市售速度测量仪在进行特定运动时的有效性、可靠性和灵敏度。

Q1 Health Professions
International journal of exercise science Pub Date : 2024-11-01 eCollection Date: 2024-01-01 DOI:10.70252/NVPI2815
Daniel J Lawson, Alex A Olmos, Cody A Stahl, Marcel Lopes Dos Santos, Jacob R Goodin, J Jay Dawes
{"title":"市售速度测量仪在进行特定运动时的有效性、可靠性和灵敏度。","authors":"Daniel J Lawson, Alex A Olmos, Cody A Stahl, Marcel Lopes Dos Santos, Jacob R Goodin, J Jay Dawes","doi":"10.70252/NVPI2815","DOIUrl":null,"url":null,"abstract":"<p><p>The aim of this study was to determine the validity, reliability, and sensitivity of a new linear position transducer (LPT) device (RepOne) to a previously validated LPT (Tendo) during the barbell back squat and bench press exercises. Fourteen recreationally resistancetrained individuals (7 males and 7 females) performed three repetitions for the back squat and bench press at loads ranging from 30-90% 1RM. Both devices recorded average (ACV) and peak (PCV) concentric velocities concurrently for every repetition at each load. Significant correlations were observed between RepOne and Tendo during the back squat (PCV: <i>r</i> = 0.90-0.99, <i>p</i> < 0.01; ACV: <i>r</i> = 0.84-0.99, <i>p</i> < 0.01), bench press (PCV: <i>r</i> = 0.74-0.99, <i>p</i> < 0.01; ACV <i>r</i> = 0.81-0.99, <i>p</i> < 0.01). ICCs reveal good to excellent reliability between devices for back squat (PCV, 0.85-0.99; ACV, 0.83-0.99) and bench press (PCV, 0.79-0.99; ACV, 0.83-0.99). Bland-Altman plots revealed greater bias during PCV for both exercises across intensities (back squat, 0.072 to 0.110 m/s; bench press, 0.039 to 0.107 m/s), although ACV bias was lower for both exercises (back squat, -0.002 to -0.029 m/s; bench press, -0.022 to 0.015 m/s). The RepOne device generally exhibited higher smallest detectable change (SDC) values compared to the Tendo, except for specific loads in certain conditions. Additionally, the RepOne device demonstrated higher smallest worthwhile change (SWC) values than the Tendo unit for most loads in back squat ACV. Collectively, the RepOne exhibits strong validity and reliability comparable to the Tendo across both barbell back squat and bench press exercises, despite some variations in sensitivity metrics like SDC and SWC, indicating its efficacy for resistance training application.</p>","PeriodicalId":14171,"journal":{"name":"International journal of exercise science","volume":"17 4","pages":"1250-1279"},"PeriodicalIF":0.0000,"publicationDate":"2024-11-01","publicationTypes":"Journal Article","fieldsOfStudy":null,"isOpenAccess":false,"openAccessPdf":"https://www.ncbi.nlm.nih.gov/pmc/articles/PMC11581383/pdf/","citationCount":"0","resultStr":"{\"title\":\"Validity, Reliability, and Sensitivity of a Commercially Available Velocity Measuring Device When Performing Selected Exercises.\",\"authors\":\"Daniel J Lawson, Alex A Olmos, Cody A Stahl, Marcel Lopes Dos Santos, Jacob R Goodin, J Jay Dawes\",\"doi\":\"10.70252/NVPI2815\",\"DOIUrl\":null,\"url\":null,\"abstract\":\"<p><p>The aim of this study was to determine the validity, reliability, and sensitivity of a new linear position transducer (LPT) device (RepOne) to a previously validated LPT (Tendo) during the barbell back squat and bench press exercises. Fourteen recreationally resistancetrained individuals (7 males and 7 females) performed three repetitions for the back squat and bench press at loads ranging from 30-90% 1RM. Both devices recorded average (ACV) and peak (PCV) concentric velocities concurrently for every repetition at each load. Significant correlations were observed between RepOne and Tendo during the back squat (PCV: <i>r</i> = 0.90-0.99, <i>p</i> < 0.01; ACV: <i>r</i> = 0.84-0.99, <i>p</i> < 0.01), bench press (PCV: <i>r</i> = 0.74-0.99, <i>p</i> < 0.01; ACV <i>r</i> = 0.81-0.99, <i>p</i> < 0.01). ICCs reveal good to excellent reliability between devices for back squat (PCV, 0.85-0.99; ACV, 0.83-0.99) and bench press (PCV, 0.79-0.99; ACV, 0.83-0.99). Bland-Altman plots revealed greater bias during PCV for both exercises across intensities (back squat, 0.072 to 0.110 m/s; bench press, 0.039 to 0.107 m/s), although ACV bias was lower for both exercises (back squat, -0.002 to -0.029 m/s; bench press, -0.022 to 0.015 m/s). The RepOne device generally exhibited higher smallest detectable change (SDC) values compared to the Tendo, except for specific loads in certain conditions. Additionally, the RepOne device demonstrated higher smallest worthwhile change (SWC) values than the Tendo unit for most loads in back squat ACV. Collectively, the RepOne exhibits strong validity and reliability comparable to the Tendo across both barbell back squat and bench press exercises, despite some variations in sensitivity metrics like SDC and SWC, indicating its efficacy for resistance training application.</p>\",\"PeriodicalId\":14171,\"journal\":{\"name\":\"International journal of exercise science\",\"volume\":\"17 4\",\"pages\":\"1250-1279\"},\"PeriodicalIF\":0.0000,\"publicationDate\":\"2024-11-01\",\"publicationTypes\":\"Journal Article\",\"fieldsOfStudy\":null,\"isOpenAccess\":false,\"openAccessPdf\":\"https://www.ncbi.nlm.nih.gov/pmc/articles/PMC11581383/pdf/\",\"citationCount\":\"0\",\"resultStr\":null,\"platform\":\"Semanticscholar\",\"paperid\":null,\"PeriodicalName\":\"International journal of exercise science\",\"FirstCategoryId\":\"1085\",\"ListUrlMain\":\"https://doi.org/10.70252/NVPI2815\",\"RegionNum\":0,\"RegionCategory\":null,\"ArticlePicture\":[],\"TitleCN\":null,\"AbstractTextCN\":null,\"PMCID\":null,\"EPubDate\":\"2024/1/1 0:00:00\",\"PubModel\":\"eCollection\",\"JCR\":\"Q1\",\"JCRName\":\"Health Professions\",\"Score\":null,\"Total\":0}","platform":"Semanticscholar","paperid":null,"PeriodicalName":"International journal of exercise science","FirstCategoryId":"1085","ListUrlMain":"https://doi.org/10.70252/NVPI2815","RegionNum":0,"RegionCategory":null,"ArticlePicture":[],"TitleCN":null,"AbstractTextCN":null,"PMCID":null,"EPubDate":"2024/1/1 0:00:00","PubModel":"eCollection","JCR":"Q1","JCRName":"Health Professions","Score":null,"Total":0}
引用次数: 0

