在全身性耐甲氧西林金黄色葡萄球菌感染兔模型中免疫新型 4 型重组孔形成类毒素联合疫苗的保护作用。

IF 1.3 Q4 IMMUNOLOGY
Thomas Söderhäll, Seung-Bum Kim, Gi-Sub Choi, Kyu-Ri Kang, Joon-Hwan Ji, Bok Luel Lee, Jin-Han Kang
{"title":"在全身性耐甲氧西林金黄色葡萄球菌感染兔模型中免疫新型 4 型重组孔形成类毒素联合疫苗的保护作用。","authors":"Thomas Söderhäll, Seung-Bum Kim, Gi-Sub Choi, Kyu-Ri Kang, Joon-Hwan Ji, Bok Luel Lee, Jin-Han Kang","doi":"10.7774/cevr.2024.13.4.338","DOIUrl":null,"url":null,"abstract":"<p><strong>Purpose: </strong><i>Staphylococcus aureus</i> is a Gram-positive bacterium that most frequently acquires antibiotic resistance. As an opportunistic pathogen, it can cause conditions such as bacteremia, sepsis, and myocarditis. Due to the social need for a vaccine against methicillin-resistant <i>Staphylococcus aureus</i> (MRSA), many research groups have been designing and studying vaccines for decades. In this study, we developed a multivalent vaccine and evaluated its efficacy by applying a novel adjuvant, β-glucan.</p><p><strong>Materials and methods: </strong>A vaccine composed of four pore-forming toxins from <i>S. aureus</i> was administered to rabbits 3 times, after which they were challenged with <i>S. aureus</i> USA 300 LAC strain. We measured changes in the rabbits' body weight to monitor systemic adverse reactions and analyzed the total immunoglobulin G antibody titer against the four antigens using enzyme-linked immunosorbent assay. For each rabbit, the number of abscesses and colony-forming units (CFU) in the kidneys were measured.</p><p><strong>Results: </strong>In all vaccinated groups, strong antibody responses against the four antigens were observed. After challenging with MRSA, the vaccinated groups showed less weight change compared to the non-vaccinated groups (average 5.7% versus 13.5%). Additionally, the number of renal abscesses was significantly lower in the vaccinated groups, with three individuals in group 1 (four antigens adjuvanted with β-glucan_PK1) showing no abscess formation. The number of bacteria identified in the kidneys was also statistically significantly lower in the vaccinated group compared to the non-vaccinated group.</p><p><strong>Conclusion: </strong>We demonstrated that the four toxoid antigens we selected can protect against <i>S. aureus</i> infection in a rabbit model and that β-glucan could be used as an immune enhancer. Overall, our study shows that new antigen combinations can induce protective immunity in animal models and that a toxin-based vaccine can help control bacterial colonization.</p>","PeriodicalId":51768,"journal":{"name":"Clinical and Experimental Vaccine Research","volume":"13 4","pages":"338-347"},"PeriodicalIF":1.3000,"publicationDate":"2024-10-01","publicationTypes":"Journal Article","fieldsOfStudy":null,"isOpenAccess":false,"openAccessPdf":"https://www.ncbi.nlm.nih.gov/pmc/articles/PMC11543794/pdf/","citationCount":"0","resultStr":"{\"title\":\"Protective effects of immunization with a novel 4 recombinant pore-forming toxoid combination vaccine in a rabbit model of systemic methicillin-resistant <i>Staphylococcus aureus</i> infection.\",\"authors\":\"Thomas Söderhäll, Seung-Bum Kim, Gi-Sub Choi, Kyu-Ri Kang, Joon-Hwan Ji, Bok Luel Lee, Jin-Han Kang\",\"doi\":\"10.7774/cevr.2024.13.4.338\",\"DOIUrl\":null,\"url\":null,\"abstract\":\"<p><strong>Purpose: </strong><i>Staphylococcus aureus</i> is a Gram-positive bacterium that most frequently acquires antibiotic resistance. As an opportunistic pathogen, it can cause conditions such as bacteremia, sepsis, and myocarditis. Due to the social need for a vaccine against methicillin-resistant <i>Staphylococcus aureus</i> (MRSA), many research groups have been designing and studying vaccines for decades. In this study, we developed a multivalent vaccine and evaluated its efficacy by applying a novel adjuvant, β-glucan.</p><p><strong>Materials and methods: </strong>A vaccine composed of four pore-forming toxins from <i>S. aureus</i> was administered to rabbits 3 times, after which they were challenged with <i>S. aureus</i> USA 300 LAC strain. We measured changes in the rabbits' body weight to monitor systemic adverse reactions and analyzed the total immunoglobulin G antibody titer against the four antigens using enzyme-linked immunosorbent assay. For each rabbit, the number of abscesses and colony-forming units (CFU) in the kidneys were measured.</p><p><strong>Results: </strong>In all vaccinated groups, strong antibody responses against the four antigens were observed. After challenging with MRSA, the vaccinated groups showed less weight change compared to the non-vaccinated groups (average 5.7% versus 13.5%). Additionally, the number of renal abscesses was significantly lower in the vaccinated groups, with three individuals in group 1 (four antigens adjuvanted with β-glucan_PK1) showing no abscess formation. The number of bacteria identified in the kidneys was also statistically significantly lower in the vaccinated group compared to the non-vaccinated group.</p><p><strong>Conclusion: </strong>We demonstrated that the four toxoid antigens we selected can protect against <i>S. aureus</i> infection in a rabbit model and that β-glucan could be used as an immune enhancer. Overall, our study shows that new antigen combinations can induce protective immunity in animal models and that a toxin-based vaccine can help control bacterial colonization.</p>\",\"PeriodicalId\":51768,\"journal\":{\"name\":\"Clinical and Experimental Vaccine Research\",\"volume\":\"13 4\",\"pages\":\"338-347\"},\"PeriodicalIF\":1.3000,\"publicationDate\":\"2024-10-01\",\"publicationTypes\":\"Journal Article\",\"fieldsOfStudy\":null,\"isOpenAccess\":false,\"openAccessPdf\":\"https://www.ncbi.nlm.nih.gov/pmc/articles/PMC11543794/pdf/\",\"citationCount\":\"0\",\"resultStr\":null,\"platform\":\"Semanticscholar\",\"paperid\":null,\"PeriodicalName\":\"Clinical and Experimental Vaccine Research\",\"FirstCategoryId\":\"1085\",\"ListUrlMain\":\"https://doi.org/10.7774/cevr.2024.13.4.338\",\"RegionNum\":0,\"RegionCategory\":null,\"ArticlePicture\":[],\"TitleCN\":null,\"AbstractTextCN\":null,\"PMCID\":null,\"EPubDate\":\"2024/10/31 0:00:00\",\"PubModel\":\"Epub\",\"JCR\":\"Q4\",\"JCRName\":\"IMMUNOLOGY\",\"Score\":null,\"Total\":0}","platform":"Semanticscholar","paperid":null,"PeriodicalName":"Clinical and Experimental Vaccine Research","FirstCategoryId":"1085","ListUrlMain":"https://doi.org/10.7774/cevr.2024.13.4.338","RegionNum":0,"RegionCategory":null,"ArticlePicture":[],"TitleCN":null,"AbstractTextCN":null,"PMCID":null,"EPubDate":"2024/10/31 0:00:00","PubModel":"Epub","JCR":"Q4","JCRName":"IMMUNOLOGY","Score":null,"Total":0}
引用次数: 0

