在 Sprague-Dawley 大鼠体内对 Komagataella phaffii 产生的 Alpha 乳铁蛋白进行为期四周的 GLP 免疫毒性评估。

IF 1 4区 医学 Q4 PHARMACOLOGY & PHARMACY
International Journal of Toxicology Pub Date : 2025-03-01 Epub Date: 2024-11-13 DOI:10.1177/10915818241299344
Ross Peterson, Robert B Crawford, Lance K Blevins, Norbert E Kaminski, Anthony J Clark, Carrie-Anne Malinczak
{"title":"在 Sprague-Dawley 大鼠体内对 Komagataella phaffii 产生的 Alpha 乳铁蛋白进行为期四周的 GLP 免疫毒性评估。","authors":"Ross Peterson, Robert B Crawford, Lance K Blevins, Norbert E Kaminski, Anthony J Clark, Carrie-Anne Malinczak","doi":"10.1177/10915818241299344","DOIUrl":null,"url":null,"abstract":"<p><p>Oral toxicity and toxicokinetic properties of human lactoferrin (LF) alpha produced in <i>Komagataella phaffii</i> (effera™) were investigated in adult Sprague-Dawley rats over a 28-day period under good laboratory practice conditions. Main study dosing used groups of 10 rats/sex/dose, and a secondary study evaluating toxicokinetic parameters used 6 rats/sex/dose. The vehicle control group received sodium citrate buffer, test groups received daily doses of 200, 600, and 2000 mg of effera™ per kg body weight, and the comparative control group received 2000 mg bovine LF (bLF)/kg body weight per day. T-cell-dependent antibody response against keyhole limpet hemocyanin and immunophenotyping of the spleen were performed as measures of immunotoxicity. Clinical observations, body weight, hematology, coagulation, clinical chemistry, urinalysis, immunotoxicity, gross necropsy, and histopathology were assessed. Toxicokinetic parameters were analyzed as an indication of LF bioavailability, and anti-LF antibody assays were conducted to detect antibodies produced against LF to measure immunogenicity. No treatment related toxicologically significant changes were observed. Based on the absence of toxicologically relevant changes, effera™ is well tolerated in rats at doses up to 2000 mg rhLF/kg/day, an amount ∼400 times that of the estimated daily intake at the 90th percentile proposed for human adult use.</p>","PeriodicalId":14432,"journal":{"name":"International Journal of Toxicology","volume":" ","pages":"125-140"},"PeriodicalIF":1.0000,"publicationDate":"2025-03-01","publicationTypes":"Journal Article","fieldsOfStudy":null,"isOpenAccess":false,"openAccessPdf":"https://www.ncbi.nlm.nih.gov/pmc/articles/PMC11969892/pdf/","citationCount":"0","resultStr":"{\"title\":\"Four-Week GLP Immunotoxicity Assessment of Lactoferrin Alpha Produced by <i>Komagataella phaffii</i> in Sprague-Dawley Rats.\",\"authors\":\"Ross Peterson, Robert B Crawford, Lance K Blevins, Norbert E Kaminski, Anthony J Clark, Carrie-Anne Malinczak\",\"doi\":\"10.1177/10915818241299344\",\"DOIUrl\":null,\"url\":null,\"abstract\":\"<p><p>Oral toxicity and toxicokinetic properties of human lactoferrin (LF) alpha produced in <i>Komagataella phaffii</i> (effera™) were investigated in adult Sprague-Dawley rats over a 28-day period under good laboratory practice conditions. Main study dosing used groups of 10 rats/sex/dose, and a secondary study evaluating toxicokinetic parameters used 6 rats/sex/dose. The vehicle control group received sodium citrate buffer, test groups received daily doses of 200, 600, and 2000 mg of effera™ per kg body weight, and the comparative control group received 2000 mg bovine LF (bLF)/kg body weight per day. T-cell-dependent antibody response against keyhole limpet hemocyanin and immunophenotyping of the spleen were performed as measures of immunotoxicity. Clinical observations, body weight, hematology, coagulation, clinical chemistry, urinalysis, immunotoxicity, gross necropsy, and histopathology were assessed. Toxicokinetic parameters were analyzed as an indication of LF bioavailability, and anti-LF antibody assays were conducted to detect antibodies produced against LF to measure immunogenicity. No treatment related toxicologically significant changes were observed. Based on the absence of toxicologically relevant changes, effera™ is well tolerated in rats at doses up to 2000 mg rhLF/kg/day, an amount ∼400 times that of the estimated daily intake at the 90th percentile proposed for human adult use.</p>\",\"PeriodicalId\":14432,\"journal\":{\"name\":\"International Journal of Toxicology\",\"volume\":\" \",\"pages\":\"125-140\"},\"PeriodicalIF\":1.0000,\"publicationDate\":\"2025-03-01\",\"publicationTypes\":\"Journal Article\",\"fieldsOfStudy\":null,\"isOpenAccess\":false,\"openAccessPdf\":\"https://www.ncbi.nlm.nih.gov/pmc/articles/PMC11969892/pdf/\",\"citationCount\":\"0\",\"resultStr\":null,\"platform\":\"Semanticscholar\",\"paperid\":null,\"PeriodicalName\":\"International Journal of Toxicology\",\"FirstCategoryId\":\"3\",\"ListUrlMain\":\"https://doi.org/10.1177/10915818241299344\",\"RegionNum\":4,\"RegionCategory\":\"医学\",\"ArticlePicture\":[],\"TitleCN\":null,\"AbstractTextCN\":null,\"PMCID\":null,\"EPubDate\":\"2024/11/13 0:00:00\",\"PubModel\":\"Epub\",\"JCR\":\"Q4\",\"JCRName\":\"PHARMACOLOGY & PHARMACY\",\"Score\":null,\"Total\":0}","platform":"Semanticscholar","paperid":null,"PeriodicalName":"International Journal of Toxicology","FirstCategoryId":"3","ListUrlMain":"https://doi.org/10.1177/10915818241299344","RegionNum":4,"RegionCategory":"医学","ArticlePicture":[],"TitleCN":null,"AbstractTextCN":null,"PMCID":null,"EPubDate":"2024/11/13 0:00:00","PubModel":"Epub","JCR":"Q4","JCRName":"PHARMACOLOGY & PHARMACY","Score":null,"Total":0}
引用次数: 0