摘要

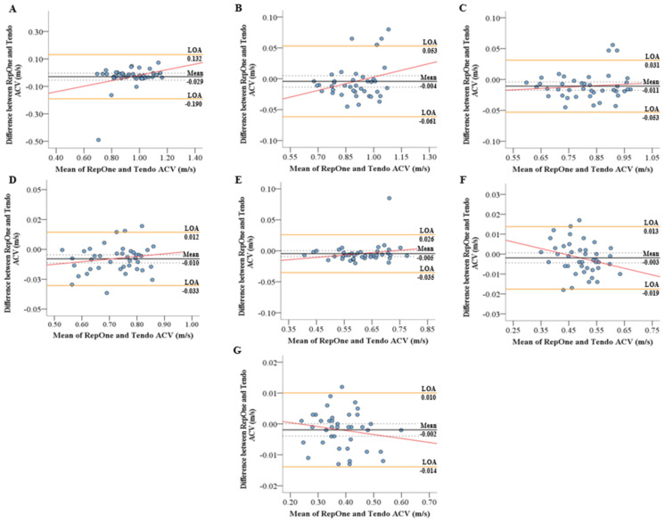
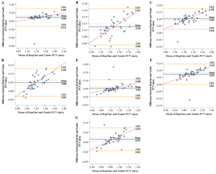
本研究旨在确定在杠铃深蹲和卧推练习中,新型线性位置传感器(LPT)设备(RepOne)与之前经过验证的 LPT(Tendo)的有效性、可靠性和灵敏度。14 名休闲抗阻力训练者(7 名男性和 7 名女性)以 30-90% 的 1RM 负荷进行了三次深蹲和卧推练习。两个设备同时记录了在每个负荷下每次重复的平均(ACV)和峰值(PCV)同心速度。在仰蹲(PCV:r = 0.90-0.99,p < 0.01;ACV:r = 0.84-0.99,p < 0.01)和卧推(PCV:r = 0.74-0.99,p < 0.01;ACV r = 0.81-0.99,p < 0.01)时,RepOne 和 Tendo 之间存在显著相关性。ICCs 显示,深蹲(PCV,0.85-0.99;ACV,0.83-0.99)和卧推(PCV,0.79-0.99;ACV,0.83-0.99)设备之间的可靠性良好至极佳。Bland-Altman图显示,在不同强度下,两种练习的PCV偏差都较大(深蹲,0.072至0.110米/秒;卧推,0.039至0.107米/秒),但两种练习的ACV偏差都较小(深蹲,-0.002至-0.029米/秒;卧推,-0.022至0.015米/秒)。与 Tendo 相比,RepOne 设备通常显示出更高的最小可检测变化(SDC)值,但某些条件下的特定负荷除外。此外,RepOne 设备在后蹲交流伏地挺身的大多数负荷中显示出比 Tendo 设备更高的最小值得变化 (SWC) 值。总之,尽管在 SDC 和 SWC 等灵敏度指标上存在一些差异,但 RepOne 在杠铃深蹲和卧推练习中表现出了与 Tendo 相当的高度有效性和可靠性,这表明它在阻力训练应用中的有效性。
本文章由计算机程序翻译,如有差异,请以英文原文为准。

