(对)SARS-CoV-2 感染的恐惧和心理困扰:瑞士南部一项基于人群的队列研究。

IF 6.1 2区 医学 Q1 PSYCHIATRY
C Sculco, B Bano, G Piumatti, R Amati, C Barbui, L Crivelli, M Purgato, E Albanese
{"title":"(对)SARS-CoV-2 感染的恐惧和心理困扰:瑞士南部一项基于人群的队列研究。","authors":"C Sculco, B Bano, G Piumatti, R Amati, C Barbui, L Crivelli, M Purgato, E Albanese","doi":"10.1017/S2045796024000507","DOIUrl":null,"url":null,"abstract":"<p><strong>Aims: </strong>It is widely recognized that the COVID-19 pandemic exerted an impact on the mental health of the general population, but epidemiological evidence is surprisingly sparse. We aimed to explore the association between serologically confirmed SARS-CoV-2 infection and psychological distress - assessed by symptoms of depression, anxiety and stress - in the general adult population in southern Switzerland, a region widely affected by the pandemic. We also investigated whether this association varied over time and between pandemic waves from late 2020 through 2021.</p><p><strong>Methods: </strong>We used data from 305 adults who participated in the Corona Immunitas Ticino prospective seroprevalence study in southern Switzerland, including results of the serological tests of SARS-CoV-2 infection collected in June 2021, and explored associations with depression, anxiety and stress scores as measured by the 21-item Depression, Anxiety and Stress Scale at three time points between December 2020 and August 2021, accounting for socio-demographic and health characteristics.</p><p><strong>Results: </strong>In our sample, 84.3% of the participants (mean age of 51.30 years, SD = ±.93) were seronegative at baseline. Seropositive (i.e., infected) participants had a decreasing probability of being depressed and anxious through the COVID-19 pandemic waves compared to the seronegative (non-infected) participants. Further, seropositivity at baseline was also associated with more rapid decline in depressive, anxiety and stress symptomatology, and younger age and the presence of chronic diseases were independently associated with mild anxiety (OR = .97; <i>P</i> = 0.013; 95% CI = 0.95, 0.99; OR = 3.47; <i>P</i> = 0.001; 95% CI = 1.71, 7.04) and stress (OR = .96; <i>P</i> = 0.003; 95% CI = .94, .99; OR = 2.56; <i>P</i> = 0.010; 95% CI = 1.25, 5.22).</p><p><strong>Conclusions: </strong>Our results suggest that the MH consequences of the pandemic may not be due to the SARS-CoV-2 infection per se, but to fears associated with the risk of infection, and to the pandemic uncertainties.</p>","PeriodicalId":11787,"journal":{"name":"Epidemiology and Psychiatric Sciences","volume":"33 ","pages":"e73"},"PeriodicalIF":6.1000,"publicationDate":"2024-11-28","publicationTypes":"Journal Article","fieldsOfStudy":null,"isOpenAccess":false,"openAccessPdf":"https://www.ncbi.nlm.nih.gov/pmc/articles/PMC11669809/pdf/","citationCount":"0","resultStr":"{\"title\":\"(Fear of) SARS-CoV-2 infection and psychological distress: a population-based cohort study in southern Switzerland.\",\"authors\":\"C Sculco, B Bano, G Piumatti, R Amati, C Barbui, L Crivelli, M Purgato, E Albanese\",\"doi\":\"10.1017/S2045796024000507\",\"DOIUrl\":null,\"url\":null,\"abstract\":\"<p><strong>Aims: </strong>It is widely recognized that the COVID-19 pandemic exerted an impact on the mental health of the general population, but epidemiological evidence is surprisingly sparse. We aimed to explore the association between serologically confirmed SARS-CoV-2 infection and psychological distress - assessed by symptoms of depression, anxiety and stress - in the general adult population in southern Switzerland, a region widely affected by the pandemic. We also investigated whether this association varied over time and between pandemic waves from late 2020 through 2021.</p><p><strong>Methods: </strong>We used data from 305 adults who participated in the Corona Immunitas Ticino prospective seroprevalence study in southern Switzerland, including results of the serological tests of SARS-CoV-2 infection collected in June 2021, and explored associations with depression, anxiety and stress scores as measured by the 21-item Depression, Anxiety and Stress Scale at three time points between December 2020 and August 2021, accounting for socio-demographic and health characteristics.</p><p><strong>Results: </strong>In our sample, 84.3% of the participants (mean age of 51.30 years, SD = ±.93) were seronegative at baseline. Seropositive (i.e., infected) participants had a decreasing probability of being depressed and anxious through the COVID-19 pandemic waves compared to the seronegative (non-infected) participants. Further, seropositivity at baseline was also associated with more rapid decline in depressive, anxiety and stress symptomatology, and younger age and the presence of chronic diseases were independently associated with mild anxiety (OR = .97; <i>P</i> = 0.013; 95% CI = 0.95, 0.99; OR = 3.47; <i>P</i> = 0.001; 95% CI = 1.71, 7.04) and stress (OR = .96; <i>P</i> = 0.003; 95% CI = .94, .99; OR = 2.56; <i>P</i> = 0.010; 95% CI = 1.25, 5.22).</p><p><strong>Conclusions: </strong>Our results suggest that the MH consequences of the pandemic may not be due to the SARS-CoV-2 infection per se, but to fears associated with the risk of infection, and to the pandemic uncertainties.</p>\",\"PeriodicalId\":11787,\"journal\":{\"name\":\"Epidemiology and Psychiatric Sciences\",\"volume\":\"33 \",\"pages\":\"e73\"},\"PeriodicalIF\":6.1000,\"publicationDate\":\"2024-11-28\",\"publicationTypes\":\"Journal Article\",\"fieldsOfStudy\":null,\"isOpenAccess\":false,\"openAccessPdf\":\"https://www.ncbi.nlm.nih.gov/pmc/articles/PMC11669809/pdf/\",\"citationCount\":\"0\",\"resultStr\":null,\"platform\":\"Semanticscholar\",\"paperid\":null,\"PeriodicalName\":\"Epidemiology and Psychiatric Sciences\",\"FirstCategoryId\":\"3\",\"ListUrlMain\":\"https://doi.org/10.1017/S2045796024000507\",\"RegionNum\":2,\"RegionCategory\":\"医学\",\"ArticlePicture\":[],\"TitleCN\":null,\"AbstractTextCN\":null,\"PMCID\":null,\"EPubDate\":\"\",\"PubModel\":\"\",\"JCR\":\"Q1\",\"JCRName\":\"PSYCHIATRY\",\"Score\":null,\"Total\":0}","platform":"Semanticscholar","paperid":null,"PeriodicalName":"Epidemiology and Psychiatric Sciences","FirstCategoryId":"3","ListUrlMain":"https://doi.org/10.1017/S2045796024000507","RegionNum":2,"RegionCategory":"医学","ArticlePicture":[],"TitleCN":null,"AbstractTextCN":null,"PMCID":null,"EPubDate":"","PubModel":"","JCR":"Q1","JCRName":"PSYCHIATRY","Score":null,"Total":0}
引用次数: 0

