正常血压和高血压男性在急性阻力训练中对血压下降反应的个体间反应

Q1 Health Professions
International journal of exercise science Pub Date : 2024-11-01 eCollection Date: 2024-01-01 DOI:10.70252/PSUN4213
Elizabeth Carpio-Rivera, José Moncada-Jiménez, Alejandro Salicetti-Fonseca, Andrea Solera-Herrera
{"title":"正常血压和高血压男性在急性阻力训练中对血压下降反应的个体间反应","authors":"Elizabeth Carpio-Rivera, José Moncada-Jiménez, Alejandro Salicetti-Fonseca, Andrea Solera-Herrera","doi":"10.70252/PSUN4213","DOIUrl":null,"url":null,"abstract":"<p><p>The blood pressure dipping response to acute resistance training exercise (RTE) is scarce in the literature. We determined the inter-individual blood pressure (BP) dipping variability of normotensive (NT) and hypertensive (HT) men completing two modalities of a single session of RTE. Volunteers (NT <i>n</i> = 21, HT <i>n</i> = 20) underwent a non-exercise control (CTRL), RTE high-sets low-repetitions (HSLR), and RTE high-repetitions low-sets (HRLS) conditions. Twenty-four-hour ambulatory BP monitoring recorded diurnal and nocturnal systolic (SBP) and diastolic (DBP) BP. Non-significant interactions were found between the category of individuals and the experimental conditions on the SBP (<i>p</i> = 0.511, η<sup>2</sup> <sub>p</sub> = 0.02) and DBP (<i>p</i> = 0.807, η<sup>2</sup> <sub>p</sub> = 0.01) differences. Diurnal SBP (<i>p</i> = 0.0001) and DBP (<i>p</i> ≤ 0.0001) were lower in the NT than in the HT groups. Nocturnal SBP (<i>p</i> ≤ 0.0001) and DBP (<i>p</i> = 0.014) were lower in the NT than in the HT groups. The percentage of dipping responders for SBP in the CTRL condition were 71.4% for NT and 70.0% for HT, in the HRLS condition were 66.7% for NT and 60.0% for HT, and in the HSLR condition were 57.1% for NT and 60.0% for HT. The dipping responders for DBP in the CTRL condition were 57.1% for NT and 60.0% for HT, in the HRLS condition were 61.9% for NT and 70.0% for HT, and in the HSLR condition were 71.4% for NT and 65.0% for HT (<i>p</i> > 0.05 for all). In conclusion, the dipping response was similar between NT and HT individuals. The proportion of responders was similar between NT and HT individuals completing acute RTE.</p>","PeriodicalId":14171,"journal":{"name":"International journal of exercise science","volume":"17 3","pages":"1361-1376"},"PeriodicalIF":0.0000,"publicationDate":"2024-11-01","publicationTypes":"Journal Article","fieldsOfStudy":null,"isOpenAccess":false,"openAccessPdf":"https://www.ncbi.nlm.nih.gov/pmc/articles/PMC11581384/pdf/","citationCount":"0","resultStr":"{\"title\":\"Inter-Individual Responses to Acute Resistance Training in the Blood Pressure Dipping Response in Normotensive and Hypertensive Men.\",\"authors\":\"Elizabeth Carpio-Rivera, José Moncada-Jiménez, Alejandro Salicetti-Fonseca, Andrea Solera-Herrera\",\"doi\":\"10.70252/PSUN4213\",\"DOIUrl\":null,\"url\":null,\"abstract\":\"<p><p>The blood pressure dipping response to acute resistance training exercise (RTE) is scarce in the literature. We determined the inter-individual blood pressure (BP) dipping variability of normotensive (NT) and hypertensive (HT) men completing two modalities of a single session of RTE. Volunteers (NT <i>n</i> = 21, HT <i>n</i> = 20) underwent a non-exercise control (CTRL), RTE high-sets low-repetitions (HSLR), and RTE high-repetitions low-sets (HRLS) conditions. Twenty-four-hour ambulatory BP monitoring recorded diurnal and nocturnal systolic (SBP) and diastolic (DBP) BP. Non-significant interactions were found between the category of individuals and the experimental conditions on the SBP (<i>p</i> = 0.511, η<sup>2</sup> <sub>p</sub> = 0.02) and DBP (<i>p</i> = 0.807, η<sup>2</sup> <sub>p</sub> = 0.01) differences. Diurnal SBP (<i>p</i> = 0.0001) and DBP (<i>p</i> ≤ 0.0001) were lower in the NT than in the HT groups. Nocturnal SBP (<i>p</i> ≤ 0.0001) and DBP (<i>p</i> = 0.014) were lower in the NT than in the HT groups. The percentage of dipping responders for SBP in the CTRL condition were 71.4% for NT and 70.0% for HT, in the HRLS condition were 66.7% for NT and 60.0% for HT, and in the HSLR condition were 57.1% for NT and 60.0% for HT. The dipping responders for DBP in the CTRL condition were 57.1% for NT and 60.0% for HT, in the HRLS condition were 61.9% for NT and 70.0% for HT, and in the HSLR condition were 71.4% for NT and 65.0% for HT (<i>p</i> > 0.05 for all). In conclusion, the dipping response was similar between NT and HT individuals. The proportion of responders was similar between NT and HT individuals completing acute RTE.</p>\",\"PeriodicalId\":14171,\"journal\":{\"name\":\"International journal of exercise science\",\"volume\":\"17 3\",\"pages\":\"1361-1376\"},\"PeriodicalIF\":0.0000,\"publicationDate\":\"2024-11-01\",\"publicationTypes\":\"Journal Article\",\"fieldsOfStudy\":null,\"isOpenAccess\":false,\"openAccessPdf\":\"https://www.ncbi.nlm.nih.gov/pmc/articles/PMC11581384/pdf/\",\"citationCount\":\"0\",\"resultStr\":null,\"platform\":\"Semanticscholar\",\"paperid\":null,\"PeriodicalName\":\"International journal of exercise science\",\"FirstCategoryId\":\"1085\",\"ListUrlMain\":\"https://doi.org/10.70252/PSUN4213\",\"RegionNum\":0,\"RegionCategory\":null,\"ArticlePicture\":[],\"TitleCN\":null,\"AbstractTextCN\":null,\"PMCID\":null,\"EPubDate\":\"2024/1/1 0:00:00\",\"PubModel\":\"eCollection\",\"JCR\":\"Q1\",\"JCRName\":\"Health Professions\",\"Score\":null,\"Total\":0}","platform":"Semanticscholar","paperid":null,"PeriodicalName":"International journal of exercise science","FirstCategoryId":"1085","ListUrlMain":"https://doi.org/10.70252/PSUN4213","RegionNum":0,"RegionCategory":null,"ArticlePicture":[],"TitleCN":null,"AbstractTextCN":null,"PMCID":null,"EPubDate":"2024/1/1 0:00:00","PubModel":"eCollection","JCR":"Q1","JCRName":"Health Professions","Score":null,"Total":0}
引用次数: 0