摘要

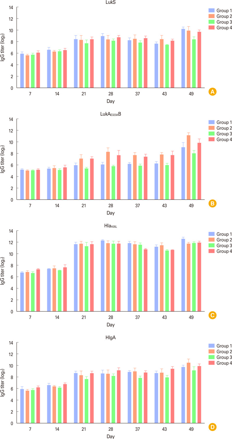
目的:金黄色葡萄球菌是一种革兰氏阳性细菌,最常产生抗生素耐药性。作为一种机会性病原体,它可导致菌血症、败血症和心肌炎等病症。由于社会需要针对耐甲氧西林金黄色葡萄球菌(MRSA)的疫苗,许多研究小组几十年来一直在设计和研究疫苗。在本研究中,我们开发了一种多价疫苗,并通过应用新型佐剂β-葡聚糖评估了其疗效:给兔子注射由金黄色葡萄球菌的四种孔隙形成毒素组成的疫苗 3 次,然后让兔子接受金黄色葡萄球菌 USA 300 LAC 株的挑战。我们测量了兔子体重的变化,以监测全身不良反应,并使用酶联免疫吸附试验分析了针对四种抗原的总免疫球蛋白 G 抗体滴度。对每只兔子的脓肿数量和肾脏中的菌落形成单位(CFU)进行了测量:结果:在所有接种组中都观察到了针对四种抗原的强抗体反应。在接种 MRSA 后,与未接种组相比,接种组的体重变化较小(平均为 5.7% 对 13.5%)。此外,接种疫苗组的肾脓肿数量明显减少,其中第 1 组(四种抗原与 β-葡聚糖_PK1 佐剂)中有三人没有脓肿形成。与未接种疫苗组相比,接种疫苗组在肾脏中发现的细菌数量在统计学上也明显较低:结论:我们的研究表明,我们选择的四种类毒素抗原可在兔模型中预防金黄色葡萄球菌感染,β-葡聚糖可用作免疫增强剂。总之,我们的研究表明,新的抗原组合可以在动物模型中诱导保护性免疫,而且基于毒素的疫苗有助于控制细菌定植。
本文章由计算机程序翻译,如有差异,请以英文原文为准。

Protective effects of immunization with a novel 4 recombinant pore-forming toxoid combination vaccine in a rabbit model of systemic methicillin-resistant <i>Staphylococcus aureus</i> infection.

