常见实验室标志物在预测 COVID-19 患者病情严重程度方面的价值。

IF 2.9 3区 医学 Q2 INFECTIOUS DISEASES
Infection and Drug Resistance Pub Date : 2024-11-13 eCollection Date: 2024-01-01 DOI:10.2147/IDR.S478798
Lian Chen, Yu-Huan Jiang, Mei-Yong Li, Bo Huang, Lei Yuan, Jin-Hua Wan, Ting-Yu Qin, Ting-Ting Zeng, Qing-Gen Chen
{"title":"常见实验室标志物在预测 COVID-19 患者病情严重程度方面的价值。","authors":"Lian Chen, Yu-Huan Jiang, Mei-Yong Li, Bo Huang, Lei Yuan, Jin-Hua Wan, Ting-Yu Qin, Ting-Ting Zeng, Qing-Gen Chen","doi":"10.2147/IDR.S478798","DOIUrl":null,"url":null,"abstract":"<p><strong>Purpose: </strong>The aim of the present study was to identify more effective laboratory markers to assess the severity of corona virus disease 2019 and predict the progression of the disease by collecting more laboratory markers and variables.</p><p><strong>Patients and methods: </strong>In this study, most risk factors, including epidemiological characteristics, blood cell counts, cytokines, and infection markers, were collected from 126 patients with COVID-19 to assess their predictive value.</p><p><strong>Results: </strong>The area under curve (AUC) of Albumin (Alb) to fibrinogen (Fib) ratio (AFR) (0.791), Lactate dehydrogenase (LDH) (0.792), myoglobin (MYO) (0.795), C-reactive protein (CRP) (0.801) and lymphocyte count (0.859) were higher than other markers to distinguish severe from non-severe patients in receiver operating characteristic (ROC) analysis. In the univariate logistic regression analysis, thirty-six out of 46 risk factors, including 34 laboratory markers, were significantly associated with increased odds of severe patients. Multivariate logistic regression analysis showed that the CD19+ lymphocyte count, MYO, LDH, and AFR were associated with increased odds of severe disease. Moreover, Lymphocyte count and AFR levels increased, LDH and CRP levels decreased during hospitalization in recovered severe patients, whereas severe lymphocytopenia and continuously increasing LDH levels were observed in deteriorated patients. AFR level increased and CRP level decreased before the disease worsened in the deteriorated patients; however, when the patients deteriorated, AFR decreased and CRP increased significantly.</p><p><strong>Conclusion: </strong>CD19+ lymphocyte count, MYO, LDH, and AFR are independent biomarkers for early identification of severe COVID-19. Lymphocyte count, AFR, LDH, and CRP levels were helpful in predicting the clinical progression of the disease.\\.</p>","PeriodicalId":13577,"journal":{"name":"Infection and Drug Resistance","volume":"17 ","pages":"5037-5047"},"PeriodicalIF":2.9000,"publicationDate":"2024-11-13","publicationTypes":"Journal Article","fieldsOfStudy":null,"isOpenAccess":false,"openAccessPdf":"https://www.ncbi.nlm.nih.gov/pmc/articles/PMC11572049/pdf/","citationCount":"0","resultStr":"{\"title\":\"The Value of Common Laboratory Markers in Predicting the Severity of COVID-19 Patients.\",\"authors\":\"Lian Chen, Yu-Huan Jiang, Mei-Yong Li, Bo Huang, Lei Yuan, Jin-Hua Wan, Ting-Yu Qin, Ting-Ting Zeng, Qing-Gen Chen\",\"doi\":\"10.2147/IDR.S478798\",\"DOIUrl\":null,\"url\":null,\"abstract\":\"<p><strong>Purpose: </strong>The aim of the present study was to identify more effective laboratory markers to assess the severity of corona virus disease 2019 and predict the progression of the disease by collecting more laboratory markers and variables.</p><p><strong>Patients and methods: </strong>In this study, most risk factors, including epidemiological characteristics, blood cell counts, cytokines, and infection markers, were collected from 126 patients with COVID-19 to assess their predictive value.</p><p><strong>Results: </strong>The area under curve (AUC) of Albumin (Alb) to fibrinogen (Fib) ratio (AFR) (0.791), Lactate dehydrogenase (LDH) (0.792), myoglobin (MYO) (0.795), C-reactive protein (CRP) (0.801) and lymphocyte count (0.859) were higher than other markers to distinguish severe from non-severe patients in receiver operating characteristic (ROC) analysis. In the univariate logistic regression analysis, thirty-six out of 46 risk factors, including 34 laboratory markers, were significantly associated with increased odds of severe patients. Multivariate logistic regression analysis showed that the CD19+ lymphocyte count, MYO, LDH, and AFR were associated with increased odds of severe disease. Moreover, Lymphocyte count and AFR levels increased, LDH and CRP levels decreased during hospitalization in recovered severe patients, whereas severe lymphocytopenia and continuously increasing LDH levels were observed in deteriorated patients. AFR level increased and CRP level decreased before the disease worsened in the deteriorated patients; however, when the patients deteriorated, AFR decreased and CRP increased significantly.</p><p><strong>Conclusion: </strong>CD19+ lymphocyte count, MYO, LDH, and AFR are independent biomarkers for early identification of severe COVID-19. Lymphocyte count, AFR, LDH, and CRP levels were helpful in predicting the clinical progression of the disease.\\\\.</p>\",\"PeriodicalId\":13577,\"journal\":{\"name\":\"Infection and Drug Resistance\",\"volume\":\"17 \",\"pages\":\"5037-5047\"},\"PeriodicalIF\":2.9000,\"publicationDate\":\"2024-11-13\",\"publicationTypes\":\"Journal Article\",\"fieldsOfStudy\":null,\"isOpenAccess\":false,\"openAccessPdf\":\"https://www.ncbi.nlm.nih.gov/pmc/articles/PMC11572049/pdf/\",\"citationCount\":\"0\",\"resultStr\":null,\"platform\":\"Semanticscholar\",\"paperid\":null,\"PeriodicalName\":\"Infection and Drug Resistance\",\"FirstCategoryId\":\"3\",\"ListUrlMain\":\"https://doi.org/10.2147/IDR.S478798\",\"RegionNum\":3,\"RegionCategory\":\"医学\",\"ArticlePicture\":[],\"TitleCN\":null,\"AbstractTextCN\":null,\"PMCID\":null,\"EPubDate\":\"2024/1/1 0:00:00\",\"PubModel\":\"eCollection\",\"JCR\":\"Q2\",\"JCRName\":\"INFECTIOUS DISEASES\",\"Score\":null,\"Total\":0}","platform":"Semanticscholar","paperid":null,"PeriodicalName":"Infection and Drug Resistance","FirstCategoryId":"3","ListUrlMain":"https://doi.org/10.2147/IDR.S478798","RegionNum":3,"RegionCategory":"医学","ArticlePicture":[],"TitleCN":null,"AbstractTextCN":null,"PMCID":null,"EPubDate":"2024/1/1 0:00:00","PubModel":"eCollection","JCR":"Q2","JCRName":"INFECTIOUS DISEASES","Score":null,"Total":0}
引用次数: 0

