结合人工智能识别技术和生物标志物的肺结节评估预测模型

IF 1.4 4区 医学 Q3 CARDIAC & CARDIOVASCULAR SYSTEMS
Thoracic and Cardiovascular Surgeon Pub Date : 2025-03-01 Epub Date: 2024-11-26 DOI:10.1055/a-2446-9832
Tao Zhou, Ping Zhu, Kaijian Xia, Benying Zhao
{"title":"结合人工智能识别技术和生物标志物的肺结节评估预测模型","authors":"Tao Zhou, Ping Zhu, Kaijian Xia, Benying Zhao","doi":"10.1055/a-2446-9832","DOIUrl":null,"url":null,"abstract":"<p><strong>Background: </strong>Lung cancer is the most prevalent and lethal cancer globally, necessitating accurate differentiation between benign and malignant pulmonary nodules to guide treatment decisions. This study aims to develop a predictive model that integrates artificial intelligence (AI) analysis with biomarkers to enhance early detection and stratification of lung nodule malignancy.</p><p><strong>Methods: </strong>The study retrospectively analyzed the patients with pathologically confirmed pulmonary nodules. AI technology was employed to assess CT features, such as nodule size, solidity, and malignancy probability. Additionally, lung cancer blood biomarkers were measured. Statistical analysis involved univariate analysis to identify significant differences among factors, followed by multivariate logistic regression to establish independent risk factors. The model performance was validated using receiver operating characteristic curves and decision curve analysis (DCA) for internal validation. Furthermore, an external dataset comprising 51 cases of lung nodules was utilized for independent validation to assess robustness and generalizability.</p><p><strong>Results: </strong>A total of 176 patients were included, divided into benign/preinvasive (<i>n</i> = 76) and invasive cancer groups (<i>n</i> = 100). Multivariate analysis identified eight independent predictors of malignancy: lobulation sign, bronchial inflation sign, AI-predicted malignancy probability, nodule nature, diameter, solidity proportion, vascular endothelial growth factor, and lung cancer autoantibodies. The combined predictive model demonstrated high accuracy (area under the curve [AUC] = 0.946). DCA showed that the combined model significantly outperformed the traditional model, and also proved superior to models using AI-predicted malignancy probability or the seven lung cancer autoantibodies plus traditional model. External validation confirmed its robustness (AUC = 0.856), achieving a sensitivity of 0.80 and specificity of 0.86, effectively distinguishing between invasive and noninvasive nodules.</p><p><strong>Conclusion: </strong>This combined approach of AI-based CT features analysis with lung cancer biomarkers provides a more accurate and clinically useful tool for guiding treatment decisions in pulmonary nodule patients. Further studies with larger cohorts are warranted to validate these findings across diverse patient populations.</p>","PeriodicalId":23057,"journal":{"name":"Thoracic and Cardiovascular Surgeon","volume":" ","pages":"174-181"},"PeriodicalIF":1.4000,"publicationDate":"2025-03-01","publicationTypes":"Journal Article","fieldsOfStudy":null,"isOpenAccess":false,"openAccessPdf":"https://www.ncbi.nlm.nih.gov/pmc/articles/PMC11884917/pdf/","citationCount":"0","resultStr":"{\"title\":\"A Predictive Model Integrating AI Recognition Technology and Biomarkers for Lung Nodule Assessment.\",\"authors\":\"Tao Zhou, Ping Zhu, Kaijian Xia, Benying Zhao\",\"doi\":\"10.1055/a-2446-9832\",\"DOIUrl\":null,\"url\":null,\"abstract\":\"<p><strong>Background: </strong>Lung cancer is the most prevalent and lethal cancer globally, necessitating accurate differentiation between benign and malignant pulmonary nodules to guide treatment decisions. This study aims to develop a predictive model that integrates artificial intelligence (AI) analysis with biomarkers to enhance early detection and stratification of lung nodule malignancy.</p><p><strong>Methods: </strong>The study retrospectively analyzed the patients with pathologically confirmed pulmonary nodules. AI technology was employed to assess CT features, such as nodule size, solidity, and malignancy probability. Additionally, lung cancer blood biomarkers were measured. Statistical analysis involved univariate analysis to identify significant differences among factors, followed by multivariate logistic regression to establish independent risk factors. The model performance was validated using receiver operating characteristic curves and decision curve analysis (DCA) for internal validation. Furthermore, an external dataset comprising 51 cases of lung nodules was utilized for independent validation to assess robustness and generalizability.</p><p><strong>Results: </strong>A total of 176 patients were included, divided into benign/preinvasive (<i>n</i> = 76) and invasive cancer groups (<i>n</i> = 100). Multivariate analysis identified eight independent predictors of malignancy: lobulation sign, bronchial inflation sign, AI-predicted malignancy probability, nodule nature, diameter, solidity proportion, vascular endothelial growth factor, and lung cancer autoantibodies. The combined predictive model demonstrated high accuracy (area under the curve [AUC] = 0.946). DCA showed that the combined model significantly outperformed the traditional model, and also proved superior to models using AI-predicted malignancy probability or the seven lung cancer autoantibodies plus traditional model. External validation confirmed its robustness (AUC = 0.856), achieving a sensitivity of 0.80 and specificity of 0.86, effectively distinguishing between invasive and noninvasive nodules.</p><p><strong>Conclusion: </strong>This combined approach of AI-based CT features analysis with lung cancer biomarkers provides a more accurate and clinically useful tool for guiding treatment decisions in pulmonary nodule patients. Further studies with larger cohorts are warranted to validate these findings across diverse patient populations.</p>\",\"PeriodicalId\":23057,\"journal\":{\"name\":\"Thoracic and Cardiovascular Surgeon\",\"volume\":\" \",\"pages\":\"174-181\"},\"PeriodicalIF\":1.4000,\"publicationDate\":\"2025-03-01\",\"publicationTypes\":\"Journal Article\",\"fieldsOfStudy\":null,\"isOpenAccess\":false,\"openAccessPdf\":\"https://www.ncbi.nlm.nih.gov/pmc/articles/PMC11884917/pdf/\",\"citationCount\":\"0\",\"resultStr\":null,\"platform\":\"Semanticscholar\",\"paperid\":null,\"PeriodicalName\":\"Thoracic and Cardiovascular Surgeon\",\"FirstCategoryId\":\"3\",\"ListUrlMain\":\"https://doi.org/10.1055/a-2446-9832\",\"RegionNum\":4,\"RegionCategory\":\"医学\",\"ArticlePicture\":[],\"TitleCN\":null,\"AbstractTextCN\":null,\"PMCID\":null,\"EPubDate\":\"2024/11/26 0:00:00\",\"PubModel\":\"Epub\",\"JCR\":\"Q3\",\"JCRName\":\"CARDIAC & CARDIOVASCULAR SYSTEMS\",\"Score\":null,\"Total\":0}","platform":"Semanticscholar","paperid":null,"PeriodicalName":"Thoracic and Cardiovascular Surgeon","FirstCategoryId":"3","ListUrlMain":"https://doi.org/10.1055/a-2446-9832","RegionNum":4,"RegionCategory":"医学","ArticlePicture":[],"TitleCN":null,"AbstractTextCN":null,"PMCID":null,"EPubDate":"2024/11/26 0:00:00","PubModel":"Epub","JCR":"Q3","JCRName":"CARDIAC & CARDIOVASCULAR SYSTEMS","Score":null,"Total":0}
引用次数: 0

