiologic estimates for advanced or recurrent endometrial cancer. Treatments were aligned with guideline recommendations during the study period, with tumor testing yet to enter mainstream practice.

Introduction: The aim of this study was to describe the epidemiology of primary advanced or recurrent endometrial cancer and the outcomes from real-world treatment patterns of patients affected in Germany between 2015 and 2021.

Methods: In this retrospective cohort study covering the period from 1 January 2015 to 31 December 2021, data from patients with primary advanced or recurrent endometrial cancer who initiated systemic treatment for their disease were extracted from an anonymized claims dataset from a regional health insurance fund in the German states of Saxony and Thuringia. Epidemiologic outcomes were cumulative incidence of endometrial cancer and point prevalence. Overall survival after the index date was assessed, with all-cause death used as an event. Endometrial cancer-related real-world treatment patterns were described for the post-index period.

Results: The incidence of primary advanced or recurrent endometrial cancer in 2021 was 4.77 cases/100,000 persons, with no substantial change over time (4.63 in 2018; 4.93 in 2019; 4.45 in 2020). The point prevalence on 1 January 2022 was 0.023%, with a slight increase in prevalence observed from 1 January 2019 onwards. Among 466 patients with confirmed endometrial cancer, the mean (standard deviation) age was 68.0 (11.6) years; the tumor material from 86 patients (18.5%) underwent immunohistochemistry or polymerase chain reaction testing. Median overall survival was estimated to be 47.5 months (95% CI: 35.1-70.4) and the 5-year survival probability was 46.2%. The most frequent first-line systemic therapies were carboplatin (45.7%) and paclitaxel (43.1%). Second-line therapy was received by 153 patients (32.8%).

Conclusion: The analysis of the German claims data produced contemporary epidemiologic estimates for advanced or recurrent endometrial cancer. Treatments were aligned with guideline recommendations during the study period, with tumor testing yet to enter mainstream practice.

求助全文
通过发布文献求助,成功后即可免费获取论文全文。 去求助
来源期刊
CiteScore
3.20
自引率
0.00%
发文量
84
期刊介绍: With the first issue in 2014, the journal ''Onkologie'' has changed its title to ''Oncology Research and Treatment''. By this change, publisher and editor set the scene for the further development of this interdisciplinary journal. The English title makes it clear that the articles are published in English – a logical step for the journal, which is listed in all relevant international databases. For excellent manuscripts, a ''Fast Track'' was introduced: The review is carried out within 2 weeks; after acceptance the papers are published online within 14 days and immediately released as ''Editor’s Choice'' to provide the authors with maximum visibility of their results. Interesting case reports are published in the section ''Novel Insights from Clinical Practice'' which clearly highlights the scientific advances which the report presents.
×
引用
GB/T 7714-2015
复制
MLA
复制
APA
复制
导出至
BibTeX EndNote RefMan NoteFirst NoteExpress
×
提示
您的信息不完整,为了账户安全,请先补充。
现在去补充
×
提示
您因"违规操作"
具体请查看互助需知
我知道了
×
提示
确定
请完成安全验证×
copy
已复制链接
快去分享给好友吧!
我知道了
右上角分享
点击右上角分享
0
联系我们:info@booksci.cn Book学术提供免费学术资源搜索服务,方便国内外学者检索中英文文献。致力于提供最便捷和优质的服务体验。 Copyright © 2023 布克学术 All rights reserved.
京ICP备2023020795号-1
ghs 京公网安备 11010802042870号
Book学术文献互助
Book学术文献互助群
群 号:604180095
Book学术官方微信