贮藏期间家禽饲料中镰刀菌种的出现及其毒素的测定。

IF 3.2 Q3 MICROBIOLOGY
International Journal of Microbiology Pub Date : 2024-10-15 eCollection Date: 2024-01-01 DOI:10.1155/2024/3474308
Youssuf A Gherbawy, Abdullah Altalhi, Pet Ioan, Eman G A M El-Dawy
{"title":"贮藏期间家禽饲料中镰刀菌种的出现及其毒素的测定。","authors":"Youssuf A Gherbawy, Abdullah Altalhi, Pet Ioan, Eman G A M El-Dawy","doi":"10.1155/2024/3474308","DOIUrl":null,"url":null,"abstract":"<p><p>At a global scale, grains and poultry feeds are the primary sources of feed. Due to their considerable significance, any fungi capable of infecting these feedstuffs can pose a threat to both food safety and security. <i>Fusarium</i> spp. are a highly significant group of organisms. Fumonisins (FBs), deoxynivalenol (DON), trichothecene (T-2), and zearalenone (ZEN) are classifications of mycotoxins that are synthesized by <i>Fusarium</i> species. Their presence is associated with a range of factors that occur during growth, processing, and storage. We have recorded the high occurrence of <i>Fusarium</i> spp. in grains and poultry feeds in all tested samples. <i>Fusarium</i> (<i>F</i>) <i>oxysporum</i> was the most common species that appeared in all tested two hundred samples. FB1 was the predominant toxin that appeared with the highest concentration in 56 pellet samples with the range of 10.34-1043 <i>μ</i>g/kg. Also, it occurred with levels of 4.67-956 <i>μ</i>g/kg in the tested ingredients samples. <i>Fusarium verticillioides</i> isolates were the highest producers of FB1. <i>Fusarium</i> spp. isolates showed positive FB1 production with 84.6%, 82.5%, 82.2%, and 78.1%, isolated from pellet feed samples that were collected from Alhassa, Jeddah, Qassim, and Riyadh, respectively. 31.6%, 76.9%, 23.1%, 83.3%, and 88% of tested <i>Fusarium</i> spp. strains exhibited FB1 production in samples of barley, corn, sorghum, soybean, and wheat bran, respectively, with the range of 18-655 <i>μ</i>g/kg. Genes responsible for FB1, DON, T-2, and ZEN production were detected in the <i>Fusarium</i> spp. isolates.</p>","PeriodicalId":14098,"journal":{"name":"International Journal of Microbiology","volume":"2024 ","pages":"3474308"},"PeriodicalIF":3.2000,"publicationDate":"2024-10-15","publicationTypes":"Journal Article","fieldsOfStudy":null,"isOpenAccess":false,"openAccessPdf":"https://www.ncbi.nlm.nih.gov/pmc/articles/PMC11557172/pdf/","citationCount":"0","resultStr":"{\"title\":\"Occurrence of <i>Fusarium</i> Species and Determination of Their Toxins From Poultry Feeds During Storage.\",\"authors\":\"Youssuf A Gherbawy, Abdullah Altalhi, Pet Ioan, Eman G A M El-Dawy\",\"doi\":\"10.1155/2024/3474308\",\"DOIUrl\":null,\"url\":null,\"abstract\":\"<p><p>At a global scale, grains and poultry feeds are the primary sources of feed. Due to their considerable significance, any fungi capable of infecting these feedstuffs can pose a threat to both food safety and security. <i>Fusarium</i> spp. are a highly significant group of organisms. Fumonisins (FBs), deoxynivalenol (DON), trichothecene (T-2), and zearalenone (ZEN) are classifications of mycotoxins that are synthesized by <i>Fusarium</i> species. Their presence is associated with a range of factors that occur during growth, processing, and storage. We have recorded the high occurrence of <i>Fusarium</i> spp. in grains and poultry feeds in all tested samples. <i>Fusarium</i> (<i>F</i>) <i>oxysporum</i> was the most common species that appeared in all tested two hundred samples. FB1 was the predominant toxin that appeared with the highest concentration in 56 pellet samples with the range of 10.34-1043 <i>μ</i>g/kg. Also, it occurred with levels of 4.67-956 <i>μ</i>g/kg in the tested ingredients samples. <i>Fusarium verticillioides</i> isolates were the highest producers of FB1. <i>Fusarium</i> spp. isolates showed positive FB1 production with 84.6%, 82.5%, 82.2%, and 78.1%, isolated from pellet feed samples that were collected from Alhassa, Jeddah, Qassim, and Riyadh, respectively. 31.6%, 76.9%, 23.1%, 83.3%, and 88% of tested <i>Fusarium</i> spp. strains exhibited FB1 production in samples of barley, corn, sorghum, soybean, and wheat bran, respectively, with the range of 18-655 <i>μ</i>g/kg. Genes responsible for FB1, DON, T-2, and ZEN production were detected in the <i>Fusarium</i> spp. isolates.</p>\",\"PeriodicalId\":14098,\"journal\":{\"name\":\"International Journal of Microbiology\",\"volume\":\"2024 \",\"pages\":\"3474308\"},\"PeriodicalIF\":3.2000,\"publicationDate\":\"2024-10-15\",\"publicationTypes\":\"Journal Article\",\"fieldsOfStudy\":null,\"isOpenAccess\":false,\"openAccessPdf\":\"https://www.ncbi.nlm.nih.gov/pmc/articles/PMC11557172/pdf/\",\"citationCount\":\"0\",\"resultStr\":null,\"platform\":\"Semanticscholar\",\"paperid\":null,\"PeriodicalName\":\"International Journal of Microbiology\",\"FirstCategoryId\":\"1085\",\"ListUrlMain\":\"https://doi.org/10.1155/2024/3474308\",\"RegionNum\":0,\"RegionCategory\":null,\"ArticlePicture\":[],\"TitleCN\":null,\"AbstractTextCN\":null,\"PMCID\":null,\"EPubDate\":\"2024/1/1 0:00:00\",\"PubModel\":\"eCollection\",\"JCR\":\"Q3\",\"JCRName\":\"MICROBIOLOGY\",\"Score\":null,\"Total\":0}","platform":"Semanticscholar","paperid":null,"PeriodicalName":"International Journal of Microbiology","FirstCategoryId":"1085","ListUrlMain":"https://doi.org/10.1155/2024/3474308","RegionNum":0,"RegionCategory":null,"ArticlePicture":[],"TitleCN":null,"AbstractTextCN":null,"PMCID":null,"EPubDate":"2024/1/1 0:00:00","PubModel":"eCollection","JCR":"Q3","JCRName":"MICROBIOLOGY","Score":null,"Total":0}
引用次数: 0

