腹腔镜结肠切除术中炎症标记物与术后恢复(ERAS)失败之间的相关性。

IF 1.6 4区 医学 Q2 SURGERY
Surgery Today Pub Date : 2025-10-01 Epub Date: 2024-11-20 DOI:10.1007/s00595-024-02958-z
Ji Hyeong Song, Yoonsoo Shin, Kyung Ha Lee, Ji Yeon Kim, Jin Soo Kim
{"title":"腹腔镜结肠切除术中炎症标记物与术后恢复(ERAS)失败之间的相关性。","authors":"Ji Hyeong Song, Yoonsoo Shin, Kyung Ha Lee, Ji Yeon Kim, Jin Soo Kim","doi":"10.1007/s00595-024-02958-z","DOIUrl":null,"url":null,"abstract":"<p><strong>Purpose: </strong>To evaluate inflammatory markers to identify patients at risk of enhanced recovery after surgery (ERAS) failure following laparoscopic colectomy.</p><p><strong>Methods: </strong>We included patients who underwent laparoscopic colectomy between September 2020 and February 2023. ERAS failure was defined as intolerance of a soft diet on postoperative day (POD) 2, postoperative stay > 7 days, or readmission within 30 days postoperatively. Inflammatory markers were analyzed immediately postoperatively and on POD 1 and 3. All patients were subjected to the ERAS protocol and divided into success and failure groups.</p><p><strong>Results: </strong>Data from 402 patients (success, 330; failure, 72) were analyzed. The neutrophil-to-lymphocyte ratio (p < 0.001), platelet-to-lymphocyte ratio (p = 0.004), monocyte-to-lymphocyte ratio (p = 0.041), and C-reactive protein-to-albumin ratio (CAR; p < 0.001) were elevated in the failure group on POD 3. The immediate postoperative CAR was higher in the failure group (p = 0.045). ERAS failure occurred more frequently in patients with body mass index < 20 (p < 0.001), right colon tumors (p = 0.012), and longer operative time (p < 0.001).</p><p><strong>Conclusions: </strong>This study demonstrated that inflammatory markers are associated with ERAS failure. Among the inflammatory markers, CAR might be the most potent indicator of ERAS failure following laparoscopic colectomy.</p>","PeriodicalId":22163,"journal":{"name":"Surgery Today","volume":" ","pages":"1353-1360"},"PeriodicalIF":1.6000,"publicationDate":"2025-10-01","publicationTypes":"Journal Article","fieldsOfStudy":null,"isOpenAccess":false,"openAccessPdf":"https://www.ncbi.nlm.nih.gov/pmc/articles/PMC12446132/pdf/","citationCount":"0","resultStr":"{\"title\":\"Correlation between inflammatory markers and enhanced recovery after surgery (ERAS) failure in laparoscopic colectomy.\",\"authors\":\"Ji Hyeong Song, Yoonsoo Shin, Kyung Ha Lee, Ji Yeon Kim, Jin Soo Kim\",\"doi\":\"10.1007/s00595-024-02958-z\",\"DOIUrl\":null,\"url\":null,\"abstract\":\"<p><strong>Purpose: </strong>To evaluate inflammatory markers to identify patients at risk of enhanced recovery after surgery (ERAS) failure following laparoscopic colectomy.</p><p><strong>Methods: </strong>We included patients who underwent laparoscopic colectomy between September 2020 and February 2023. ERAS failure was defined as intolerance of a soft diet on postoperative day (POD) 2, postoperative stay > 7 days, or readmission within 30 days postoperatively. Inflammatory markers were analyzed immediately postoperatively and on POD 1 and 3. All patients were subjected to the ERAS protocol and divided into success and failure groups.</p><p><strong>Results: </strong>Data from 402 patients (success, 330; failure, 72) were analyzed. The neutrophil-to-lymphocyte ratio (p < 0.001), platelet-to-lymphocyte ratio (p = 0.004), monocyte-to-lymphocyte ratio (p = 0.041), and C-reactive protein-to-albumin ratio (CAR; p < 0.001) were elevated in the failure group on POD 3. The immediate postoperative CAR was higher in the failure group (p = 0.045). ERAS failure occurred more frequently in patients with body mass index < 20 (p < 0.001), right colon tumors (p = 0.012), and longer operative time (p < 0.001).</p><p><strong>Conclusions: </strong>This study demonstrated that inflammatory markers are associated with ERAS failure. Among the inflammatory markers, CAR might be the most potent indicator of ERAS failure following laparoscopic colectomy.</p>\",\"PeriodicalId\":22163,\"journal\":{\"name\":\"Surgery Today\",\"volume\":\" \",\"pages\":\"1353-1360\"},\"PeriodicalIF\":1.6000,\"publicationDate\":\"2025-10-01\",\"publicationTypes\":\"Journal Article\",\"fieldsOfStudy\":null,\"isOpenAccess\":false,\"openAccessPdf\":\"https://www.ncbi.nlm.nih.gov/pmc/articles/PMC12446132/pdf/\",\"citationCount\":\"0\",\"resultStr\":null,\"platform\":\"Semanticscholar\",\"paperid\":null,\"PeriodicalName\":\"Surgery Today\",\"FirstCategoryId\":\"3\",\"ListUrlMain\":\"https://doi.org/10.1007/s00595-024-02958-z\",\"RegionNum\":4,\"RegionCategory\":\"医学\",\"ArticlePicture\":[],\"TitleCN\":null,\"AbstractTextCN\":null,\"PMCID\":null,\"EPubDate\":\"2024/11/20 0:00:00\",\"PubModel\":\"Epub\",\"JCR\":\"Q2\",\"JCRName\":\"SURGERY\",\"Score\":null,\"Total\":0}","platform":"Semanticscholar","paperid":null,"PeriodicalName":"Surgery Today","FirstCategoryId":"3","ListUrlMain":"https://doi.org/10.1007/s00595-024-02958-z","RegionNum":4,"RegionCategory":"医学","ArticlePicture":[],"TitleCN":null,"AbstractTextCN":null,"PMCID":null,"EPubDate":"2024/11/20 0:00:00","PubModel":"Epub","JCR":"Q2","JCRName":"SURGERY","Score":null,"Total":0}
引用次数: 0