Validity, Reliability, and Sensitivity of a Commercially Available Velocity Measuring Device When Performing Selected Exercises.

Validity, Reliability, and Sensitivity of a Commercially Available Velocity Measuring Device When Performing Selected Exercises.

Validity, Reliability, and Sensitivity of a Commercially Available Velocity Measuring Device When Performing Selected Exercises.

Validity, Reliability, and Sensitivity of a Commercially Available Velocity Measuring Device When Performing Selected Exercises.

The aim of this study was to determine the validity, reliability, and sensitivity of a new linear position transducer (LPT) device (RepOne) to a previously validated LPT (Tendo) during the barbell back squat and bench press exercises. Fourteen recreationally resistancetrained individuals (7 males and 7 females) performed three repetitions for the back squat and bench press at loads ranging from 30-90% 1RM. Both devices recorded average (ACV) and peak (PCV) concentric velocities concurrently for every repetition at each load. Significant correlations were observed between RepOne and Tendo during the back squat (PCV: r = 0.90-0.99, p < 0.01; ACV: r = 0.84-0.99, p < 0.01), bench press (PCV: r = 0.74-0.99, p < 0.01; ACV r = 0.81-0.99, p < 0.01). ICCs reveal good to excellent reliability between devices for back squat (PCV, 0.85-0.99; ACV, 0.83-0.99) and bench press (PCV, 0.79-0.99; ACV, 0.83-0.99). Bland-Altman plots revealed greater bias during PCV for both exercises across intensities (back squat, 0.072 to 0.110 m/s; bench press, 0.039 to 0.107 m/s), although ACV bias was lower for both exercises (back squat, -0.002 to -0.029 m/s; bench press, -0.022 to 0.015 m/s). The RepOne device generally exhibited higher smallest detectable change (SDC) values compared to the Tendo, except for specific loads in certain conditions. Additionally, the RepOne device demonstrated higher smallest worthwhile change (SWC) values than the Tendo unit for most loads in back squat ACV. Collectively, the RepOne exhibits strong validity and reliability comparable to the Tendo across both barbell back squat and bench press exercises, despite some variations in sensitivity metrics like SDC and SWC, indicating its efficacy for resistance training application.

求助全文
通过发布文献求助,成功后即可免费获取论文全文。 去求助
来源期刊
International journal of exercise science
International journal of exercise science Health Professions-Occupational Therapy
CiteScore
2.20
自引率
0.00%
发文量
47
审稿时长
26 weeks
×
引用
GB/T 7714-2015
复制
MLA
复制
APA
复制
导出至
BibTeX EndNote RefMan NoteFirst NoteExpress
×
提示
您的信息不完整,为了账户安全,请先补充。
现在去补充
×
提示
您因"违规操作"
具体请查看互助需知
我知道了
×
提示
确定
请完成安全验证×
copy
已复制链接
快去分享给好友吧!
我知道了
右上角分享
点击右上角分享
0
联系我们:info@booksci.cn Book学术提供免费学术资源搜索服务,方便国内外学者检索中英文文献。致力于提供最便捷和优质的服务体验。 Copyright © 2023 布克学术 All rights reserved.
京ICP备2023020795号-1
ghs 京公网安备 11010802042870号
Book学术文献互助
Book学术文献互助群
群 号:604180095
Book学术官方微信