DNA 提取是否会影响声称具有基因组编辑植物特异性检测能力的 PCR 方法的特异性?

IF 4.7 2区 农林科学 Q1 BIOTECHNOLOGY & APPLIED MICROBIOLOGY
Sophia Edelmann, Christian Savini, Dominik Moor, Jörn Lämke, Kathrin Lieske, Marco Mazzara, Hendrik Emons, Joachim Mankertz, Christopher Weidner
{"title":"DNA 提取是否会影响声称具有基因组编辑植物特异性检测能力的 PCR 方法的特异性?","authors":"Sophia Edelmann, Christian Savini, Dominik Moor, Jörn Lämke, Kathrin Lieske, Marco Mazzara, Hendrik Emons, Joachim Mankertz, Christopher Weidner","doi":"10.1080/21645698.2024.2423441","DOIUrl":null,"url":null,"abstract":"<p><p>Under current EU legislation, genetically modified organisms (GMOs) and derived food and feed products must be authorized as GM food, feed, or seed and appropriate detection methods must be made available for use in official controls. A Real-Time PCR method has recently been published by Chhalliyil et al. claiming to be specific for the detection and identification of genome-edited oilseed rape (OSR) lines commercialized in North America. In a previous study, we have independently assessed this method in three reference laboratories for sensitivity, specificity, and robustness. We found that the method does not meet all the minimum performance requirements (MPR) for GMO testing in the EU, which contradicts the claims of the method developer. Here we show, in addition to the previously published method assessment study that a modified DNA extraction is not the reason for the contradictory findings and does not affect the specificity of the method. We also discuss the procedures recently proposed by the method developers for interpreting PCR results with high Cq values.</p>","PeriodicalId":54282,"journal":{"name":"Gm Crops & Food-Biotechnology in Agriculture and the Food Chain","volume":"15 1","pages":"352-360"},"PeriodicalIF":4.7000,"publicationDate":"2024-12-31","publicationTypes":"Journal Article","fieldsOfStudy":null,"isOpenAccess":false,"openAccessPdf":"https://www.ncbi.nlm.nih.gov/pmc/articles/PMC11572162/pdf/","citationCount":"0","resultStr":"{\"title\":\"Does DNA extraction affect the specificity of a PCR method claiming the specific detectability of a genome-edited plant?\",\"authors\":\"Sophia Edelmann, Christian Savini, Dominik Moor, Jörn Lämke, Kathrin Lieske, Marco Mazzara, Hendrik Emons, Joachim Mankertz, Christopher Weidner\",\"doi\":\"10.1080/21645698.2024.2423441\",\"DOIUrl\":null,\"url\":null,\"abstract\":\"<p><p>Under current EU legislation, genetically modified organisms (GMOs) and derived food and feed products must be authorized as GM food, feed, or seed and appropriate detection methods must be made available for use in official controls. A Real-Time PCR method has recently been published by Chhalliyil et al. claiming to be specific for the detection and identification of genome-edited oilseed rape (OSR) lines commercialized in North America. In a previous study, we have independently assessed this method in three reference laboratories for sensitivity, specificity, and robustness. We found that the method does not meet all the minimum performance requirements (MPR) for GMO testing in the EU, which contradicts the claims of the method developer. Here we show, in addition to the previously published method assessment study that a modified DNA extraction is not the reason for the contradictory findings and does not affect the specificity of the method. We also discuss the procedures recently proposed by the method developers for interpreting PCR results with high Cq values.</p>\",\"PeriodicalId\":54282,\"journal\":{\"name\":\"Gm Crops & Food-Biotechnology in Agriculture and the Food Chain\",\"volume\":\"15 1\",\"pages\":\"352-360\"},\"PeriodicalIF\":4.7000,\"publicationDate\":\"2024-12-31\",\"publicationTypes\":\"Journal Article\",\"fieldsOfStudy\":null,\"isOpenAccess\":false,\"openAccessPdf\":\"https://www.ncbi.nlm.nih.gov/pmc/articles/PMC11572162/pdf/\",\"citationCount\":\"0\",\"resultStr\":null,\"platform\":\"Semanticscholar\",\"paperid\":null,\"PeriodicalName\":\"Gm Crops & Food-Biotechnology in Agriculture and the Food Chain\",\"FirstCategoryId\":\"5\",\"ListUrlMain\":\"https://doi.org/10.1080/21645698.2024.2423441\",\"RegionNum\":2,\"RegionCategory\":\"农林科学\",\"ArticlePicture\":[],\"TitleCN\":null,\"AbstractTextCN\":null,\"PMCID\":null,\"EPubDate\":\"2024/11/14 0:00:00\",\"PubModel\":\"Epub\",\"JCR\":\"Q1\",\"JCRName\":\"BIOTECHNOLOGY & APPLIED MICROBIOLOGY\",\"Score\":null,\"Total\":0}","platform":"Semanticscholar","paperid":null,"PeriodicalName":"Gm Crops & Food-Biotechnology in Agriculture and the Food Chain","FirstCategoryId":"5","ListUrlMain":"https://doi.org/10.1080/21645698.2024.2423441","RegionNum":2,"RegionCategory":"农林科学","ArticlePicture":[],"TitleCN":null,"AbstractTextCN":null,"PMCID":null,"EPubDate":"2024/11/14 0:00:00","PubModel":"Epub","JCR":"Q1","JCRName":"BIOTECHNOLOGY & APPLIED MICROBIOLOGY","Score":null,"Total":0}
引用次数: 0

