家庭牙科护理方案对无鳞犬的效果。

IF 0.9 4区 农林科学 Q3 VETERINARY SCIENCES
Journal of Veterinary Dentistry Pub Date : 2025-05-01 Epub Date: 2024-11-25 DOI:10.1177/08987564241292769
Jerzy Gawor, Michał Jank, Colin E Harvey, Celine S Nicolas
{"title":"家庭牙科护理方案对无鳞犬的效果。","authors":"Jerzy Gawor, Michał Jank, Colin E Harvey, Celine S Nicolas","doi":"10.1177/08987564241292769","DOIUrl":null,"url":null,"abstract":"<p><p>Many dental homecare products are marketed, several of which have been evaluated using a \"clean tooth\" protocol (the teeth are scaled at the start of the trial). The efficacy of dental products in dogs that have not had their teeth professionally cleaned (\"dirty tooth model\") has been studied far less often. Some dogs for which professional dental cleaning is indicated will not have their teeth cleaned because of anesthetic risk or for other reasons. In this study, 6 dental homecare products were evaluated against a negative control group; none of the dogs received professional dental cleaning at the start of the study. The home care protocols tested were: brushing every other day using a toothpaste, feeding a dental chew once daily (VF), adding a water additive in the water daily (AQ), brushing once a week + VF daily, brushing once a week + AQ daily, VF + AQ daily. Dental deposits (plaque and calculus) and periodontal health were assessed on awake dogs, before and after receiving the assigned homecare regimen for 8 weeks. Results were compared with an untreated control group. Dental deposits were reduced by regular mechanical action (brushing or VF daily). Periodontal health status was improved when AQ daily was combined with either brushing once a week or VF daily. Two scoring techniques useful for determining a recommendation from a veterinarian to commence home oral hygiene or recommend dental scaling as a necessary first step are described.</p>","PeriodicalId":17584,"journal":{"name":"Journal of Veterinary Dentistry","volume":" ","pages":"176-181"},"PeriodicalIF":0.9000,"publicationDate":"2025-05-01","publicationTypes":"Journal Article","fieldsOfStudy":null,"isOpenAccess":false,"openAccessPdf":"https://www.ncbi.nlm.nih.gov/pmc/articles/PMC11894899/pdf/","citationCount":"0","resultStr":"{\"title\":\"Effectiveness of Dental Homecare Protocols in Unscaled Dogs.\",\"authors\":\"Jerzy Gawor, Michał Jank, Colin E Harvey, Celine S Nicolas\",\"doi\":\"10.1177/08987564241292769\",\"DOIUrl\":null,\"url\":null,\"abstract\":\"<p><p>Many dental homecare products are marketed, several of which have been evaluated using a \\\"clean tooth\\\" protocol (the teeth are scaled at the start of the trial). The efficacy of dental products in dogs that have not had their teeth professionally cleaned (\\\"dirty tooth model\\\") has been studied far less often. Some dogs for which professional dental cleaning is indicated will not have their teeth cleaned because of anesthetic risk or for other reasons. In this study, 6 dental homecare products were evaluated against a negative control group; none of the dogs received professional dental cleaning at the start of the study. The home care protocols tested were: brushing every other day using a toothpaste, feeding a dental chew once daily (VF), adding a water additive in the water daily (AQ), brushing once a week + VF daily, brushing once a week + AQ daily, VF + AQ daily. Dental deposits (plaque and calculus) and periodontal health were assessed on awake dogs, before and after receiving the assigned homecare regimen for 8 weeks. Results were compared with an untreated control group. Dental deposits were reduced by regular mechanical action (brushing or VF daily). Periodontal health status was improved when AQ daily was combined with either brushing once a week or VF daily. Two scoring techniques useful for determining a recommendation from a veterinarian to commence home oral hygiene or recommend dental scaling as a necessary first step are described.</p>\",\"PeriodicalId\":17584,\"journal\":{\"name\":\"Journal of Veterinary Dentistry\",\"volume\":\" \",\"pages\":\"176-181\"},\"PeriodicalIF\":0.9000,\"publicationDate\":\"2025-05-01\",\"publicationTypes\":\"Journal Article\",\"fieldsOfStudy\":null,\"isOpenAccess\":false,\"openAccessPdf\":\"https://www.ncbi.nlm.nih.gov/pmc/articles/PMC11894899/pdf/\",\"citationCount\":\"0\",\"resultStr\":null,\"platform\":\"Semanticscholar\",\"paperid\":null,\"PeriodicalName\":\"Journal of Veterinary Dentistry\",\"FirstCategoryId\":\"97\",\"ListUrlMain\":\"https://doi.org/10.1177/08987564241292769\",\"RegionNum\":4,\"RegionCategory\":\"农林科学\",\"ArticlePicture\":[],\"TitleCN\":null,\"AbstractTextCN\":null,\"PMCID\":null,\"EPubDate\":\"2024/11/25 0:00:00\",\"PubModel\":\"Epub\",\"JCR\":\"Q3\",\"JCRName\":\"VETERINARY SCIENCES\",\"Score\":null,\"Total\":0}","platform":"Semanticscholar","paperid":null,"PeriodicalName":"Journal of Veterinary Dentistry","FirstCategoryId":"97","ListUrlMain":"https://doi.org/10.1177/08987564241292769","RegionNum":4,"RegionCategory":"农林科学","ArticlePicture":[],"TitleCN":null,"AbstractTextCN":null,"PMCID":null,"EPubDate":"2024/11/25 0:00:00","PubModel":"Epub","JCR":"Q3","JCRName":"VETERINARY SCIENCES","Score":null,"Total":0}
引用次数: 0

