孕早期母体肝功能异常与自然妊娠流产:一项回顾性队列研究。

IF 3 2区 医学 Q1 PUBLIC, ENVIRONMENTAL & OCCUPATIONAL HEALTH
Journal of Epidemiology Pub Date : 2025-05-05 Epub Date: 2025-03-31 DOI:10.2188/jea.JE20240233
Huibin Yang, Tianyi Tang, Qianlei Qian, Xiaohua Zhang, Yinan Liu, Xiaoyan Zhou, Yanling Zhang, Longmei Jin, Xiaotian Chen
{"title":"孕早期母体肝功能异常与自然妊娠流产:一项回顾性队列研究。","authors":"Huibin Yang, Tianyi Tang, Qianlei Qian, Xiaohua Zhang, Yinan Liu, Xiaoyan Zhou, Yanling Zhang, Longmei Jin, Xiaotian Chen","doi":"10.2188/jea.JE20240233","DOIUrl":null,"url":null,"abstract":"<p><strong>Background: </strong>Spontaneous pregnancy loss (SPL) precedes an increased risk of reduced fertility, while its etiology mechanism remains largely unknown. Liver dysfunction presenting in early pregnancy may represent a pre-existing undiagnosed liver condition affecting fetal development. Here, we investigated whether maternal abnormal liver function in early pregnancy contributed to the incidence of SPL.</p><p><strong>Methods: </strong>Data on pregnant women were leveraged from the Maternal Health Care Information System in Shanghai City from 2017 to 2021. Liver dysfunction status was defined as having any elevated liver function biomarker levels (LFBs) at the first antenatal visit. SPL cases were defined as fetal death occurring before 28 weeks gestation. Generalized linear models were used to estimate crude and adjusted risk ratios (RRs and aRRs, respectively) and 95% confidence intervals (CIs).</p><p><strong>Results: </strong>Among 10,175 leveraged pregnant women, 918 (9.0%) SPL cases were recorded. Maternal liver dysfunction in early pregnancy was associated with a 49% increased risk of SPL (RR 1.49; 95% CI, 1.22-1.84). This positive association persisted after adjustment for covariates (aRR 1.55; 95% CI, 1.26-1.92). Higher γ-glutamyl transferase (GGT) and alkaline phosphatase (ALP) levels were also linked with increased risk of SPL in a linear fashion (aRRs per 1 standard deviation increase: 1.13; 95% CI, 1.08-1.17 and 1.13; 95% CI, 1.07-1.20, respectively). Similar magnitudes of associations were observed between normal weight and overweight pregnant women in subgroup analysis.</p><p><strong>Conclusion: </strong>We provide new evidence that maternal abnormal liver function in early pregnancy, as well as GGT and ALP, predisposes to an increased risk of SPL.</p>","PeriodicalId":15799,"journal":{"name":"Journal of Epidemiology","volume":" ","pages":"230-236"},"PeriodicalIF":3.0000,"publicationDate":"2025-05-05","publicationTypes":"Journal Article","fieldsOfStudy":null,"isOpenAccess":false,"openAccessPdf":"https://www.ncbi.nlm.nih.gov/pmc/articles/PMC11979345/pdf/","citationCount":"0","resultStr":"{\"title\":\"Maternal Abnormal Liver Function in Early Pregnancy and Spontaneous Pregnancy Loss: A Retrospective Cohort Study.\",\"authors\":\"Huibin Yang, Tianyi Tang, Qianlei Qian, Xiaohua Zhang, Yinan Liu, Xiaoyan Zhou, Yanling Zhang, Longmei Jin, Xiaotian Chen\",\"doi\":\"10.2188/jea.JE20240233\",\"DOIUrl\":null,\"url\":null,\"abstract\":\"<p><strong>Background: </strong>Spontaneous pregnancy loss (SPL) precedes an increased risk of reduced fertility, while its etiology mechanism remains largely unknown. Liver dysfunction presenting in early pregnancy may represent a pre-existing undiagnosed liver condition affecting fetal development. Here, we investigated whether maternal abnormal liver function in early pregnancy contributed to the incidence of SPL.</p><p><strong>Methods: </strong>Data on pregnant women were leveraged from the Maternal Health Care Information System in Shanghai City from 2017 to 2021. Liver dysfunction status was defined as having any elevated liver function biomarker levels (LFBs) at the first antenatal visit. SPL cases were defined as fetal death occurring before 28 weeks gestation. Generalized linear models were used to estimate crude and adjusted risk ratios (RRs and aRRs, respectively) and 95% confidence intervals (CIs).</p><p><strong>Results: </strong>Among 10,175 leveraged pregnant women, 918 (9.0%) SPL cases were recorded. Maternal liver dysfunction in early pregnancy was associated with a 49% increased risk of SPL (RR 1.49; 95% CI, 1.22-1.84). This positive association persisted after adjustment for covariates (aRR 1.55; 95% CI, 1.26-1.92). Higher γ-glutamyl transferase (GGT) and alkaline phosphatase (ALP) levels were also linked with increased risk of SPL in a linear fashion (aRRs per 1 standard deviation increase: 1.13; 95% CI, 1.08-1.17 and 1.13; 95% CI, 1.07-1.20, respectively). Similar magnitudes of associations were observed between normal weight and overweight pregnant women in subgroup analysis.</p><p><strong>Conclusion: </strong>We provide new evidence that maternal abnormal liver function in early pregnancy, as well as GGT and ALP, predisposes to an increased risk of SPL.</p>\",\"PeriodicalId\":15799,\"journal\":{\"name\":\"Journal of Epidemiology\",\"volume\":\" \",\"pages\":\"230-236\"},\"PeriodicalIF\":3.0000,\"publicationDate\":\"2025-05-05\",\"publicationTypes\":\"Journal Article\",\"fieldsOfStudy\":null,\"isOpenAccess\":false,\"openAccessPdf\":\"https://www.ncbi.nlm.nih.gov/pmc/articles/PMC11979345/pdf/\",\"citationCount\":\"0\",\"resultStr\":null,\"platform\":\"Semanticscholar\",\"paperid\":null,\"PeriodicalName\":\"Journal of Epidemiology\",\"FirstCategoryId\":\"3\",\"ListUrlMain\":\"https://doi.org/10.2188/jea.JE20240233\",\"RegionNum\":2,\"RegionCategory\":\"医学\",\"ArticlePicture\":[],\"TitleCN\":null,\"AbstractTextCN\":null,\"PMCID\":null,\"EPubDate\":\"2025/3/31 0:00:00\",\"PubModel\":\"Epub\",\"JCR\":\"Q1\",\"JCRName\":\"PUBLIC, ENVIRONMENTAL & OCCUPATIONAL HEALTH\",\"Score\":null,\"Total\":0}","platform":"Semanticscholar","paperid":null,"PeriodicalName":"Journal of Epidemiology","FirstCategoryId":"3","ListUrlMain":"https://doi.org/10.2188/jea.JE20240233","RegionNum":2,"RegionCategory":"医学","ArticlePicture":[],"TitleCN":null,"AbstractTextCN":null,"PMCID":null,"EPubDate":"2025/3/31 0:00:00","PubModel":"Epub","JCR":"Q1","JCRName":"PUBLIC, ENVIRONMENTAL & OCCUPATIONAL HEALTH","Score":null,"Total":0}
引用次数: 0