Protective effects of immunization with a novel 4 recombinant pore-forming toxoid combination vaccine in a rabbit model of systemic methicillin-resistant <i>Staphylococcus aureus</i> infection.

Protective effects of immunization with a novel 4 recombinant pore-forming toxoid combination vaccine in a rabbit model of systemic methicillin-resistant <i>Staphylococcus aureus</i> infection.

Protective effects of immunization with a novel 4 recombinant pore-forming toxoid combination vaccine in a rabbit model of systemic methicillin-resistant Staphylococcus aureus infection.

Purpose: Staphylococcus aureus is a Gram-positive bacterium that most frequently acquires antibiotic resistance. As an opportunistic pathogen, it can cause conditions such as bacteremia, sepsis, and myocarditis. Due to the social need for a vaccine against methicillin-resistant Staphylococcus aureus (MRSA), many research groups have been designing and studying vaccines for decades. In this study, we developed a multivalent vaccine and evaluated its efficacy by applying a novel adjuvant, β-glucan.

Materials and methods: A vaccine composed of four pore-forming toxins from S. aureus was administered to rabbits 3 times, after which they were challenged with S. aureus USA 300 LAC strain. We measured changes in the rabbits' body weight to monitor systemic adverse reactions and analyzed the total immunoglobulin G antibody titer against the four antigens using enzyme-linked immunosorbent assay. For each rabbit, the number of abscesses and colony-forming units (CFU) in the kidneys were measured.

Results: In all vaccinated groups, strong antibody responses against the four antigens were observed. After challenging with MRSA, the vaccinated groups showed less weight change compared to the non-vaccinated groups (average 5.7% versus 13.5%). Additionally, the number of renal abscesses was significantly lower in the vaccinated groups, with three individuals in group 1 (four antigens adjuvanted with β-glucan_PK1) showing no abscess formation. The number of bacteria identified in the kidneys was also statistically significantly lower in the vaccinated group compared to the non-vaccinated group.

Conclusion: We demonstrated that the four toxoid antigens we selected can protect against S. aureus infection in a rabbit model and that β-glucan could be used as an immune enhancer. Overall, our study shows that new antigen combinations can induce protective immunity in animal models and that a toxin-based vaccine can help control bacterial colonization.

求助全文
通过发布文献求助,成功后即可免费获取论文全文。 去求助
来源期刊
CiteScore
3.70
自引率
3.70%
发文量
29
审稿时长
8 weeks
期刊介绍: Clin Exp Vaccine Res, the official English journal of the Korean Vaccine Society, is an international, peer reviewed, and open-access journal. It covers all areas related to vaccines and vaccination. Clin Exp Vaccine Res publishes editorials, review articles, special articles, original articles, case reports, brief communications, and correspondences covering a wide range of clinical and experimental subjects including vaccines and vaccination for human and animals against infectious diseases caused by viruses, bacteria, parasites and tumor. The scope of the journal is to disseminate information that may contribute to elaborate vaccine development and vaccination strategies targeting infectious diseases and tumors in human and animals. Relevant topics range from experimental approaches to (pre)clinical trials for the vaccine research based on, but not limited to, basic laboratory, translational, and (pre)clinical investigations, epidemiology of infectious diseases and progression of all aspects in the health related issues. It is published printed and open accessed online issues (https://ecevr.org) two times per year in 31 January and 31 July. Clin Exp Vaccine Res is linked to many international databases and is made freely available to institutions and individuals worldwide
×
引用
GB/T 7714-2015
复制
MLA
复制
APA
复制
导出至
BibTeX EndNote RefMan NoteFirst NoteExpress
×
提示
您的信息不完整,为了账户安全,请先补充。
现在去补充
×
提示
您因"违规操作"
具体请查看互助需知
我知道了
×
提示
确定
请完成安全验证×
copy
已复制链接
快去分享给好友吧!
我知道了
右上角分享
点击右上角分享
0
联系我们:info@booksci.cn Book学术提供免费学术资源搜索服务,方便国内外学者检索中英文文献。致力于提供最便捷和优质的服务体验。 Copyright © 2023 布克学术 All rights reserved.
京ICP备2023020795号-1
ghs 京公网安备 11010802042870号
Book学术文献互助
Book学术文献互助群
群 号:604180095
Book学术官方微信