摘要

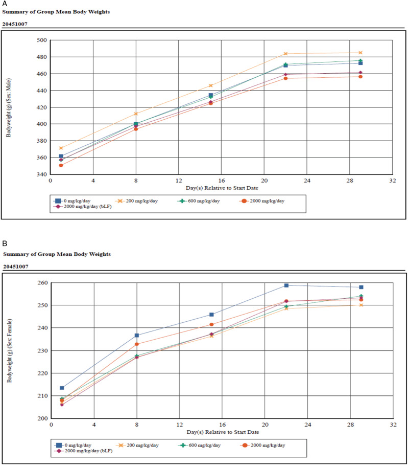
在良好的实验室操作条件下,对 Komagataella phaffii(effera™)生产的人乳铁蛋白(LF)α的口服毒性和毒代动力学特性进行了为期 28 天的研究。主要研究剂量为每组 10 只大鼠/性别/剂量,评估毒物动力学参数的辅助研究剂量为每组 6 只大鼠/性别/剂量。载体对照组接受柠檬酸钠缓冲液,试验组每天每公斤体重接受 200、600 和 2000 毫克 effera™,对比对照组每天每公斤体重接受 2000 毫克牛 LF (bLF)。针对匙孔石斑鱼血蓝蛋白的 T 细胞依赖性抗体反应和脾脏免疫分型是衡量免疫毒性的指标。对临床观察、体重、血液学、凝血、临床化学、尿液分析、免疫毒性、大体尸检和组织病理学进行了评估。对毒物动力学参数进行了分析,以显示 LF 的生物利用度,并进行了抗 LF 抗体检测,以检测针对 LF 产生的抗体,从而衡量免疫原性。没有观察到与治疗有关的毒理学上的重大变化。根据未出现的毒理学相关变化,effera™在大鼠体内的耐受性良好,剂量最高可达2000毫克rhLF/公斤/天,这一剂量是建议人类成人使用的第90百分位数估计日摄入量的400倍。
本文章由计算机程序翻译,如有差异,请以英文原文为准。