摘要

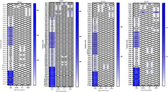
在全球范围内,谷物和家禽饲料是饲料的主要来源。由于其重要性,任何能够感染这些饲料的真菌都会对食品安全构成威胁。镰刀菌属是一类非常重要的生物。伏马菌毒素(FBs)、脱氧雪腐镰刀菌烯醇(DON)、单端孢霉烯(T-2)和玉米赤霉烯酮(ZEN)是由镰刀菌属合成的霉菌毒素分类。它们的出现与生长、加工和储存过程中出现的一系列因素有关。根据我们的记录,在所有检测样本中,谷物和家禽饲料中镰刀菌属的发生率都很高。在所有测试的 200 个样本中,氧孢镰刀菌(F)是最常见的菌种。FB1 是主要的毒素,在 56 个颗粒样本中出现的浓度最高,范围为 10.34-1043 μg/kg。此外,在测试的配料样品中,FB1 的含量为 4.67-956 μg/kg。疣状镰刀菌分离物是 FB1 的最大生产者。从阿尔哈萨、吉达、卡西姆和利雅得采集的颗粒饲料样品中分离出的镰刀菌属分离物显示 FB1 产率分别为 84.6%、82.5%、82.2% 和 78.1%。在大麦、玉米、高粱、大豆和小麦麸皮样品中,分别有 31.6%、76.9%、23.1%、83.3% 和 88% 的受测镰刀菌株产生了 FB1,范围为 18-655 μg/kg。在镰刀菌属分离物中检测到了产生 FB1、DON、T-2 和 ZEN 的基因。
本文章由计算机程序翻译,如有差异,请以英文原文为准。

