遵义市老年RA患者过去一年的情况如何?

IF 4.1 2区 医学 Q2 IMMUNOLOGY
Journal of Inflammation Research Pub Date : 2024-11-18 eCollection Date: 2024-01-01 DOI:10.2147/JIR.S493145
Yong Chen, Yan-Juan Chen, Jian-Feng Luo, Mang He, Si-Jin Zhao, Shi-Dan Tian, Yong-Qiao Zhang, Xiao-Long Chen, Chuan-Jie Yang, Yu-Zhuo Luo, Kutty Selva Nandakumar, Mei Tian
{"title":"遵义市老年RA患者过去一年的情况如何?","authors":"Yong Chen, Yan-Juan Chen, Jian-Feng Luo, Mang He, Si-Jin Zhao, Shi-Dan Tian, Yong-Qiao Zhang, Xiao-Long Chen, Chuan-Jie Yang, Yu-Zhuo Luo, Kutty Selva Nandakumar, Mei Tian","doi":"10.2147/JIR.S493145","DOIUrl":null,"url":null,"abstract":"<p><strong>Purpose: </strong>The quality of life (QoL) of elderly patients with rheumatoid arthritis (RA) in Zunyi China based on health parameters has not been previously analyzed. This study compares the 36-Item Short Form Health Survey (SF-36) scores and prevailing health complications between <60y and ≥60y patients with RA. Data from 1166 patients with RA who visited the rheumatology department of Zunyi Medical University Hospital were followed up and retrospectively analyzed.</p><p><strong>Patients and methods: </strong>Data from 1166 patients with RA who visited the rheumatology department of Zunyi Medical University Hospital (2021.1-2022.8) were followed up and retrospectively analyzed.</p><p><strong>Results: </strong>Twenty cases passed away at 61.55 ± 8.11y, which was 6.75 years less than the local average age of death. Elderly patients with RA reported lower recovery levels, and their levels of inflammatory markers such as Immunoglobulin M-rheumatoid factor (IgM-RF), erythrocyte sedimentation rate (ESR), and C-reactive protein (CRP) levels were significantly higher than those of younger patients during their past one-year observation period. The SF-36 results indicated that eight items of QoL in the elderly patients were all significantly inferior to <60y patients, while the complications of interstitial lung disease (ILD), latent tuberculosis infection (LTBI) and, lung and herpes zoster infections were significantly higher.</p><p><strong>Conclusion: </strong>Elderly patients had a higher disease activity along with poor QoL, more health-related complications, and susceptibility to infections. Our study emphasizes the imperative need for optimization of RA treatment modalities in the elderly to alleviate their sufferings.</p>","PeriodicalId":16107,"journal":{"name":"Journal of Inflammation Research","volume":"17 ","pages":"8935-8944"},"PeriodicalIF":4.1000,"publicationDate":"2024-11-18","publicationTypes":"Journal Article","fieldsOfStudy":null,"isOpenAccess":false,"openAccessPdf":"https://www.ncbi.nlm.nih.gov/pmc/articles/PMC11584323/pdf/","citationCount":"0","resultStr":"{\"title\":\"How Were the Elderly RA Patients Doing Over the Past Year?-A Post Hoc Analysis for Telephone Based Following Up to RA Patients in Zunyi China.\",\"authors\":\"Yong Chen, Yan-Juan Chen, Jian-Feng Luo, Mang He, Si-Jin Zhao, Shi-Dan Tian, Yong-Qiao Zhang, Xiao-Long Chen, Chuan-Jie Yang, Yu-Zhuo Luo, Kutty Selva Nandakumar, Mei Tian\",\"doi\":\"10.2147/JIR.S493145\",\"DOIUrl\":null,\"url\":null,\"abstract\":\"<p><strong>Purpose: </strong>The quality of life (QoL) of elderly patients with rheumatoid arthritis (RA) in Zunyi China based on health parameters has not been previously analyzed. This study compares the 36-Item Short Form Health Survey (SF-36) scores and prevailing health complications between <60y and ≥60y patients with RA. Data from 1166 patients with RA who visited the rheumatology department of Zunyi Medical University Hospital were followed up and retrospectively analyzed.</p><p><strong>Patients and methods: </strong>Data from 1166 patients with RA who visited the rheumatology department of Zunyi Medical University Hospital (2021.1-2022.8) were followed up and retrospectively analyzed.</p><p><strong>Results: </strong>Twenty cases passed away at 61.55 ± 8.11y, which was 6.75 years less than the local average age of death. Elderly patients with RA reported lower recovery levels, and their levels of inflammatory markers such as Immunoglobulin M-rheumatoid factor (IgM-RF), erythrocyte sedimentation rate (ESR), and C-reactive protein (CRP) levels were significantly higher than those of younger patients during their past one-year observation period. The SF-36 results indicated that eight items of QoL in the elderly patients were all significantly inferior to <60y patients, while the complications of interstitial lung disease (ILD), latent tuberculosis infection (LTBI) and, lung and herpes zoster infections were significantly higher.</p><p><strong>Conclusion: </strong>Elderly patients had a higher disease activity along with poor QoL, more health-related complications, and susceptibility to infections. Our study emphasizes the imperative need for optimization of RA treatment modalities in the elderly to alleviate their sufferings.</p>\",\"PeriodicalId\":16107,\"journal\":{\"name\":\"Journal of Inflammation Research\",\"volume\":\"17 \",\"pages\":\"8935-8944\"},\"PeriodicalIF\":4.1000,\"publicationDate\":\"2024-11-18\",\"publicationTypes\":\"Journal Article\",\"fieldsOfStudy\":null,\"isOpenAccess\":false,\"openAccessPdf\":\"https://www.ncbi.nlm.nih.gov/pmc/articles/PMC11584323/pdf/\",\"citationCount\":\"0\",\"resultStr\":null,\"platform\":\"Semanticscholar\",\"paperid\":null,\"PeriodicalName\":\"Journal of Inflammation Research\",\"FirstCategoryId\":\"3\",\"ListUrlMain\":\"https://doi.org/10.2147/JIR.S493145\",\"RegionNum\":2,\"RegionCategory\":\"医学\",\"ArticlePicture\":[],\"TitleCN\":null,\"AbstractTextCN\":null,\"PMCID\":null,\"EPubDate\":\"2024/1/1 0:00:00\",\"PubModel\":\"eCollection\",\"JCR\":\"Q2\",\"JCRName\":\"IMMUNOLOGY\",\"Score\":null,\"Total\":0}","platform":"Semanticscholar","paperid":null,"PeriodicalName":"Journal of Inflammation Research","FirstCategoryId":"3","ListUrlMain":"https://doi.org/10.2147/JIR.S493145","RegionNum":2,"RegionCategory":"医学","ArticlePicture":[],"TitleCN":null,"AbstractTextCN":null,"PMCID":null,"EPubDate":"2024/1/1 0:00:00","PubModel":"eCollection","JCR":"Q2","JCRName":"IMMUNOLOGY","Score":null,"Total":0}
引用次数: 0