摘要

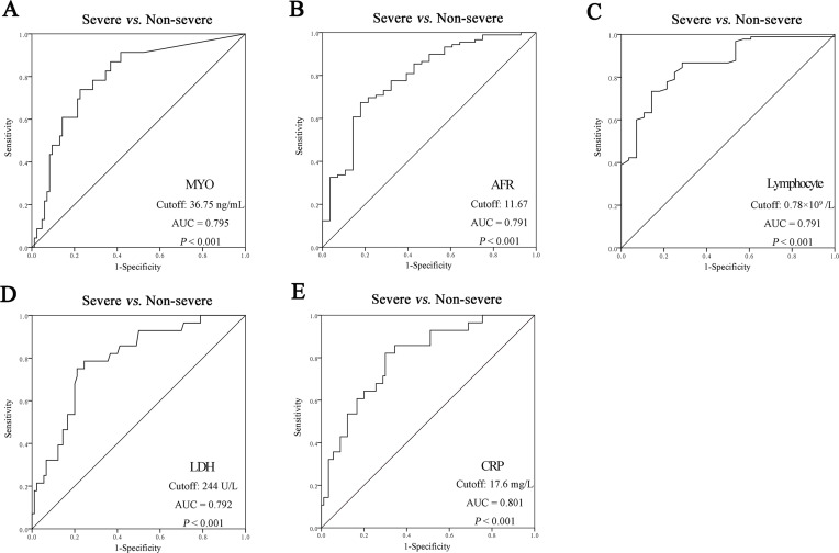
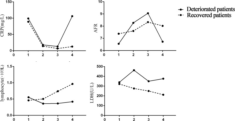
目的:本研究旨在通过收集更多实验室标记物和变量,确定更有效的实验室标记物来评估2019年冠状病毒病的严重程度,并预测疾病的进展:本研究收集了126名COVID-19患者的大多数危险因素,包括流行病学特征、血细胞计数、细胞因子和感染标志物,以评估其预测价值:结果:在接受者操作特征(ROC)分析中,白蛋白(Alb)与纤维蛋白原(Fib)比值(AFR)(0.791)、乳酸脱氢酶(LDH)(0.792)、肌红蛋白(MYO)(0.795)、C反应蛋白(CRP)(0.801)和淋巴细胞计数(0.859)的曲线下面积(AUC)均高于其他区分重症与非重症患者的指标。在单变量逻辑回归分析中,46 个风险因素中的 36 个(包括 34 个实验室指标)与重症患者的几率增加显著相关。多变量逻辑回归分析显示,CD19+淋巴细胞计数、MYO、LDH和AFR与重症患者几率增加有关。此外,痊愈的重症患者在住院期间淋巴细胞计数和 AFR 水平升高,LDH 和 CRP 水平降低,而病情恶化的患者淋巴细胞严重减少,LDH 水平持续升高。病情恶化的患者在病情恶化前,AFR 水平升高,CRP 水平降低;但当病情恶化时,AFR 显著降低,CRP 显著升高:结论:CD19+淋巴细胞计数、MYO、LDH和AFR是早期识别严重COVID-19的独立生物标志物。淋巴细胞计数、AFR、LDH和CRP水平有助于预测疾病的临床进展。
本文章由计算机程序翻译,如有差异,请以英文原文为准。