摘要

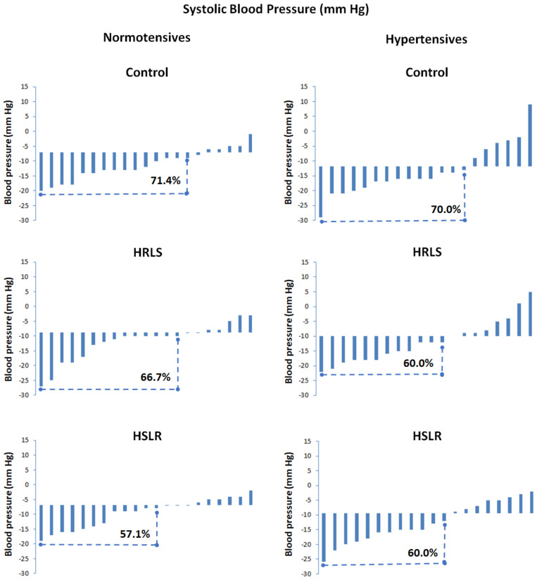
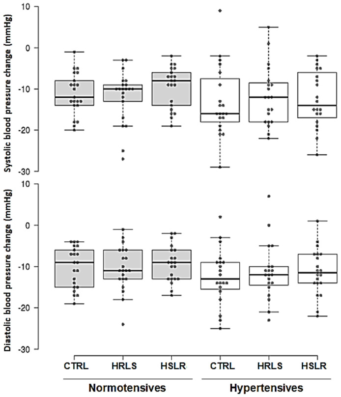
有关急性阻力训练(RTE)的血压下降反应的文献很少。我们测定了正常血压(NT)和高血压(HT)男性在完成两种模式的单次阻力训练后的个体间血压(BP)下降变异性。志愿者(NT n = 21,HT n = 20)分别接受了非运动控制(CTRL)、RTE 高组低重复(HSLR)和 RTE 高组低重复(HRLS)条件。24 小时动态血压监测记录了昼夜收缩压(SBP)和舒张压(DBP)。结果发现,个体类别与实验条件之间在 SBP(p = 0.511,η2 p = 0.02)和 DBP(p = 0.807,η2 p = 0.01)差异上的交互作用不显著。NT 组的昼夜 SBP(p = 0.0001)和 DBP(p ≤ 0.0001)均低于 HT 组。NT 组的夜间 SBP(p ≤ 0.0001)和 DBP(p = 0.014)均低于 HT 组。在 CTRL 条件下,SBP 下降反应者的百分比 NT 组为 71.4%,HT 组为 70.0%;在 HRLS 条件下,SBP 下降反应者的百分比 NT 组为 66.7%,HT 组为 60.0%;在 HSLR 条件下,SBP 下降反应者的百分比 NT 组为 57.1%,HT 组为 60.0%。在 CTRL 条件下,DBP 的浸润反应者 NT 为 57.1%,HT 为 60.0%;在 HRLS 条件下,NT 为 61.9%,HT 为 70.0%;在 HSLR 条件下,NT 为 71.4%,HT 为 65.0%(P 均大于 0.05)。总之,NT 和 HT 的浸渍反应相似。完成急性 RTE 的 NT 和 HT 反应者比例相似。
本文章由计算机程序翻译,如有差异,请以英文原文为准。