摘要

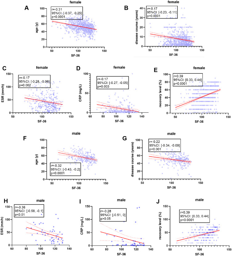
目的:此前尚未对遵义地区老年类风湿关节炎(RA)患者基于健康参数的生活质量(QoL)进行分析。本研究比较了类风湿关节炎患者的 36 项简表健康调查(SF-36)得分和普遍存在的健康并发症:对遵义医学院附属医院风湿免疫科就诊的1166例RA患者(2021.1-2022.8)的数据进行随访和回顾性分析:20例患者的死亡年龄为(61.55±8.11)岁,比当地平均死亡年龄低6.75岁。在过去一年的观察期间,老年 RA 患者的康复水平较低,其炎症指标如免疫球蛋白 M-类风湿因子(IgM-RF)、红细胞沉降率(ESR)和 C 反应蛋白(CRP)水平明显高于年轻患者。SF-36 结果显示,老年患者的 8 项 QoL 均明显低于结论:老年患者的疾病活动度较高,生活质量较差,健康相关并发症较多,易受感染。我们的研究强调,必须优化老年人的 RA 治疗方法,以减轻他们的痛苦。
本文章由计算机程序翻译,如有差异,请以英文原文为准。