摘要

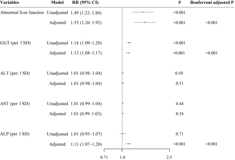
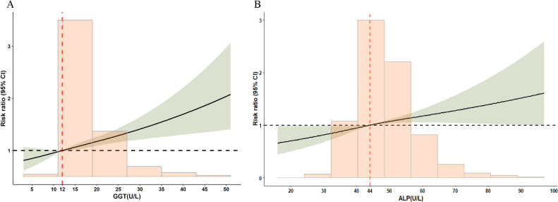
背景:自发性妊娠流产(SPL)会增加生育能力下降的风险,但其病因机制在很大程度上仍不清楚。孕早期出现的肝功能异常可能代表着孕前未确诊的影响胎儿发育的肝脏疾病。在此,我们研究了孕早期母体肝功能异常是否会导致 SPL 的发生:孕妇数据来自上海市孕产妇保健信息系统,时间为2017年至2021年。肝功能异常状态定义为首次产前检查时肝功能生物标志物水平(LFBs)升高。SPL病例定义为妊娠28周前发生的胎儿死亡。采用广义线性模型估算粗略风险比(aRR)和调整风险比(aRR)以及95%置信区间(CI):在10175名杠杆孕妇中,记录了918例(9.0%)SPL病例。孕早期母体肝功能异常与 SPL 风险增加 49% 相关(RR 1.49,95% CI 1.22-1.84)。调整协变量后,这种正相关关系仍然存在(aRR 1.55,95% CI 1.26-1.92)。γ-谷氨酰转移酶(GGT)和碱性磷酸酶(ALP)水平较高也与 SPL 风险增加呈线性关系(每增加 1 个标准差的 aRR:1.13,95% CI:1.22-1.84):分别为 1.13,95% CI 1.08-1.17;1.13,1.07-1.20)。在亚组分析中,正常体重和超重孕妇之间的关联程度相似:我们提供的新证据表明,孕早期母体肝功能异常以及 GGT 和 ALP 易导致 SPL 风险增加。
本文章由计算机程序翻译,如有差异,请以英文原文为准。