摘要

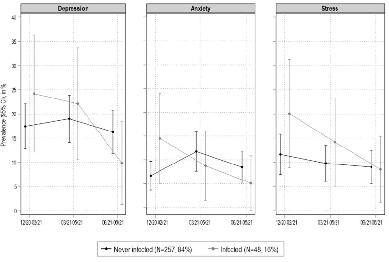
目的:人们普遍认为 COVID-19 大流行对普通人群的心理健康产生了影响,但流行病学证据却少得令人吃惊。我们的目的是探讨瑞士南部(受大流行病广泛影响的地区)经血清学确诊的 SARS-CoV-2 感染与心理困扰(通过抑郁、焦虑和压力症状评估)之间的关联。我们还研究了这种关联是否会随着时间的推移而变化,以及从 2020 年末到 2021 年的不同疫情波次之间的关联:我们使用了参加瑞士南部 Corona Immunitas Ticino 前瞻性血清流行病学研究的 305 名成年人的数据,包括 2021 年 6 月收集的 SARS-CoV-2 感染血清学检测结果,并在 2020 年 12 月至 2021 年 8 月期间的三个时间点,在考虑社会人口学和健康特征的情况下,探讨了与 21 项抑郁、焦虑和压力量表测量的抑郁、焦虑和压力得分之间的关联:在我们的样本中,84.3% 的参与者(平均年龄 51.30 岁,SD = ±.93)在基线时血清阴性。与血清阴性(未感染)的参与者相比,血清阳性(即已感染)的参与者在 COVID-19 大流行期间抑郁和焦虑的概率有所下降。此外,基线血清阳性也与抑郁、焦虑和压力症状的下降速度更快有关,而年龄较小和患有慢性疾病则与轻度焦虑有独立的关联(OR = .97; P = 0.013; 95% CI = 0.95, 0.99; OR = 3.47; P = 0.001; 95% CI = 1.71, 7.04)和压力(OR = .96; P = 0.003; 95% CI = .94, .99; OR = 2.56; P = 0.010; 95% CI = 1.25, 5.22)独立相关:我们的研究结果表明,大流行造成的心理健康后果可能不是因为 SARS-CoV-2 感染本身,而是因为与感染风险相关的恐惧以及大流行的不确定性。
本文章由计算机程序翻译,如有差异,请以英文原文为准。