摘要

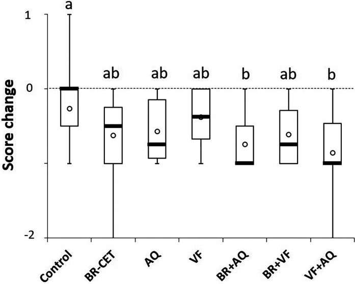
市场上有许多牙科家庭护理产品,其中有几种已通过 "洁牙 "方案(在试验开始时对牙齿进行洗牙)进行了评估。关于牙科产品对未经专业洗牙的狗的疗效("脏牙模式")的研究要少得多。由于麻醉风险或其他原因,一些需要专业洗牙的狗不会去洗牙。在这项研究中,针对一个阴性对照组对 6 种牙齿家庭护理产品进行了评估;在研究开始时,没有任何一只狗接受过专业的牙齿清洁。测试的家庭护理方案包括:每隔一天使用牙膏刷牙、每天喂食一次牙齿咀嚼物(VF)、每天在水中添加水添加剂(AQ)、每周刷牙一次 + VF 每天一次、每周刷牙一次 + AQ 每天一次、VF + AQ 每天一次。在接受指定的家庭护理方案 8 周之前和之后,对清醒狗的牙齿沉积物(牙菌斑和牙结石)和牙周健康状况进行了评估。结果与未经治疗的对照组进行了比较。通过定期的机械操作(每天刷牙或 VF),牙齿沉积物有所减少。当每日 AQ 与每周一次刷牙或每日 VF 结合使用时,牙周健康状况有所改善。本文介绍了两种评分技术,它们有助于确定兽医是否建议开始家庭口腔卫生或建议将洗牙作为必要的第一步。
本文章由计算机程序翻译,如有差异,请以英文原文为准。

Effectiveness of Dental Homecare Protocols in Unscaled Dogs.

Effectiveness of Dental Homecare Protocols in Unscaled Dogs.

Effectiveness of Dental Homecare Protocols in Unscaled Dogs.

Effectiveness of Dental Homecare Protocols in Unscaled Dogs.

Many dental homecare products are marketed, several of which have been evaluated using a "clean tooth" protocol (the teeth are scaled at the start of the trial). The efficacy of dental products in dogs that have not had their teeth professionally cleaned ("dirty tooth model") has been studied far less often. Some dogs for which professional dental cleaning is indicated will not have their teeth cleaned because of anesthetic risk or for other reasons. In this study, 6 dental homecare products were evaluated against a negative control group; none of the dogs received professional dental cleaning at the start of the study. The home care protocols tested were: brushing every other day using a toothpaste, feeding a dental chew once daily (VF), adding a water additive in the water daily (AQ), brushing once a week + VF daily, brushing once a week + AQ daily, VF + AQ daily. Dental deposits (plaque and calculus) and periodontal health were assessed on awake dogs, before and after receiving the assigned homecare regimen for 8 weeks. Results were compared with an untreated control group. Dental deposits were reduced by regular mechanical action (brushing or VF daily). Periodontal health status was improved when AQ daily was combined with either brushing once a week or VF daily. Two scoring techniques useful for determining a recommendation from a veterinarian to commence home oral hygiene or recommend dental scaling as a necessary first step are described.

求助全文
通过发布文献求助,成功后即可免费获取论文全文。 去求助
来源期刊
Journal of Veterinary Dentistry
Journal of Veterinary Dentistry VETERINARY SCIENCES-
CiteScore
1.00
自引率
10.00%
发文量
59
期刊介绍: The Journal of Veterinary Dentistry (JOVD) is the official peer-reviewed publication of the Foundation for Veterinary Dentistry. The JOVD provides a continuing education forum for veterinary dental scientists, veterinarians, dentists, and veterinary/dental technicians and hygienists who are engaged in veterinary dental practice. JOVD articles provide practical and scientifically sound information covering not only the medical and surgical aspects, but also specific categories as they relate to clinical practice.
×
引用
GB/T 7714-2015
复制
MLA
复制
APA
复制
导出至
BibTeX EndNote RefMan NoteFirst NoteExpress
×
提示
您的信息不完整,为了账户安全,请先补充。
现在去补充
×
提示
您因"违规操作"
具体请查看互助需知
我知道了
×
提示
确定
请完成安全验证×
copy
已复制链接
快去分享给好友吧!
我知道了
右上角分享
点击右上角分享
0
联系我们:info@booksci.cn Book学术提供免费学术资源搜索服务,方便国内外学者检索中英文文献。致力于提供最便捷和优质的服务体验。 Copyright © 2023 布克学术 All rights reserved.
京ICP备2023020795号-1
ghs 京公网安备 11010802042870号
Book学术文献互助
Book学术文献互助群
群 号:604180095
Book学术官方微信