Maternal Abnormal Liver Function in Early Pregnancy and Spontaneous Pregnancy Loss: A Retrospective Cohort Study.

Maternal Abnormal Liver Function in Early Pregnancy and Spontaneous Pregnancy Loss: A Retrospective Cohort Study.

Maternal Abnormal Liver Function in Early Pregnancy and Spontaneous Pregnancy Loss: A Retrospective Cohort Study.

Maternal Abnormal Liver Function in Early Pregnancy and Spontaneous Pregnancy Loss: A Retrospective Cohort Study.

Background: Spontaneous pregnancy loss (SPL) precedes an increased risk of reduced fertility, while its etiology mechanism remains largely unknown. Liver dysfunction presenting in early pregnancy may represent a pre-existing undiagnosed liver condition affecting fetal development. Here, we investigated whether maternal abnormal liver function in early pregnancy contributed to the incidence of SPL.

Methods: Data on pregnant women were leveraged from the Maternal Health Care Information System in Shanghai City from 2017 to 2021. Liver dysfunction status was defined as having any elevated liver function biomarker levels (LFBs) at the first antenatal visit. SPL cases were defined as fetal death occurring before 28 weeks gestation. Generalized linear models were used to estimate crude and adjusted risk ratios (RRs and aRRs, respectively) and 95% confidence intervals (CIs).

Results: Among 10,175 leveraged pregnant women, 918 (9.0%) SPL cases were recorded. Maternal liver dysfunction in early pregnancy was associated with a 49% increased risk of SPL (RR 1.49; 95% CI, 1.22-1.84). This positive association persisted after adjustment for covariates (aRR 1.55; 95% CI, 1.26-1.92). Higher γ-glutamyl transferase (GGT) and alkaline phosphatase (ALP) levels were also linked with increased risk of SPL in a linear fashion (aRRs per 1 standard deviation increase: 1.13; 95% CI, 1.08-1.17 and 1.13; 95% CI, 1.07-1.20, respectively). Similar magnitudes of associations were observed between normal weight and overweight pregnant women in subgroup analysis.

Conclusion: We provide new evidence that maternal abnormal liver function in early pregnancy, as well as GGT and ALP, predisposes to an increased risk of SPL.

求助全文
通过发布文献求助,成功后即可免费获取论文全文。 去求助
来源期刊
Journal of Epidemiology
Journal of Epidemiology 医学-公共卫生、环境卫生与职业卫生
CiteScore
7.50
自引率
4.30%
发文量
172
审稿时长
6-12 weeks
期刊介绍: The Journal of Epidemiology is the official open access scientific journal of the Japan Epidemiological Association. The Journal publishes a broad range of original research on epidemiology as it relates to human health, and aims to promote communication among those engaged in the field of epidemiological research and those who use epidemiological findings.
×
引用
GB/T 7714-2015
复制
MLA
复制
APA
复制
导出至
BibTeX EndNote RefMan NoteFirst NoteExpress
×
提示
您的信息不完整,为了账户安全,请先补充。
现在去补充
×
提示
您因"违规操作"
具体请查看互助需知
我知道了
×
提示
确定
请完成安全验证×
copy
已复制链接
快去分享给好友吧!
我知道了
右上角分享
点击右上角分享
0
联系我们:info@booksci.cn Book学术提供免费学术资源搜索服务,方便国内外学者检索中英文文献。致力于提供最便捷和优质的服务体验。 Copyright © 2023 布克学术 All rights reserved.
京ICP备2023020795号-1
ghs 京公网安备 11010802042870号
Book学术文献互助
Book学术文献互助群
群 号:604180095
Book学术官方微信