摘要

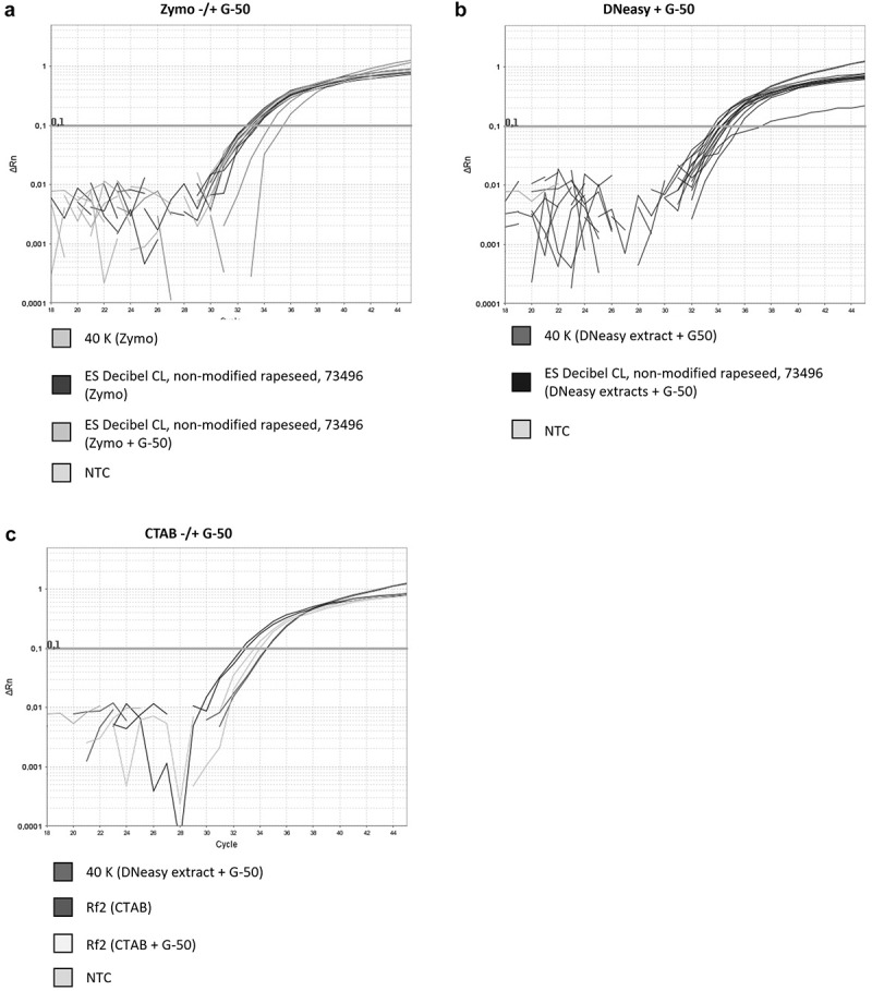
根据欧盟现行法律,转基因生物 (GMO) 及其衍生食品和饲料产品必须被授权为转基因食品、饲料或种子,并且必须提供适当的检测方法用于官方控制。Chhalliyil 等人最近发表了一种实时 PCR 方法,声称该方法可特异性地检测和鉴定北美商业化的基因组编辑油菜(OSR)品系。在之前的一项研究中,我们在三个参考实验室对该方法的灵敏度、特异性和稳健性进行了独立评估。我们发现,该方法不符合欧盟转基因生物检测的所有最低性能要求(MPR),这与方法开发者的说法相矛盾。在此,除了之前公布的方法评估研究外,我们还表明,修改 DNA 提取方法并不是产生矛盾结论的原因,也不会影响该方法的特异性。我们还讨论了方法开发者最近提出的解释高 Cq 值 PCR 结果的程序。
本文章由计算机程序翻译,如有差异,请以英文原文为准。

Does DNA extraction affect the specificity of a PCR method claiming the specific detectability of a genome-edited plant?

