已知或疑似阻塞性睡眠呼吸暂停患者痴呆症风险的性别特异性:一项为期 10 年的纵向人群研究。

Tiffany J Braley, Xiru Lyu, Galit Levi Dunietz, Paul C Schulz, Riley Bove, Ronald D Chervin, Henry L Paulson, Kerby Shedden
{"title":"已知或疑似阻塞性睡眠呼吸暂停患者痴呆症风险的性别特异性:一项为期 10 年的纵向人群研究。","authors":"Tiffany J Braley, Xiru Lyu, Galit Levi Dunietz, Paul C Schulz, Riley Bove, Ronald D Chervin, Henry L Paulson, Kerby Shedden","doi":"10.1093/sleepadvances/zpae077","DOIUrl":null,"url":null,"abstract":"<p><strong>Study objectives: </strong>To evaluate sex-specific associations between known or suspected obstructive sleep apnea (OSA) and dementia risk over 10 years among older women and men.</p><p><strong>Methods: </strong>This study included 18 815 women and men age 50+ years (dementia-free at baseline) who participated in the Health and Retirement Study (HRS), a nationally representative cohort of US adults. Presence of OSA was defined by self-reported diagnosis or key HRS items that correspond to elements of a validated OSA screening tool (STOP-Bang). Incident dementia cases were identified using a validated, HRS-based algorithm derived from objective cognitive assessments. Survey-weighted regression models based on pseudo-values were utilized to estimate sex- and age-specific differences in cumulative incidence of dementia by OSA status.</p><p><strong>Results: </strong>Data from 18 815 adults were analyzed, of which 9% of women and 8% of men (weighted proportions) met criteria for incident dementia. Known/suspected OSA was more prevalent in men than in women (weighted proportions 68% vs. 31%). Unadjusted sex-stratified analyses showed that known/suspected OSA was associated with higher cumulative incidence of dementia across ages 60-84 years for women and men. By age 80, relative to adults without known/suspected OSA, the cumulative incidence of dementia was 4.7% higher (CI 2.8%, 6.7%) for women with known/suspected OSA, and 2.5% (CI 0.5%, 4.5%) for men with known/suspected OSA, respectively. Adjusted associations between age-specific OSA and cumulative incidence of dementia attenuated for both women and men but remained statistically significant.</p><p><strong>Conclusions: </strong>OSA contributes to dementia risk in older adults, particularly women. This study illuminates the impact of a potentially modifiable yet frequently overlooked risk factor for dementia onset.</p>","PeriodicalId":74808,"journal":{"name":"Sleep advances : a journal of the Sleep Research Society","volume":"5 1","pages":"zpae077"},"PeriodicalIF":0.0000,"publicationDate":"2024-10-22","publicationTypes":"Journal Article","fieldsOfStudy":null,"isOpenAccess":false,"openAccessPdf":"https://www.ncbi.nlm.nih.gov/pmc/articles/PMC11568356/pdf/","citationCount":"0","resultStr":"{\"title\":\"Sex-specific dementia risk in known or suspected obstructive sleep apnea: a 10-year longitudinal population-based study.\",\"authors\":\"Tiffany J Braley, Xiru Lyu, Galit Levi Dunietz, Paul C Schulz, Riley Bove, Ronald D Chervin, Henry L Paulson, Kerby Shedden\",\"doi\":\"10.1093/sleepadvances/zpae077\",\"DOIUrl\":null,\"url\":null,\"abstract\":\"<p><strong>Study objectives: </strong>To evaluate sex-specific associations between known or suspected obstructive sleep apnea (OSA) and dementia risk over 10 years among older women and men.</p><p><strong>Methods: </strong>This study included 18 815 women and men age 50+ years (dementia-free at baseline) who participated in the Health and Retirement Study (HRS), a nationally representative cohort of US adults. Presence of OSA was defined by self-reported diagnosis or key HRS items that correspond to elements of a validated OSA screening tool (STOP-Bang). Incident dementia cases were identified using a validated, HRS-based algorithm derived from objective cognitive assessments. Survey-weighted regression models based on pseudo-values were utilized to estimate sex- and age-specific differences in cumulative incidence of dementia by OSA status.</p><p><strong>Results: </strong>Data from 18 815 adults were analyzed, of which 9% of women and 8% of men (weighted proportions) met criteria for incident dementia. Known/suspected OSA was more prevalent in men than in women (weighted proportions 68% vs. 31%). Unadjusted sex-stratified analyses showed that known/suspected OSA was associated with higher cumulative incidence of dementia across ages 60-84 years for women and men. By age 80, relative to adults without known/suspected OSA, the cumulative incidence of dementia was 4.7% higher (CI 2.8%, 6.7%) for women with known/suspected OSA, and 2.5% (CI 0.5%, 4.5%) for men with known/suspected OSA, respectively. Adjusted associations between age-specific OSA and cumulative incidence of dementia attenuated for both women and men but remained statistically significant.</p><p><strong>Conclusions: </strong>OSA contributes to dementia risk in older adults, particularly women. This study illuminates the impact of a potentially modifiable yet frequently overlooked risk factor for dementia onset.</p>\",\"PeriodicalId\":74808,\"journal\":{\"name\":\"Sleep advances : a journal of the Sleep Research Society\",\"volume\":\"5 1\",\"pages\":\"zpae077\"},\"PeriodicalIF\":0.0000,\"publicationDate\":\"2024-10-22\",\"publicationTypes\":\"Journal Article\",\"fieldsOfStudy\":null,\"isOpenAccess\":false,\"openAccessPdf\":\"https://www.ncbi.nlm.nih.gov/pmc/articles/PMC11568356/pdf/\",\"citationCount\":\"0\",\"resultStr\":null,\"platform\":\"Semanticscholar\",\"paperid\":null,\"PeriodicalName\":\"Sleep advances : a journal of the Sleep Research Society\",\"FirstCategoryId\":\"1085\",\"ListUrlMain\":\"https://doi.org/10.1093/sleepadvances/zpae077\",\"RegionNum\":0,\"RegionCategory\":null,\"ArticlePicture\":[],\"TitleCN\":null,\"AbstractTextCN\":null,\"PMCID\":null,\"EPubDate\":\"2024/1/1 0:00:00\",\"PubModel\":\"eCollection\",\"JCR\":\"\",\"JCRName\":\"\",\"Score\":null,\"Total\":0}","platform":"Semanticscholar","paperid":null,"PeriodicalName":"Sleep advances : a journal of the Sleep Research Society","FirstCategoryId":"1085","ListUrlMain":"https://doi.org/10.1093/sleepadvances/zpae077","RegionNum":0,"RegionCategory":null,"ArticlePicture":[],"TitleCN":null,"AbstractTextCN":null,"PMCID":null,"EPubDate":"2024/1/1 0:00:00","PubModel":"eCollection","JCR":"","JCRName":"","Score":null,"Total":0}
引用次数: 0