The Value of Common Laboratory Markers in Predicting the Severity of COVID-19 Patients.

The Value of Common Laboratory Markers in Predicting the Severity of COVID-19 Patients.

The Value of Common Laboratory Markers in Predicting the Severity of COVID-19 Patients.

The Value of Common Laboratory Markers in Predicting the Severity of COVID-19 Patients.

Purpose: The aim of the present study was to identify more effective laboratory markers to assess the severity of corona virus disease 2019 and predict the progression of the disease by collecting more laboratory markers and variables.

Patients and methods: In this study, most risk factors, including epidemiological characteristics, blood cell counts, cytokines, and infection markers, were collected from 126 patients with COVID-19 to assess their predictive value.

Results: The area under curve (AUC) of Albumin (Alb) to fibrinogen (Fib) ratio (AFR) (0.791), Lactate dehydrogenase (LDH) (0.792), myoglobin (MYO) (0.795), C-reactive protein (CRP) (0.801) and lymphocyte count (0.859) were higher than other markers to distinguish severe from non-severe patients in receiver operating characteristic (ROC) analysis. In the univariate logistic regression analysis, thirty-six out of 46 risk factors, including 34 laboratory markers, were significantly associated with increased odds of severe patients. Multivariate logistic regression analysis showed that the CD19+ lymphocyte count, MYO, LDH, and AFR were associated with increased odds of severe disease. Moreover, Lymphocyte count and AFR levels increased, LDH and CRP levels decreased during hospitalization in recovered severe patients, whereas severe lymphocytopenia and continuously increasing LDH levels were observed in deteriorated patients. AFR level increased and CRP level decreased before the disease worsened in the deteriorated patients; however, when the patients deteriorated, AFR decreased and CRP increased significantly.

Conclusion: CD19+ lymphocyte count, MYO, LDH, and AFR are independent biomarkers for early identification of severe COVID-19. Lymphocyte count, AFR, LDH, and CRP levels were helpful in predicting the clinical progression of the disease.\.

求助全文
通过发布文献求助,成功后即可免费获取论文全文。 去求助
来源期刊
Infection and Drug Resistance
Infection and Drug Resistance Medicine-Pharmacology (medical)
CiteScore
5.60
自引率
7.70%
发文量
826
审稿时长
16 weeks
期刊介绍: About Journal Editors Peer Reviewers Articles Article Publishing Charges Aims and Scope Call For Papers ISSN: 1178-6973 Editor-in-Chief: Professor Suresh Antony An international, peer-reviewed, open access journal that focuses on the optimal treatment of infection (bacterial, fungal and viral) and the development and institution of preventative strategies to minimize the development and spread of resistance.
×
引用
GB/T 7714-2015
复制
MLA
复制
APA
复制
导出至
BibTeX EndNote RefMan NoteFirst NoteExpress
×
提示
您的信息不完整,为了账户安全,请先补充。
现在去补充
×
提示
您因"违规操作"
具体请查看互助需知
我知道了
×
提示
确定
请完成安全验证×
copy
已复制链接
快去分享给好友吧!
我知道了
右上角分享
点击右上角分享
0
联系我们:info@booksci.cn Book学术提供免费学术资源搜索服务,方便国内外学者检索中英文文献。致力于提供最便捷和优质的服务体验。 Copyright © 2023 布克学术 All rights reserved.
京ICP备2023020795号-1
ghs 京公网安备 11010802042870号
Book学术文献互助
Book学术文献互助群
群 号:604180095
Book学术官方微信