Inter-Individual Responses to Acute Resistance Training in the Blood Pressure Dipping Response in Normotensive and Hypertensive Men.

Inter-Individual Responses to Acute Resistance Training in the Blood Pressure Dipping Response in Normotensive and Hypertensive Men.

Inter-Individual Responses to Acute Resistance Training in the Blood Pressure Dipping Response in Normotensive and Hypertensive Men.

Inter-Individual Responses to Acute Resistance Training in the Blood Pressure Dipping Response in Normotensive and Hypertensive Men.

The blood pressure dipping response to acute resistance training exercise (RTE) is scarce in the literature. We determined the inter-individual blood pressure (BP) dipping variability of normotensive (NT) and hypertensive (HT) men completing two modalities of a single session of RTE. Volunteers (NT n = 21, HT n = 20) underwent a non-exercise control (CTRL), RTE high-sets low-repetitions (HSLR), and RTE high-repetitions low-sets (HRLS) conditions. Twenty-four-hour ambulatory BP monitoring recorded diurnal and nocturnal systolic (SBP) and diastolic (DBP) BP. Non-significant interactions were found between the category of individuals and the experimental conditions on the SBP (p = 0.511, η2 p = 0.02) and DBP (p = 0.807, η2 p = 0.01) differences. Diurnal SBP (p = 0.0001) and DBP (p ≤ 0.0001) were lower in the NT than in the HT groups. Nocturnal SBP (p ≤ 0.0001) and DBP (p = 0.014) were lower in the NT than in the HT groups. The percentage of dipping responders for SBP in the CTRL condition were 71.4% for NT and 70.0% for HT, in the HRLS condition were 66.7% for NT and 60.0% for HT, and in the HSLR condition were 57.1% for NT and 60.0% for HT. The dipping responders for DBP in the CTRL condition were 57.1% for NT and 60.0% for HT, in the HRLS condition were 61.9% for NT and 70.0% for HT, and in the HSLR condition were 71.4% for NT and 65.0% for HT (p > 0.05 for all). In conclusion, the dipping response was similar between NT and HT individuals. The proportion of responders was similar between NT and HT individuals completing acute RTE.

求助全文
通过发布文献求助,成功后即可免费获取论文全文。 去求助
来源期刊
International journal of exercise science
International journal of exercise science Health Professions-Occupational Therapy
CiteScore
2.20
自引率
0.00%
发文量
47
审稿时长
26 weeks
×
引用
GB/T 7714-2015
复制
MLA
复制
APA
复制
导出至
BibTeX EndNote RefMan NoteFirst NoteExpress
×
提示
您的信息不完整,为了账户安全,请先补充。
现在去补充
×
提示
您因"违规操作"
具体请查看互助需知
我知道了
×
提示
确定
请完成安全验证×
copy
已复制链接
快去分享给好友吧!
我知道了
右上角分享
点击右上角分享
0
联系我们:info@booksci.cn Book学术提供免费学术资源搜索服务,方便国内外学者检索中英文文献。致力于提供最便捷和优质的服务体验。 Copyright © 2023 布克学术 All rights reserved.
京ICP备2023020795号-1
ghs 京公网安备 11010802042870号
Book学术文献互助
Book学术文献互助群
群 号:604180095
Book学术官方微信