摘要

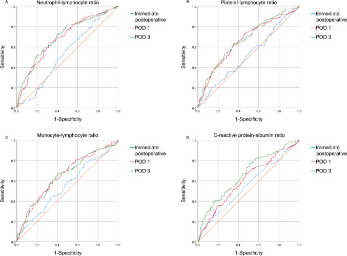
目的:评估炎症标记物,以确定腹腔镜结肠切除术后存在术后康复(ERAS)失败风险的患者:我们纳入了 2020 年 9 月至 2023 年 2 月间接受腹腔镜结肠切除术的患者。ERAS失败的定义是术后第2天(POD)不能耐受软质饮食、术后住院时间超过7天或术后30天内再次入院。对术后即刻以及术后第 1 天和第 3 天的炎症指标进行了分析。所有患者均接受 ERAS 方案治疗,并分为成功组和失败组:结果:分析了 402 名患者的数据(成功组 330 人;失败组 72 人)。中性粒细胞与淋巴细胞的比值(p 结论:ERAS 是一种新的治疗方法:这项研究表明,炎症标志物与 ERAS 失败有关。在炎症标志物中,CAR可能是腹腔镜结肠切除术后ERAS失败的最有效指标。
本文章由计算机程序翻译,如有差异,请以英文原文为准。

Correlation between inflammatory markers and enhanced recovery after surgery (ERAS) failure in laparoscopic colectomy.

Correlation between inflammatory markers and enhanced recovery after surgery (ERAS) failure in laparoscopic colectomy.

Correlation between inflammatory markers and enhanced recovery after surgery (ERAS) failure in laparoscopic colectomy.

Correlation between inflammatory markers and enhanced recovery after surgery (ERAS) failure in laparoscopic colectomy.

Purpose: To evaluate inflammatory markers to identify patients at risk of enhanced recovery after surgery (ERAS) failure following laparoscopic colectomy.

Methods: We included patients who underwent laparoscopic colectomy between September 2020 and February 2023. ERAS failure was defined as intolerance of a soft diet on postoperative day (POD) 2, postoperative stay > 7 days, or readmission within 30 days postoperatively. Inflammatory markers were analyzed immediately postoperatively and on POD 1 and 3. All patients were subjected to the ERAS protocol and divided into success and failure groups.

Results: Data from 402 patients (success, 330; failure, 72) were analyzed. The neutrophil-to-lymphocyte ratio (p < 0.001), platelet-to-lymphocyte ratio (p = 0.004), monocyte-to-lymphocyte ratio (p = 0.041), and C-reactive protein-to-albumin ratio (CAR; p < 0.001) were elevated in the failure group on POD 3. The immediate postoperative CAR was higher in the failure group (p = 0.045). ERAS failure occurred more frequently in patients with body mass index < 20 (p < 0.001), right colon tumors (p = 0.012), and longer operative time (p < 0.001).

Conclusions: This study demonstrated that inflammatory markers are associated with ERAS failure. Among the inflammatory markers, CAR might be the most potent indicator of ERAS failure following laparoscopic colectomy.

求助全文
通过发布文献求助,成功后即可免费获取论文全文。 去求助
来源期刊
Surgery Today
Surgery Today 医学-外科
CiteScore
4.90
自引率
4.00%
发文量
208
审稿时长
1 months
期刊介绍: Surgery Today is the official journal of the Japan Surgical Society. The main purpose of the journal is to provide a place for the publication of high-quality papers documenting recent advances and new developments in all fields of surgery, both clinical and experimental. The journal welcomes original papers, review articles, and short communications, as well as short technical reports("How to do it"). The "How to do it" section will includes short articles on methods or techniques recommended for practical surgery. Papers submitted to the journal are reviewed by an international editorial board. Field of interest: All fields of surgery.
×
引用
GB/T 7714-2015
复制
MLA
复制
APA
复制
导出至
BibTeX EndNote RefMan NoteFirst NoteExpress
×
提示
您的信息不完整,为了账户安全,请先补充。
现在去补充
×
提示
您因"违规操作"
具体请查看互助需知
我知道了
×
提示
确定
请完成安全验证×
copy
已复制链接
快去分享给好友吧!
我知道了
右上角分享
点击右上角分享
0
联系我们:info@booksci.cn Book学术提供免费学术资源搜索服务,方便国内外学者检索中英文文献。致力于提供最便捷和优质的服务体验。 Copyright © 2023 布克学术 All rights reserved.
京ICP备2023020795号-1
ghs 京公网安备 11010802042870号
Book学术文献互助
Book学术文献互助群
群 号:604180095
Book学术官方微信