摘要

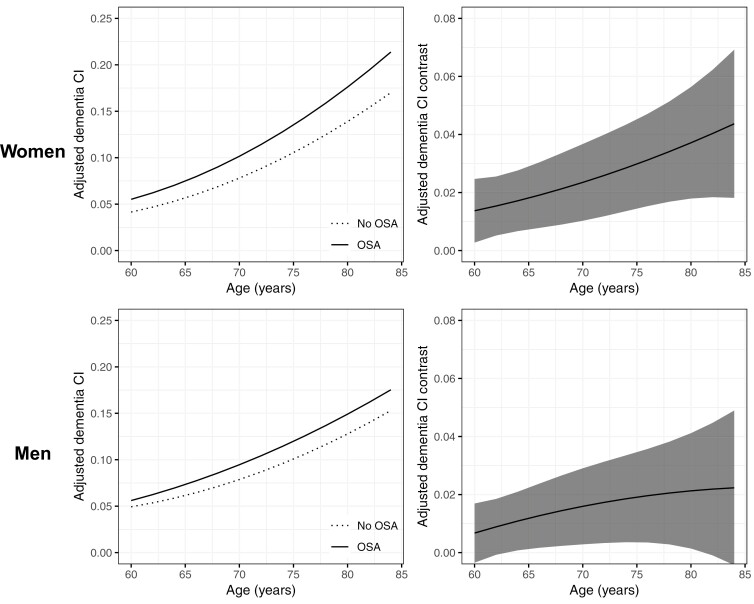
研究目的评估已知或疑似阻塞性睡眠呼吸暂停(OSA)与老年男性和女性 10 年痴呆症风险之间的性别特异性关联:这项研究纳入了 18 815 名 50 岁以上的女性和男性(基线时无痴呆症),他们参加了健康与退休研究(HRS),这是一项具有全国代表性的美国成年人队列。是否存在 OSA 由自我报告的诊断或与有效 OSA 筛查工具(STOP-Bang)要素相对应的关键 HRS 项目来定义。痴呆症病例是通过基于客观认知评估的有效 HRS 算法确定的。利用基于伪值的调查加权回归模型来估计OSA状态下痴呆症累积发病率的性别和年龄差异:结果:分析了 18 815 名成年人的数据,其中 9% 的女性和 8% 的男性(加权比例)符合痴呆症发病标准。已知/疑似 OSA 的男性发病率高于女性(加权比例分别为 68% 和 31%)。未经调整的性别分层分析表明,已知/疑似 OSA 与女性和男性在 60-84 岁期间较高的痴呆症累积发病率有关。与没有已知/疑似 OSA 的成年人相比,到 80 岁时,已知/疑似 OSA 的女性和男性痴呆症累积发病率分别高出 4.7% (CI 2.8%, 6.7%)和 2.5% (CI 0.5%, 4.5%)。经调整后,女性和男性年龄特异性 OSA 与痴呆症累积发病率之间的关系有所减弱,但仍具有统计学意义:结论:开放性睡眠呼吸暂停会增加老年人尤其是女性患痴呆症的风险。这项研究揭示了一个可能被改变但却经常被忽视的痴呆症发病风险因素的影响。
本文章由计算机程序翻译,如有差异,请以英文原文为准。

