新辅助化疗后局部晚期乳腺癌患者中具有预后价值的非整倍体循环内皮细胞

IF 3.4 4区 医学 Q2 ONCOLOGY
Breast Cancer : Targets and Therapy Pub Date : 2024-11-12 eCollection Date: 2024-01-01 DOI:10.2147/BCTT.S487336
Minghui Li, Yuelin Liu, Xu Han, Tao Li, Zhizheng Zhang, Ningyi Xue, Mengdi Liang, Ge Ma, Tiansong Xia
{"title":"新辅助化疗后局部晚期乳腺癌患者中具有预后价值的非整倍体循环内皮细胞","authors":"Minghui Li, Yuelin Liu, Xu Han, Tao Li, Zhizheng Zhang, Ningyi Xue, Mengdi Liang, Ge Ma, Tiansong Xia","doi":"10.2147/BCTT.S487336","DOIUrl":null,"url":null,"abstract":"<p><strong>Background: </strong>Aneuploid circulating endothelial cells (CECs) are an indicator in breast cancer (BC). Significant changes of aneuploid CECs occurred during neoadjuvant chemotherapy (NCT). This study aimed to explore the predictive and prognostic values of aneuploid CECs in locally advanced breast cancer (LABC) patients with different NCT responses.</p><p><strong>Methods: </strong>Breast cancer patients received an EC4-T4 NCT regimen. A novel subtraction enrichment and immunostaining fluorescence in situ hybridization (SE-iFISH) strategy was applied for the detection of CECs (CD45-/CD31+/DAPI+). Receiver operating characteristic (ROC) curves were plotted to evaluate the predictive value of aneuploid CEC counts in distinguishing NCT-resistant patients from sensitive ones. All patients were observed for progression-free survival (PFS) and overall survival (OS).</p><p><strong>Results: </strong>The CEC counts at any time point did not show the ability to predict the efficacy of NCT. The difference in the CECs between post-chemotherapy levels and baseline could be sufficient to distinguish chemotherapy-resistant cases from other cases in Hormone+Her-2-/+ (HR+) BC patients. Patients with reduction of CECs after all courses of NCT were associated with higher probability of PFS.</p><p><strong>Conclusion: </strong>Variations in aneuploid CECs during NCT may predict chemotherapy response in patients with HR+ breast cancer. The decrease in the number of aneuploid CECs after all courses of NCT indicates better treatment outcomes in patients with LABC.</p>","PeriodicalId":9106,"journal":{"name":"Breast Cancer : Targets and Therapy","volume":"16 ","pages":"761-768"},"PeriodicalIF":3.4000,"publicationDate":"2024-11-12","publicationTypes":"Journal Article","fieldsOfStudy":null,"isOpenAccess":false,"openAccessPdf":"https://www.ncbi.nlm.nih.gov/pmc/articles/PMC11568856/pdf/","citationCount":"0","resultStr":"{\"title\":\"Aneuploid Circulating Endothelial Cells with Prognostic Value in Locally Advanced Breast Cancer Patients After Neoadjuvant Chemotherapy.\",\"authors\":\"Minghui Li, Yuelin Liu, Xu Han, Tao Li, Zhizheng Zhang, Ningyi Xue, Mengdi Liang, Ge Ma, Tiansong Xia\",\"doi\":\"10.2147/BCTT.S487336\",\"DOIUrl\":null,\"url\":null,\"abstract\":\"<p><strong>Background: </strong>Aneuploid circulating endothelial cells (CECs) are an indicator in breast cancer (BC). Significant changes of aneuploid CECs occurred during neoadjuvant chemotherapy (NCT). This study aimed to explore the predictive and prognostic values of aneuploid CECs in locally advanced breast cancer (LABC) patients with different NCT responses.</p><p><strong>Methods: </strong>Breast cancer patients received an EC4-T4 NCT regimen. A novel subtraction enrichment and immunostaining fluorescence in situ hybridization (SE-iFISH) strategy was applied for the detection of CECs (CD45-/CD31+/DAPI+). Receiver operating characteristic (ROC) curves were plotted to evaluate the predictive value of aneuploid CEC counts in distinguishing NCT-resistant patients from sensitive ones. All patients were observed for progression-free survival (PFS) and overall survival (OS).</p><p><strong>Results: </strong>The CEC counts at any time point did not show the ability to predict the efficacy of NCT. The difference in the CECs between post-chemotherapy levels and baseline could be sufficient to distinguish chemotherapy-resistant cases from other cases in Hormone+Her-2-/+ (HR+) BC patients. Patients with reduction of CECs after all courses of NCT were associated with higher probability of PFS.</p><p><strong>Conclusion: </strong>Variations in aneuploid CECs during NCT may predict chemotherapy response in patients with HR+ breast cancer. The decrease in the number of aneuploid CECs after all courses of NCT indicates better treatment outcomes in patients with LABC.</p>\",\"PeriodicalId\":9106,\"journal\":{\"name\":\"Breast Cancer : Targets and Therapy\",\"volume\":\"16 \",\"pages\":\"761-768\"},\"PeriodicalIF\":3.4000,\"publicationDate\":\"2024-11-12\",\"publicationTypes\":\"Journal Article\",\"fieldsOfStudy\":null,\"isOpenAccess\":false,\"openAccessPdf\":\"https://www.ncbi.nlm.nih.gov/pmc/articles/PMC11568856/pdf/\",\"citationCount\":\"0\",\"resultStr\":null,\"platform\":\"Semanticscholar\",\"paperid\":null,\"PeriodicalName\":\"Breast Cancer : Targets and Therapy\",\"FirstCategoryId\":\"3\",\"ListUrlMain\":\"https://doi.org/10.2147/BCTT.S487336\",\"RegionNum\":4,\"RegionCategory\":\"医学\",\"ArticlePicture\":[],\"TitleCN\":null,\"AbstractTextCN\":null,\"PMCID\":null,\"EPubDate\":\"2024/1/1 0:00:00\",\"PubModel\":\"eCollection\",\"JCR\":\"Q2\",\"JCRName\":\"ONCOLOGY\",\"Score\":null,\"Total\":0}","platform":"Semanticscholar","paperid":null,"PeriodicalName":"Breast Cancer : Targets and Therapy","FirstCategoryId":"3","ListUrlMain":"https://doi.org/10.2147/BCTT.S487336","RegionNum":4,"RegionCategory":"医学","ArticlePicture":[],"TitleCN":null,"AbstractTextCN":null,"PMCID":null,"EPubDate":"2024/1/1 0:00:00","PubModel":"eCollection","JCR":"Q2","JCRName":"ONCOLOGY","Score":null,"Total":0}
引用次数: 0

