对目前市售的用于解冻经溶剂/洗涤剂处理的集合人血浆的设备进行验证。

IF 1.4 4区 医学 Q3 HEMATOLOGY
Transfusion Medicine Pub Date : 2025-02-01 Epub Date: 2024-11-25 DOI:10.1111/tme.13116
Andrea Heger, Michelle Gareis
{"title":"对目前市售的用于解冻经溶剂/洗涤剂处理的集合人血浆的设备进行验证。","authors":"Andrea Heger, Michelle Gareis","doi":"10.1111/tme.13116","DOIUrl":null,"url":null,"abstract":"<p><strong>Background: </strong>Proper thawing procedures are required to preserve the quality of human fresh frozen plasma (FFP). octaplasLG (Octapharma AG, Switzerland) is a frozen solution of solvent/detergent (S/D)-treated human plasma, produced to improve pathogen safety. This study aimed to validate the S/D plasma thawing process using the latest-generation of commercially-available thawing devices and to determine S/D plasma quality after thawing.</p><p><strong>Study design and methods: </strong>Thawing of S/D plasma units was investigated using a microwave oven (Transfusio-therm 3000) and dry tempering systems (SAHARA 4 and Plasmatherm V). Times to defrost plasma and reach 30°C product temperature, using the 37°C thawing programmes, were defined for all devices. Thawed S/D plasma units were tested against product release parameters, as well as for hemostatic capacity tested indirectly via global coagulation parameters, coagulation factors, protease inhibitors and markers of activated coagulation.</p><p><strong>Results: </strong>The fastest thawing was observed using the microwave oven; S/D plasma units were defrosted after 2-3 min. All S/D plasma units thawed by the different devices using optimised thawing conditions were clear and free of solid and gelatinous particles, indicating no local overheating or protein denaturation. Coagulation factor and inhibitor activities and hemostatic capacity of S/D plasma were comparable when thawed by the three different devices. With each device, all product parameters were within product release specification levels after thawing.</p><p><strong>Conclusions: </strong>S/D plasma can be thawed using the Transfusio-therm 3000, SAHARA 4 or Plasmatherm V thawing devices using the optimised settings defined for this plasma product, with no negative influence on plasma quality.</p>","PeriodicalId":23306,"journal":{"name":"Transfusion Medicine","volume":" ","pages":"97-102"},"PeriodicalIF":1.4000,"publicationDate":"2025-02-01","publicationTypes":"Journal Article","fieldsOfStudy":null,"isOpenAccess":false,"openAccessPdf":"https://www.ncbi.nlm.nih.gov/pmc/articles/PMC11833212/pdf/","citationCount":"0","resultStr":"{\"title\":\"Validation of current commercially-available devices to thaw pooled, solvent/detergent-treated human plasma.\",\"authors\":\"Andrea Heger, Michelle Gareis\",\"doi\":\"10.1111/tme.13116\",\"DOIUrl\":null,\"url\":null,\"abstract\":\"<p><strong>Background: </strong>Proper thawing procedures are required to preserve the quality of human fresh frozen plasma (FFP). octaplasLG (Octapharma AG, Switzerland) is a frozen solution of solvent/detergent (S/D)-treated human plasma, produced to improve pathogen safety. This study aimed to validate the S/D plasma thawing process using the latest-generation of commercially-available thawing devices and to determine S/D plasma quality after thawing.</p><p><strong>Study design and methods: </strong>Thawing of S/D plasma units was investigated using a microwave oven (Transfusio-therm 3000) and dry tempering systems (SAHARA 4 and Plasmatherm V). Times to defrost plasma and reach 30°C product temperature, using the 37°C thawing programmes, were defined for all devices. Thawed S/D plasma units were tested against product release parameters, as well as for hemostatic capacity tested indirectly via global coagulation parameters, coagulation factors, protease inhibitors and markers of activated coagulation.</p><p><strong>Results: </strong>The fastest thawing was observed using the microwave oven; S/D plasma units were defrosted after 2-3 min. All S/D plasma units thawed by the different devices using optimised thawing conditions were clear and free of solid and gelatinous particles, indicating no local overheating or protein denaturation. Coagulation factor and inhibitor activities and hemostatic capacity of S/D plasma were comparable when thawed by the three different devices. With each device, all product parameters were within product release specification levels after thawing.</p><p><strong>Conclusions: </strong>S/D plasma can be thawed using the Transfusio-therm 3000, SAHARA 4 or Plasmatherm V thawing devices using the optimised settings defined for this plasma product, with no negative influence on plasma quality.</p>\",\"PeriodicalId\":23306,\"journal\":{\"name\":\"Transfusion Medicine\",\"volume\":\" \",\"pages\":\"97-102\"},\"PeriodicalIF\":1.4000,\"publicationDate\":\"2025-02-01\",\"publicationTypes\":\"Journal Article\",\"fieldsOfStudy\":null,\"isOpenAccess\":false,\"openAccessPdf\":\"https://www.ncbi.nlm.nih.gov/pmc/articles/PMC11833212/pdf/\",\"citationCount\":\"0\",\"resultStr\":null,\"platform\":\"Semanticscholar\",\"paperid\":null,\"PeriodicalName\":\"Transfusion Medicine\",\"FirstCategoryId\":\"3\",\"ListUrlMain\":\"https://doi.org/10.1111/tme.13116\",\"RegionNum\":4,\"RegionCategory\":\"医学\",\"ArticlePicture\":[],\"TitleCN\":null,\"AbstractTextCN\":null,\"PMCID\":null,\"EPubDate\":\"2024/11/25 0:00:00\",\"PubModel\":\"Epub\",\"JCR\":\"Q3\",\"JCRName\":\"HEMATOLOGY\",\"Score\":null,\"Total\":0}","platform":"Semanticscholar","paperid":null,"PeriodicalName":"Transfusion Medicine","FirstCategoryId":"3","ListUrlMain":"https://doi.org/10.1111/tme.13116","RegionNum":4,"RegionCategory":"医学","ArticlePicture":[],"TitleCN":null,"AbstractTextCN":null,"PMCID":null,"EPubDate":"2024/11/25 0:00:00","PubModel":"Epub","JCR":"Q3","JCRName":"HEMATOLOGY","Score":null,"Total":0}
引用次数: 0