摘要

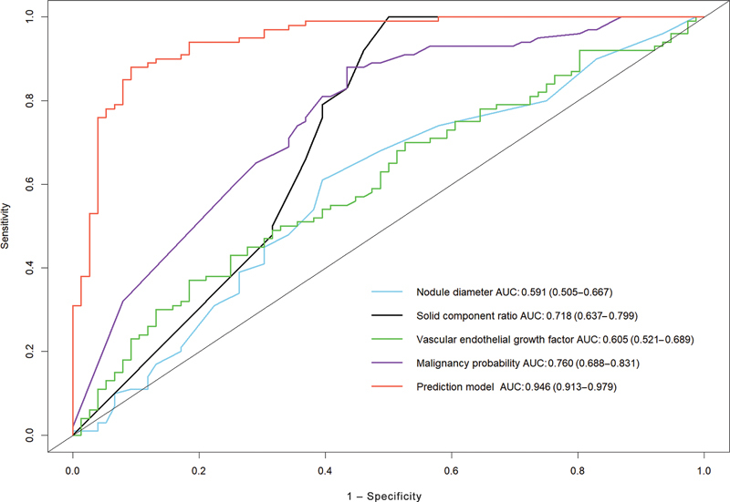
背景:肺癌是全球发病率和致死率最高的癌症,需要准确区分肺结节的良性和恶性,以指导治疗决策。本研究旨在开发一种将人工智能(AI)分析与生物标志物相结合的预测模型,以加强肺结节恶性肿瘤的早期检测和分层:研究对经病理确诊的肺结节患者进行了回顾性分析。采用人工智能技术评估 CT 特征,如结节大小、实性和恶性可能性。此外,还测量了肺癌血液生物标志物。统计分析包括单变量分析以确定各因素之间的显著差异,然后进行多变量逻辑回归以确定独立的风险因素。利用接收器操作特征曲线和决策曲线分析(DCA)对模型的性能进行了内部验证。此外,还利用由 51 例肺结节组成的外部数据集进行独立验证,以评估稳健性和可推广性:结果:共纳入 176 例患者,分为良性/浸润前组(76 例)和浸润癌组(100 例)。多变量分析确定了八个独立的恶性肿瘤预测因子:分叶征、支气管膨胀征、人工智能预测的恶性肿瘤概率、结节性质、直径、实性比例、血管内皮生长因子和肺癌自身抗体。综合预测模型的准确性很高(曲线下面积 [AUC] = 0.946)。DCA显示,组合模型的表现明显优于传统模型,也优于使用人工智能预测恶性肿瘤概率的模型或七种肺癌自身抗体加传统模型的模型。外部验证证实了其稳健性(AUC = 0.856),灵敏度为 0.80,特异性为 0.86,能有效区分浸润性和非浸润性结节:基于人工智能的 CT 特征分析与肺癌生物标志物相结合的方法为指导肺结节患者的治疗决策提供了更准确、更实用的临床工具。为了在不同的患者群体中验证这些研究结果,有必要进行更大规模的研究。
本文章由计算机程序翻译,如有差异,请以英文原文为准。