摘要

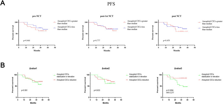
背景:非整倍体循环内皮细胞(CECs)是乳腺癌(BC)的一个指标。在新辅助化疗(NCT)期间,非整倍体循环内皮细胞发生了显著变化。本研究旨在探讨非整倍体CECs对不同NCT反应的局部晚期乳腺癌(LABC)患者的预测和预后价值:方法:乳腺癌患者接受EC4-T4 NCT治疗方案。方法:乳腺癌患者接受EC4-T4 NCT治疗方案,采用新颖的减影富集和免疫染色荧光原位杂交(SE-iFISH)策略检测CECs(CD45-/CD31+/DAPI+)。绘制了接收者操作特征曲线(ROC),以评估非整倍体CEC计数在区分NCT耐药患者和敏感患者方面的预测价值。对所有患者的无进展生存期(PFS)和总生存期(OS)进行了观察:结果:任何时间点的CEC计数都无法预测NCT的疗效。在激素+Her-2-/+(HR+)BC患者中,化疗后CECs水平与基线之间的差异足以将化疗耐药病例与其他病例区分开来。所有NCT疗程后CECs均下降的患者PFS概率更高:结论:NCT期间非整倍体CEC的变化可预测HR+乳腺癌患者的化疗反应。经过所有疗程的NCT治疗后,非整倍体CEC数量的减少表明LABC患者的治疗效果更好。
本文章由计算机程序翻译,如有差异,请以英文原文为准。

Aneuploid Circulating Endothelial Cells with Prognostic Value in Locally Advanced Breast Cancer Patients After Neoadjuvant Chemotherapy.

Aneuploid Circulating Endothelial Cells with Prognostic Value in Locally Advanced Breast Cancer Patients After Neoadjuvant Chemotherapy.

Aneuploid Circulating Endothelial Cells with Prognostic Value in Locally Advanced Breast Cancer Patients After Neoadjuvant Chemotherapy.

Aneuploid Circulating Endothelial Cells with Prognostic Value in Locally Advanced Breast Cancer Patients After Neoadjuvant Chemotherapy.

Background: Aneuploid circulating endothelial cells (CECs) are an indicator in breast cancer (BC). Significant changes of aneuploid CECs occurred during neoadjuvant chemotherapy (NCT). This study aimed to explore the predictive and prognostic values of aneuploid CECs in locally advanced breast cancer (LABC) patients with different NCT responses.

Methods: Breast cancer patients received an EC4-T4 NCT regimen. A novel subtraction enrichment and immunostaining fluorescence in situ hybridization (SE-iFISH) strategy was applied for the detection of CECs (CD45-/CD31+/DAPI+). Receiver operating characteristic (ROC) curves were plotted to evaluate the predictive value of aneuploid CEC counts in distinguishing NCT-resistant patients from sensitive ones. All patients were observed for progression-free survival (PFS) and overall survival (OS).

Results: The CEC counts at any time point did not show the ability to predict the efficacy of NCT. The difference in the CECs between post-chemotherapy levels and baseline could be sufficient to distinguish chemotherapy-resistant cases from other cases in Hormone+Her-2-/+ (HR+) BC patients. Patients with reduction of CECs after all courses of NCT were associated with higher probability of PFS.

Conclusion: Variations in aneuploid CECs during NCT may predict chemotherapy response in patients with HR+ breast cancer. The decrease in the number of aneuploid CECs after all courses of NCT indicates better treatment outcomes in patients with LABC.

求助全文
通过发布文献求助,成功后即可免费获取论文全文。 去求助
来源期刊
CiteScore
4.10
自引率
0.00%
发文量
40
审稿时长
16 weeks
×
引用
GB/T 7714-2015
复制
MLA
复制
APA
复制
导出至
BibTeX EndNote RefMan NoteFirst NoteExpress
×
提示
您的信息不完整,为了账户安全,请先补充。
现在去补充
×
提示
您因"违规操作"
具体请查看互助需知
我知道了
×
提示
确定
请完成安全验证×
copy
已复制链接
快去分享给好友吧!
我知道了
右上角分享
点击右上角分享
0
联系我们:info@booksci.cn Book学术提供免费学术资源搜索服务,方便国内外学者检索中英文文献。致力于提供最便捷和优质的服务体验。 Copyright © 2023 布克学术 All rights reserved.
京ICP备2023020795号-1
ghs 京公网安备 11010802042870号
Book学术文献互助
Book学术文献互助群
群 号:604180095
Book学术官方微信