Sex-specific dementia risk in known or suspected obstructive sleep apnea: a 10-year longitudinal population-based study.

Sex-specific dementia risk in known or suspected obstructive sleep apnea: a 10-year longitudinal population-based study.

Sex-specific dementia risk in known or suspected obstructive sleep apnea: a 10-year longitudinal population-based study.

Study objectives: To evaluate sex-specific associations between known or suspected obstructive sleep apnea (OSA) and dementia risk over 10 years among older women and men.

Methods: This study included 18 815 women and men age 50+ years (dementia-free at baseline) who participated in the Health and Retirement Study (HRS), a nationally representative cohort of US adults. Presence of OSA was defined by self-reported diagnosis or key HRS items that correspond to elements of a validated OSA screening tool (STOP-Bang). Incident dementia cases were identified using a validated, HRS-based algorithm derived from objective cognitive assessments. Survey-weighted regression models based on pseudo-values were utilized to estimate sex- and age-specific differences in cumulative incidence of dementia by OSA status.

Results: Data from 18 815 adults were analyzed, of which 9% of women and 8% of men (weighted proportions) met criteria for incident dementia. Known/suspected OSA was more prevalent in men than in women (weighted proportions 68% vs. 31%). Unadjusted sex-stratified analyses showed that known/suspected OSA was associated with higher cumulative incidence of dementia across ages 60-84 years for women and men. By age 80, relative to adults without known/suspected OSA, the cumulative incidence of dementia was 4.7% higher (CI 2.8%, 6.7%) for women with known/suspected OSA, and 2.5% (CI 0.5%, 4.5%) for men with known/suspected OSA, respectively. Adjusted associations between age-specific OSA and cumulative incidence of dementia attenuated for both women and men but remained statistically significant.

Conclusions: OSA contributes to dementia risk in older adults, particularly women. This study illuminates the impact of a potentially modifiable yet frequently overlooked risk factor for dementia onset.

求助全文
通过发布文献求助,成功后即可免费获取论文全文。 去求助
来源期刊
CiteScore
2.10
自引率
0.00%
发文量
0
×
引用
GB/T 7714-2015
复制
MLA
复制
APA
复制
导出至
BibTeX EndNote RefMan NoteFirst NoteExpress
×
提示
您的信息不完整,为了账户安全,请先补充。
现在去补充
×
提示
您因"违规操作"
具体请查看互助需知
我知道了
×
提示
确定
请完成安全验证×
copy
已复制链接
快去分享给好友吧!
我知道了
右上角分享
点击右上角分享
0
联系我们:info@booksci.cn Book学术提供免费学术资源搜索服务,方便国内外学者检索中英文文献。致力于提供最便捷和优质的服务体验。 Copyright © 2023 布克学术 All rights reserved.
京ICP备2023020795号-1
ghs 京公网安备 11010802042870号
Book学术文献互助
Book学术文献互助群
群 号:604180095
Book学术官方微信