(Fear of) SARS-CoV-2 infection and psychological distress: a population-based cohort study in southern Switzerland.

(Fear of) SARS-CoV-2 infection and psychological distress: a population-based cohort study in southern Switzerland.

(Fear of) SARS-CoV-2 infection and psychological distress: a population-based cohort study in southern Switzerland.

(Fear of) SARS-CoV-2 infection and psychological distress: a population-based cohort study in southern Switzerland.

Aims: It is widely recognized that the COVID-19 pandemic exerted an impact on the mental health of the general population, but epidemiological evidence is surprisingly sparse. We aimed to explore the association between serologically confirmed SARS-CoV-2 infection and psychological distress - assessed by symptoms of depression, anxiety and stress - in the general adult population in southern Switzerland, a region widely affected by the pandemic. We also investigated whether this association varied over time and between pandemic waves from late 2020 through 2021.

Methods: We used data from 305 adults who participated in the Corona Immunitas Ticino prospective seroprevalence study in southern Switzerland, including results of the serological tests of SARS-CoV-2 infection collected in June 2021, and explored associations with depression, anxiety and stress scores as measured by the 21-item Depression, Anxiety and Stress Scale at three time points between December 2020 and August 2021, accounting for socio-demographic and health characteristics.

Results: In our sample, 84.3% of the participants (mean age of 51.30 years, SD = ±.93) were seronegative at baseline. Seropositive (i.e., infected) participants had a decreasing probability of being depressed and anxious through the COVID-19 pandemic waves compared to the seronegative (non-infected) participants. Further, seropositivity at baseline was also associated with more rapid decline in depressive, anxiety and stress symptomatology, and younger age and the presence of chronic diseases were independently associated with mild anxiety (OR = .97; P = 0.013; 95% CI = 0.95, 0.99; OR = 3.47; P = 0.001; 95% CI = 1.71, 7.04) and stress (OR = .96; P = 0.003; 95% CI = .94, .99; OR = 2.56; P = 0.010; 95% CI = 1.25, 5.22).

Conclusions: Our results suggest that the MH consequences of the pandemic may not be due to the SARS-CoV-2 infection per se, but to fears associated with the risk of infection, and to the pandemic uncertainties.

求助全文
通过发布文献求助,成功后即可免费获取论文全文。 去求助
来源期刊
CiteScore
7.80
自引率
1.20%
发文量
121
审稿时长
>12 weeks
期刊介绍: Epidemiology and Psychiatric Sciences is a prestigious international, peer-reviewed journal that has been publishing in Open Access format since 2020. Formerly known as Epidemiologia e Psichiatria Sociale and established in 1992 by Michele Tansella, the journal prioritizes highly relevant and innovative research articles and systematic reviews in the areas of public mental health and policy, mental health services and system research, as well as epidemiological and social psychiatry. Join us in advancing knowledge and understanding in these critical fields.
×
引用
GB/T 7714-2015
复制
MLA
复制
APA
复制
导出至
BibTeX EndNote RefMan NoteFirst NoteExpress
×
提示
您的信息不完整,为了账户安全,请先补充。
现在去补充
×
提示
您因"违规操作"
具体请查看互助需知
我知道了
×
提示
确定
请完成安全验证×
copy
已复制链接
快去分享给好友吧!
我知道了
右上角分享
点击右上角分享
0
联系我们:info@booksci.cn Book学术提供免费学术资源搜索服务,方便国内外学者检索中英文文献。致力于提供最便捷和优质的服务体验。 Copyright © 2023 布克学术 All rights reserved.
京ICP备2023020795号-1
ghs 京公网安备 11010802042870号
Book学术文献互助
Book学术文献互助群
群 号:604180095
Book学术官方微信