Occurrence of <i>Fusarium</i> Species and Determination of Their Toxins From Poultry Feeds During Storage.

Occurrence of <i>Fusarium</i> Species and Determination of Their Toxins From Poultry Feeds During Storage.

Occurrence of <i>Fusarium</i> Species and Determination of Their Toxins From Poultry Feeds During Storage.

Occurrence of Fusarium Species and Determination of Their Toxins From Poultry Feeds During Storage.

At a global scale, grains and poultry feeds are the primary sources of feed. Due to their considerable significance, any fungi capable of infecting these feedstuffs can pose a threat to both food safety and security. Fusarium spp. are a highly significant group of organisms. Fumonisins (FBs), deoxynivalenol (DON), trichothecene (T-2), and zearalenone (ZEN) are classifications of mycotoxins that are synthesized by Fusarium species. Their presence is associated with a range of factors that occur during growth, processing, and storage. We have recorded the high occurrence of Fusarium spp. in grains and poultry feeds in all tested samples. Fusarium (F) oxysporum was the most common species that appeared in all tested two hundred samples. FB1 was the predominant toxin that appeared with the highest concentration in 56 pellet samples with the range of 10.34-1043 μg/kg. Also, it occurred with levels of 4.67-956 μg/kg in the tested ingredients samples. Fusarium verticillioides isolates were the highest producers of FB1. Fusarium spp. isolates showed positive FB1 production with 84.6%, 82.5%, 82.2%, and 78.1%, isolated from pellet feed samples that were collected from Alhassa, Jeddah, Qassim, and Riyadh, respectively. 31.6%, 76.9%, 23.1%, 83.3%, and 88% of tested Fusarium spp. strains exhibited FB1 production in samples of barley, corn, sorghum, soybean, and wheat bran, respectively, with the range of 18-655 μg/kg. Genes responsible for FB1, DON, T-2, and ZEN production were detected in the Fusarium spp. isolates.

求助全文
通过发布文献求助,成功后即可免费获取论文全文。 去求助
来源期刊
CiteScore
7.90
自引率
0.00%
发文量
57
审稿时长
13 weeks
期刊介绍: International Journal of Microbiology is a peer-reviewed, Open Access journal that publishes original research articles, review articles, and clinical studies on microorganisms and their interaction with hosts and the environment. The journal covers all microbes, including bacteria, fungi, viruses, archaea, and protozoa. Basic science will be considered, as well as medical and applied research.
×
引用
GB/T 7714-2015
复制
MLA
复制
APA
复制
导出至
BibTeX EndNote RefMan NoteFirst NoteExpress
×
提示
您的信息不完整,为了账户安全,请先补充。
现在去补充
×
提示
您因"违规操作"
具体请查看互助需知
我知道了
×
提示
确定
请完成安全验证×
copy
已复制链接
快去分享给好友吧!
我知道了
右上角分享
点击右上角分享
0
联系我们:info@booksci.cn Book学术提供免费学术资源搜索服务,方便国内外学者检索中英文文献。致力于提供最便捷和优质的服务体验。 Copyright © 2023 布克学术 All rights reserved.
京ICP备2023020795号-1
ghs 京公网安备 11010802042870号
Book学术文献互助
Book学术文献互助群
群 号:604180095
Book学术官方微信