How Were the Elderly RA Patients Doing Over the Past Year?-A Post Hoc Analysis for Telephone Based Following Up to RA Patients in Zunyi China.

How Were the Elderly RA Patients Doing Over the Past Year?-A Post Hoc Analysis for Telephone Based Following Up to RA Patients in Zunyi China.

How Were the Elderly RA Patients Doing Over the Past Year?-A Post Hoc Analysis for Telephone Based Following Up to RA Patients in Zunyi China.

How Were the Elderly RA Patients Doing Over the Past Year?-A Post Hoc Analysis for Telephone Based Following Up to RA Patients in Zunyi China.

Purpose: The quality of life (QoL) of elderly patients with rheumatoid arthritis (RA) in Zunyi China based on health parameters has not been previously analyzed. This study compares the 36-Item Short Form Health Survey (SF-36) scores and prevailing health complications between <60y and ≥60y patients with RA. Data from 1166 patients with RA who visited the rheumatology department of Zunyi Medical University Hospital were followed up and retrospectively analyzed.

Patients and methods: Data from 1166 patients with RA who visited the rheumatology department of Zunyi Medical University Hospital (2021.1-2022.8) were followed up and retrospectively analyzed.

Results: Twenty cases passed away at 61.55 ± 8.11y, which was 6.75 years less than the local average age of death. Elderly patients with RA reported lower recovery levels, and their levels of inflammatory markers such as Immunoglobulin M-rheumatoid factor (IgM-RF), erythrocyte sedimentation rate (ESR), and C-reactive protein (CRP) levels were significantly higher than those of younger patients during their past one-year observation period. The SF-36 results indicated that eight items of QoL in the elderly patients were all significantly inferior to <60y patients, while the complications of interstitial lung disease (ILD), latent tuberculosis infection (LTBI) and, lung and herpes zoster infections were significantly higher.

Conclusion: Elderly patients had a higher disease activity along with poor QoL, more health-related complications, and susceptibility to infections. Our study emphasizes the imperative need for optimization of RA treatment modalities in the elderly to alleviate their sufferings.

求助全文
通过发布文献求助,成功后即可免费获取论文全文。 去求助
来源期刊
Journal of Inflammation Research
Journal of Inflammation Research Immunology and Microbiology-Immunology
CiteScore
6.10
自引率
2.20%
发文量
658
审稿时长
16 weeks
期刊介绍: An international, peer-reviewed, open access, online journal that welcomes laboratory and clinical findings on the molecular basis, cell biology and pharmacology of inflammation.
×
引用
GB/T 7714-2015
复制
MLA
复制
APA
复制
导出至
BibTeX EndNote RefMan NoteFirst NoteExpress
×
提示
您的信息不完整,为了账户安全,请先补充。
现在去补充
×
提示
您因"违规操作"
具体请查看互助需知
我知道了
×
提示
确定
请完成安全验证×
copy
已复制链接
快去分享给好友吧!
我知道了
右上角分享
点击右上角分享
0
联系我们:info@booksci.cn Book学术提供免费学术资源搜索服务,方便国内外学者检索中英文文献。致力于提供最便捷和优质的服务体验。 Copyright © 2023 布克学术 All rights reserved.
京ICP备2023020795号-1
ghs 京公网安备 11010802042870号
Book学术文献互助
Book学术文献互助群
群 号:604180095
Book学术官方微信