A Predictive Model Integrating AI Recognition Technology and Biomarkers for Lung Nodule Assessment.

A Predictive Model Integrating AI Recognition Technology and Biomarkers for Lung Nodule Assessment.

A Predictive Model Integrating AI Recognition Technology and Biomarkers for Lung Nodule Assessment.

A Predictive Model Integrating AI Recognition Technology and Biomarkers for Lung Nodule Assessment.

Background: Lung cancer is the most prevalent and lethal cancer globally, necessitating accurate differentiation between benign and malignant pulmonary nodules to guide treatment decisions. This study aims to develop a predictive model that integrates artificial intelligence (AI) analysis with biomarkers to enhance early detection and stratification of lung nodule malignancy.

Methods: The study retrospectively analyzed the patients with pathologically confirmed pulmonary nodules. AI technology was employed to assess CT features, such as nodule size, solidity, and malignancy probability. Additionally, lung cancer blood biomarkers were measured. Statistical analysis involved univariate analysis to identify significant differences among factors, followed by multivariate logistic regression to establish independent risk factors. The model performance was validated using receiver operating characteristic curves and decision curve analysis (DCA) for internal validation. Furthermore, an external dataset comprising 51 cases of lung nodules was utilized for independent validation to assess robustness and generalizability.

Results: A total of 176 patients were included, divided into benign/preinvasive (n = 76) and invasive cancer groups (n = 100). Multivariate analysis identified eight independent predictors of malignancy: lobulation sign, bronchial inflation sign, AI-predicted malignancy probability, nodule nature, diameter, solidity proportion, vascular endothelial growth factor, and lung cancer autoantibodies. The combined predictive model demonstrated high accuracy (area under the curve [AUC] = 0.946). DCA showed that the combined model significantly outperformed the traditional model, and also proved superior to models using AI-predicted malignancy probability or the seven lung cancer autoantibodies plus traditional model. External validation confirmed its robustness (AUC = 0.856), achieving a sensitivity of 0.80 and specificity of 0.86, effectively distinguishing between invasive and noninvasive nodules.

Conclusion: This combined approach of AI-based CT features analysis with lung cancer biomarkers provides a more accurate and clinically useful tool for guiding treatment decisions in pulmonary nodule patients. Further studies with larger cohorts are warranted to validate these findings across diverse patient populations.

求助全文
通过发布文献求助,成功后即可免费获取论文全文。 去求助
来源期刊
CiteScore
3.40
自引率
6.70%
发文量
365
审稿时长
3 months
期刊介绍: The Thoracic and Cardiovascular Surgeon publishes articles of the highest standard from internationally recognized thoracic and cardiovascular surgeons, cardiologists, anesthesiologists, physiologists, and pathologists. This journal is an essential resource for anyone working in this field. Original articles, short communications, reviews and important meeting announcements keep you abreast of key clinical advances, as well as providing the theoretical background of cardiovascular and thoracic surgery. Case reports are published in our Open Access companion journal The Thoracic and Cardiovascular Surgeon Reports.
×
引用
GB/T 7714-2015
复制
MLA
复制
APA
复制
导出至
BibTeX EndNote RefMan NoteFirst NoteExpress
×
提示
您的信息不完整,为了账户安全,请先补充。
现在去补充
×
提示
您因"违规操作"
具体请查看互助需知
我知道了
×
提示
确定
请完成安全验证×
copy
已复制链接
快去分享给好友吧!
我知道了
右上角分享
点击右上角分享
0
联系我们:info@booksci.cn Book学术提供免费学术资源搜索服务,方便国内外学者检索中英文文献。致力于提供最便捷和优质的服务体验。 Copyright © 2023 布克学术 All rights reserved.
京ICP备2023020795号-1
ghs 京公网安备 11010802042870号
Book学术文献互助
Book学术文献互助群
群 号:604180095
Book学术官方微信