摘要

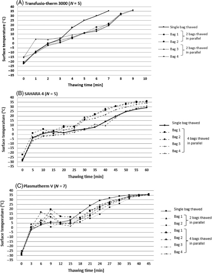
背景:octaplasLG(Octapharma AG,瑞士)是一种经过溶剂/洗涤剂(S/D)处理的人体血浆冷冻溶液,用于提高病原体的安全性。本研究旨在使用最新一代的商用解冻设备验证 S/D 血浆解冻过程,并确定解冻后 S/D 血浆的质量:使用微波炉(Transfusio-therm 3000)和干回火系统(SAHARA 4 和 Plasmatherm V)对 S/D 等离子装置的解冻进行了研究。所有设备均采用 37°C 解冻程序,规定了血浆解冻和产品温度达到 30°C 的时间。根据产品释放参数对解冻的 S/D 血浆单位进行测试,并通过全凝血参数、凝血因子、蛋白酶抑制剂和活化凝血标志物间接测试止血能力:使用微波炉解冻速度最快;S/D 血浆单位在 2-3 分钟后解冻。所有使用不同设备和优化解冻条件解冻的 S/D 血浆单位都是透明的,没有固体和胶状颗粒,表明没有局部过热或蛋白质变性。用三种不同设备解冻的 S/D 血浆的凝血因子和抑制剂活性以及止血能力相当。使用每种设备解冻后,所有产品参数都符合产品释放规格水平:结论:使用 Transfusio-therm 3000、SAHARA 4 或 Plasmatherm V 解冻设备解冻 S/D 血浆时,可使用为该血浆产品定义的优化设置,不会对血浆质量产生负面影响。
本文章由计算机程序翻译,如有差异,请以英文原文为准。

Validation of current commercially-available devices to thaw pooled, solvent/detergent-treated human plasma.

Validation of current commercially-available devices to thaw pooled, solvent/detergent-treated human plasma.

Background: Proper thawing procedures are required to preserve the quality of human fresh frozen plasma (FFP). octaplasLG (Octapharma AG, Switzerland) is a frozen solution of solvent/detergent (S/D)-treated human plasma, produced to improve pathogen safety. This study aimed to validate the S/D plasma thawing process using the latest-generation of commercially-available thawing devices and to determine S/D plasma quality after thawing.

Study design and methods: Thawing of S/D plasma units was investigated using a microwave oven (Transfusio-therm 3000) and dry tempering systems (SAHARA 4 and Plasmatherm V). Times to defrost plasma and reach 30°C product temperature, using the 37°C thawing programmes, were defined for all devices. Thawed S/D plasma units were tested against product release parameters, as well as for hemostatic capacity tested indirectly via global coagulation parameters, coagulation factors, protease inhibitors and markers of activated coagulation.

Results: The fastest thawing was observed using the microwave oven; S/D plasma units were defrosted after 2-3 min. All S/D plasma units thawed by the different devices using optimised thawing conditions were clear and free of solid and gelatinous particles, indicating no local overheating or protein denaturation. Coagulation factor and inhibitor activities and hemostatic capacity of S/D plasma were comparable when thawed by the three different devices. With each device, all product parameters were within product release specification levels after thawing.

Conclusions: S/D plasma can be thawed using the Transfusio-therm 3000, SAHARA 4 or Plasmatherm V thawing devices using the optimised settings defined for this plasma product, with no negative influence on plasma quality.

求助全文
通过发布文献求助,成功后即可免费获取论文全文。 去求助
来源期刊
Transfusion Medicine
Transfusion Medicine 医学-血液学
CiteScore
2.70
自引率
0.00%
发文量
96
审稿时长
6-12 weeks
期刊介绍: Transfusion Medicine publishes articles on transfusion medicine in its widest context, including blood transfusion practice (blood procurement, pharmaceutical, clinical, scientific, computing and documentary aspects), immunohaematology, immunogenetics, histocompatibility, medico-legal applications, and related molecular biology and biotechnology. In addition to original articles, which may include brief communications and case reports, the journal contains a regular educational section (based on invited reviews and state-of-the-art reports), technical section (including quality assurance and current practice guidelines), leading articles, letters to the editor, occasional historical articles and signed book reviews. Some lectures from Society meetings that are likely to be of general interest to readers of the Journal may be published at the discretion of the Editor and subject to the availability of space in the Journal.
×
引用
GB/T 7714-2015
复制
MLA
复制
APA
复制
导出至
BibTeX EndNote RefMan NoteFirst NoteExpress
×
提示
您的信息不完整,为了账户安全,请先补充。
现在去补充
×
提示
您因"违规操作"
具体请查看互助需知
我知道了
×
提示
确定
请完成安全验证×
copy
已复制链接
快去分享给好友吧!
我知道了
右上角分享
点击右上角分享
0
联系我们:info@booksci.cn Book学术提供免费学术资源搜索服务,方便国内外学者检索中英文文献。致力于提供最便捷和优质的服务体验。 Copyright © 2023 布克学术 All rights reserved.
京ICP备2023020795号-1
ghs 京公网安备 11010802042870号
Book学术文献互助
Book学术文献互助群
群 号:604180095
Book学术官方微信