Does DNA extraction affect the specificity of a PCR method claiming the specific detectability of a genome-edited plant?

Does DNA extraction affect the specificity of a PCR method claiming the specific detectability of a genome-edited plant?

Under current EU legislation, genetically modified organisms (GMOs) and derived food and feed products must be authorized as GM food, feed, or seed and appropriate detection methods must be made available for use in official controls. A Real-Time PCR method has recently been published by Chhalliyil et al. claiming to be specific for the detection and identification of genome-edited oilseed rape (OSR) lines commercialized in North America. In a previous study, we have independently assessed this method in three reference laboratories for sensitivity, specificity, and robustness. We found that the method does not meet all the minimum performance requirements (MPR) for GMO testing in the EU, which contradicts the claims of the method developer. Here we show, in addition to the previously published method assessment study that a modified DNA extraction is not the reason for the contradictory findings and does not affect the specificity of the method. We also discuss the procedures recently proposed by the method developers for interpreting PCR results with high Cq values.

求助全文
通过发布文献求助,成功后即可免费获取论文全文。 去求助
来源期刊
Gm Crops & Food-Biotechnology in Agriculture and the Food Chain
Gm Crops & Food-Biotechnology in Agriculture and the Food Chain Biochemistry, Genetics and Molecular Biology-Biotechnology
CiteScore
8.10
自引率
10.30%
发文量
22
期刊介绍: GM Crops & Food - Biotechnology in Agriculture and the Food Chain aims to publish high quality research papers, reviews, and commentaries on a wide range of topics involving genetically modified (GM) crops in agriculture and genetically modified food. The journal provides a platform for research papers addressing fundamental questions in the development, testing, and application of transgenic crops. The journal further covers topics relating to socio-economic issues, commercialization, trade and societal issues. GM Crops & Food aims to provide an international forum on all issues related to GM crops, especially toward meaningful communication between scientists and policy-makers. GM Crops & Food will publish relevant and high-impact original research with a special focus on novelty-driven studies with the potential for application. The journal also publishes authoritative review articles on current research and policy initiatives, and commentary on broad perspectives regarding genetically modified crops. The journal serves a wide readership including scientists, breeders, and policy-makers, as well as a wider community of readers (educators, policy makers, scholars, science writers and students) interested in agriculture, medicine, biotechnology, investment, and technology transfer. Topics covered include, but are not limited to: • Production and analysis of transgenic crops • Gene insertion studies • Gene silencing • Factors affecting gene expression • Post-translational analysis • Molecular farming • Field trial analysis • Commercialization of modified crops • Safety and regulatory affairs BIOLOGICAL SCIENCE AND TECHNOLOGY • Biofuels • Data from field trials • Development of transformation technology • Elimination of pollutants (Bioremediation) • Gene silencing mechanisms • Genome Editing • Herbicide resistance • Molecular farming • Pest resistance • Plant reproduction (e.g., male sterility, hybrid breeding, apomixis) • Plants with altered composition • Tolerance to abiotic stress • Transgenesis in agriculture • Biofortification and nutrients improvement • Genomic, proteomic and bioinformatics methods used for developing GM cops ECONOMIC, POLITICAL AND SOCIAL ISSUES • Commercialization • Consumer attitudes • International bodies • National and local government policies • Public perception, intellectual property, education, (bio)ethical issues • Regulation, environmental impact and containment • Socio-economic impact • Food safety and security • Risk assessments
×
引用
GB/T 7714-2015
复制
MLA
复制
APA
复制
导出至
BibTeX EndNote RefMan NoteFirst NoteExpress
×
提示
您的信息不完整,为了账户安全,请先补充。
现在去补充
×
提示
您因"违规操作"
具体请查看互助需知
我知道了
×
提示
确定
请完成安全验证×
copy
已复制链接
快去分享给好友吧!
我知道了
右上角分享
点击右上角分享
0
联系我们:info@booksci.cn Book学术提供免费学术资源搜索服务,方便国内外学者检索中英文文献。致力于提供最便捷和优质的服务体验。 Copyright © 2023 布克学术 All rights reserved.
京ICP备2023020795号-1
ghs 京公网安备 11010802042870号
Book学术文献互助
Book学术文献互助群
群 号:604180095
Book学术官方微信