幼儿园儿童睡眠-觉醒节律的特点和过渡:夜间睡眠的重要性

IF 2.1 Q3 CLINICAL NEUROLOGY
Takehiro Hasegawa, Shozo Murata, Tatsuo Kagimura, Kaoru Omae, Akiko Tanaka, Kaori Takahashi, Mika Narusawa, Yukuo Konishi, Kentaro Oniki, Teruhisa Miike
{"title":"幼儿园儿童睡眠-觉醒节律的特点和过渡:夜间睡眠的重要性","authors":"Takehiro Hasegawa, Shozo Murata, Tatsuo Kagimura, Kaoru Omae, Akiko Tanaka, Kaori Takahashi, Mika Narusawa, Yukuo Konishi, Kentaro Oniki, Teruhisa Miike","doi":"10.3390/clockssleep6040045","DOIUrl":null,"url":null,"abstract":"<p><p>In this study, we investigated the sleep-wake rhythm of nursery school children with the aim of supporting their health and mental/physical development. We analyzed 4881 children from infancy to 6 years of age, using 2 week sleep tables recorded by their guardians. The tables contained night bedtimes, wake times, nighttime/daytime sleep duration, and the differences in these between weekdays and weekends. The total sleep decrement of children with increasing age is attributed to a decrease in daytime sleep, while nighttime sleep duration remains almost unchanged at about 10 h, which is, therefore, referred to as the nighttime basic sleep duration (NBSD). Although bedtime stabilizes at around 9:30 p.m. by the age of 2, wake-up times tend to be before 7 a.m., which results in sleep insufficiency during weekdays. This lack of sleep is compensated for by long naps on weekdays and by catching up on sleep on weekend mornings, which may contribute to future social jet lag. Guardians are encouraged to know their children's exact NBSD and set an appropriate bedtime to be maintained on weekdays. This helps to prevent sleep debt and fosters a consistent daily rhythm of waking up at the same time both on weekdays and weekends. These conditions are believed to support mental/physical development and school and social adaptation.</p>","PeriodicalId":33568,"journal":{"name":"Clocks & Sleep","volume":"6 4","pages":"668-681"},"PeriodicalIF":2.1000,"publicationDate":"2024-11-12","publicationTypes":"Journal Article","fieldsOfStudy":null,"isOpenAccess":false,"openAccessPdf":"https://www.ncbi.nlm.nih.gov/pmc/articles/PMC11587039/pdf/","citationCount":"0","resultStr":"{\"title\":\"Characteristics and Transition of Sleep-Wake Rhythm in Nursery School Children: The Importance of Nocturnal Sleep.\",\"authors\":\"Takehiro Hasegawa, Shozo Murata, Tatsuo Kagimura, Kaoru Omae, Akiko Tanaka, Kaori Takahashi, Mika Narusawa, Yukuo Konishi, Kentaro Oniki, Teruhisa Miike\",\"doi\":\"10.3390/clockssleep6040045\",\"DOIUrl\":null,\"url\":null,\"abstract\":\"<p><p>In this study, we investigated the sleep-wake rhythm of nursery school children with the aim of supporting their health and mental/physical development. We analyzed 4881 children from infancy to 6 years of age, using 2 week sleep tables recorded by their guardians. The tables contained night bedtimes, wake times, nighttime/daytime sleep duration, and the differences in these between weekdays and weekends. The total sleep decrement of children with increasing age is attributed to a decrease in daytime sleep, while nighttime sleep duration remains almost unchanged at about 10 h, which is, therefore, referred to as the nighttime basic sleep duration (NBSD). Although bedtime stabilizes at around 9:30 p.m. by the age of 2, wake-up times tend to be before 7 a.m., which results in sleep insufficiency during weekdays. This lack of sleep is compensated for by long naps on weekdays and by catching up on sleep on weekend mornings, which may contribute to future social jet lag. Guardians are encouraged to know their children's exact NBSD and set an appropriate bedtime to be maintained on weekdays. This helps to prevent sleep debt and fosters a consistent daily rhythm of waking up at the same time both on weekdays and weekends. These conditions are believed to support mental/physical development and school and social adaptation.</p>\",\"PeriodicalId\":33568,\"journal\":{\"name\":\"Clocks & Sleep\",\"volume\":\"6 4\",\"pages\":\"668-681\"},\"PeriodicalIF\":2.1000,\"publicationDate\":\"2024-11-12\",\"publicationTypes\":\"Journal Article\",\"fieldsOfStudy\":null,\"isOpenAccess\":false,\"openAccessPdf\":\"https://www.ncbi.nlm.nih.gov/pmc/articles/PMC11587039/pdf/\",\"citationCount\":\"0\",\"resultStr\":null,\"platform\":\"Semanticscholar\",\"paperid\":null,\"PeriodicalName\":\"Clocks & Sleep\",\"FirstCategoryId\":\"1085\",\"ListUrlMain\":\"https://doi.org/10.3390/clockssleep6040045\",\"RegionNum\":0,\"RegionCategory\":null,\"ArticlePicture\":[],\"TitleCN\":null,\"AbstractTextCN\":null,\"PMCID\":null,\"EPubDate\":\"\",\"PubModel\":\"\",\"JCR\":\"Q3\",\"JCRName\":\"CLINICAL NEUROLOGY\",\"Score\":null,\"Total\":0}","platform":"Semanticscholar","paperid":null,"PeriodicalName":"Clocks & Sleep","FirstCategoryId":"1085","ListUrlMain":"https://doi.org/10.3390/clockssleep6040045","RegionNum":0,"RegionCategory":null,"ArticlePicture":[],"TitleCN":null,"AbstractTextCN":null,"PMCID":null,"EPubDate":"","PubModel":"","JCR":"Q3","JCRName":"CLINICAL NEUROLOGY","Score":null,"Total":0}
引用次数: 0