Four-Week GLP Immunotoxicity Assessment of Lactoferrin Alpha Produced by <i>Komagataella phaffii</i> in Sprague-Dawley Rats.

Four-Week GLP Immunotoxicity Assessment of Lactoferrin Alpha Produced by <i>Komagataella phaffii</i> in Sprague-Dawley Rats.

Four-Week GLP Immunotoxicity Assessment of Lactoferrin Alpha Produced by <i>Komagataella phaffii</i> in Sprague-Dawley Rats.

Four-Week GLP Immunotoxicity Assessment of Lactoferrin Alpha Produced by Komagataella phaffii in Sprague-Dawley Rats.

Oral toxicity and toxicokinetic properties of human lactoferrin (LF) alpha produced in Komagataella phaffii (effera™) were investigated in adult Sprague-Dawley rats over a 28-day period under good laboratory practice conditions. Main study dosing used groups of 10 rats/sex/dose, and a secondary study evaluating toxicokinetic parameters used 6 rats/sex/dose. The vehicle control group received sodium citrate buffer, test groups received daily doses of 200, 600, and 2000 mg of effera™ per kg body weight, and the comparative control group received 2000 mg bovine LF (bLF)/kg body weight per day. T-cell-dependent antibody response against keyhole limpet hemocyanin and immunophenotyping of the spleen were performed as measures of immunotoxicity. Clinical observations, body weight, hematology, coagulation, clinical chemistry, urinalysis, immunotoxicity, gross necropsy, and histopathology were assessed. Toxicokinetic parameters were analyzed as an indication of LF bioavailability, and anti-LF antibody assays were conducted to detect antibodies produced against LF to measure immunogenicity. No treatment related toxicologically significant changes were observed. Based on the absence of toxicologically relevant changes, effera™ is well tolerated in rats at doses up to 2000 mg rhLF/kg/day, an amount ∼400 times that of the estimated daily intake at the 90th percentile proposed for human adult use.

求助全文
通过发布文献求助,成功后即可免费获取论文全文。 去求助
来源期刊
CiteScore
3.40
自引率
4.50%
发文量
53
审稿时长
4.5 months
期刊介绍: The International Journal of Toxicology publishes timely, peer-reviewed papers on current topics important to toxicologists. Six bi-monthly issues cover a wide range of topics, including contemporary issues in toxicology, safety assessments, novel approaches to toxicological testing, mechanisms of toxicity, biomarkers, and risk assessment. The Journal also publishes invited reviews on contemporary topics, and features articles based on symposia. In addition, supplemental issues are routinely published on various special topics, including three supplements devoted to contributions from the Cosmetic Review Expert Panel.
×
引用
GB/T 7714-2015
复制
MLA
复制
APA
复制
导出至
BibTeX EndNote RefMan NoteFirst NoteExpress
×
提示
您的信息不完整,为了账户安全,请先补充。
现在去补充
×
提示
您因"违规操作"
具体请查看互助需知
我知道了
×
提示
确定
请完成安全验证×
copy
已复制链接
快去分享给好友吧!
我知道了
右上角分享
点击右上角分享
0
联系我们:info@booksci.cn Book学术提供免费学术资源搜索服务,方便国内外学者检索中英文文献。致力于提供最便捷和优质的服务体验。 Copyright © 2023 布克学术 All rights reserved.
京ICP备2023020795号-1
ghs 京公网安备 11010802042870号
Book学术文献互助
Book学术文献互助群
群 号:604180095
Book学术官方微信