摘要

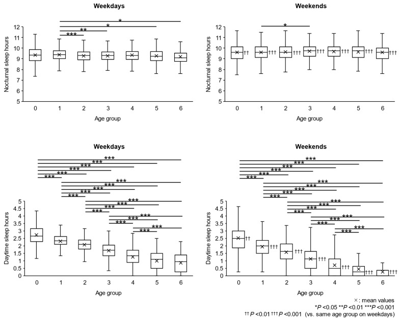
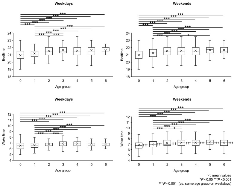
在这项研究中,我们调查了幼儿园儿童的睡眠-觉醒节奏,目的是为他们的健康和身心发展提供支持。我们利用监护人记录的两周睡眠表,对 4881 名婴儿期至 6 岁的儿童进行了分析。这些表格包括夜间就寝时间、觉醒时间、夜间/白天睡眠时间,以及这些时间在工作日和周末之间的差异。儿童的总睡眠时间随着年龄的增长而减少,原因是白天睡眠时间减少,而夜间睡眠时间几乎保持不变,约为 10 小时,因此被称为夜间基本睡眠时间(NBSD)。虽然两岁时的就寝时间稳定在晚上 9:30 左右,但起床时间往往在早上 7 点之前,这就造成了平日里的睡眠不足。为了弥补这种睡眠不足,他们会在平日长时间小睡,并在周末早上补觉,这可能会造成未来的社会时差。我们鼓励监护人了解孩子的准确 NBSD,并设定适当的就寝时间,以便在平日保持。这有助于防止睡眠负债,并培养平日和周末在同一时间起床的一致节奏。这些条件被认为有助于身心发展以及学校和社会适应。
本文章由计算机程序翻译,如有差异,请以英文原文为准。

Characteristics and Transition of Sleep-Wake Rhythm in Nursery School Children: The Importance of Nocturnal Sleep.

Characteristics and Transition of Sleep-Wake Rhythm in Nursery School Children: The Importance of Nocturnal Sleep.

Characteristics and Transition of Sleep-Wake Rhythm in Nursery School Children: The Importance of Nocturnal Sleep.

Characteristics and Transition of Sleep-Wake Rhythm in Nursery School Children: The Importance of Nocturnal Sleep.

In this study, we investigated the sleep-wake rhythm of nursery school children with the aim of supporting their health and mental/physical development. We analyzed 4881 children from infancy to 6 years of age, using 2 week sleep tables recorded by their guardians. The tables contained night bedtimes, wake times, nighttime/daytime sleep duration, and the differences in these between weekdays and weekends. The total sleep decrement of children with increasing age is attributed to a decrease in daytime sleep, while nighttime sleep duration remains almost unchanged at about 10 h, which is, therefore, referred to as the nighttime basic sleep duration (NBSD). Although bedtime stabilizes at around 9:30 p.m. by the age of 2, wake-up times tend to be before 7 a.m., which results in sleep insufficiency during weekdays. This lack of sleep is compensated for by long naps on weekdays and by catching up on sleep on weekend mornings, which may contribute to future social jet lag. Guardians are encouraged to know their children's exact NBSD and set an appropriate bedtime to be maintained on weekdays. This helps to prevent sleep debt and fosters a consistent daily rhythm of waking up at the same time both on weekdays and weekends. These conditions are believed to support mental/physical development and school and social adaptation.

求助全文
通过发布文献求助,成功后即可免费获取论文全文。 去求助
来源期刊
Clocks & Sleep
Clocks & Sleep Multiple-
CiteScore
4.40
自引率
0.00%
发文量
0
审稿时长
7 weeks
×
引用
GB/T 7714-2015
复制
MLA
复制
APA
复制
导出至
BibTeX EndNote RefMan NoteFirst NoteExpress
×
提示
您的信息不完整,为了账户安全,请先补充。
现在去补充
×
提示
您因"违规操作"
具体请查看互助需知
我知道了
×
提示
确定
请完成安全验证×
copy
已复制链接
快去分享给好友吧!
我知道了
右上角分享
点击右上角分享
0
联系我们:info@booksci.cn Book学术提供免费学术资源搜索服务,方便国内外学者检索中英文文献。致力于提供最便捷和优质的服务体验。 Copyright © 2023 布克学术 All rights reserved.
京ICP备2023020795号-1
ghs 京公网安备 11010802042870号
Book学术文献互助
Book学术文献互助群
群 号:604180095
Book学术官方微信