单核细胞 CD36 表达可预测克罗恩病患者的疾病活动。

IF 1.4 4区 医学 Q3 GASTROENTEROLOGY & HEPATOLOGY
Gastroenterology Research and Practice Pub Date : 2024-11-01 eCollection Date: 2024-01-01 DOI:10.1155/2024/9202686
Jiejie Zhu, Nannan Zhu, Jiren Wang, Qiuyuan Liu, Qiao Mei
{"title":"单核细胞 CD36 表达可预测克罗恩病患者的疾病活动。","authors":"Jiejie Zhu, Nannan Zhu, Jiren Wang, Qiuyuan Liu, Qiao Mei","doi":"10.1155/2024/9202686","DOIUrl":null,"url":null,"abstract":"<p><p><b>Background:</b> Crohn's disease (CD) is a chronic intestinal inflammatory disease associated with genetic, environmental, and other unknown factors. Cluster of differentiation 36 (CD36) plays an important role in cancer, inflammation, and metabolic diseases. Although CD36 has recently been implicated in various diseases, its role in CD is still unclear. <b>Methods:</b> Blood samples were collected from patients with CD and healthy volunteers. Peripheral blood mononuclear cells (PBMCs) were isolated by density gradient centrifugation over Ficoll-Paque and labeled with monoclonal antibodies (CD14-APC and CD36-PE). Flow cytometer CytoFlex is used for analysis. <b>Results:</b> Twenty-nine patients with CD in remission, 42 patients with active CD, and 23 healthy volunteers were included in the study. Our results showed that the frequency of the CD14+CD36+ monocyte subset was increased in PBMCs from patients with active CD compared with patients in remission and healthy controls. However, CD36 on monocytes was lower in CD compared with the healthy controls. CD36 expression was decreased in patients with active CD compared with that of patients with CD in remission and healthy control subjects, but no difference was found between patients with CD in remission and healthy controls. Interestingly, we found negative correlations of CD36 with HBI, SES-CD, C-reactive protein, and neutrophil-to-lymphocyte ratio. <b>Conclusions:</b> These data indicate that monocyte CD36 associates with disease activity in CD and might be a potential biomarker for assessing the activity of CD.</p>","PeriodicalId":12597,"journal":{"name":"Gastroenterology Research and Practice","volume":"2024 ","pages":"9202686"},"PeriodicalIF":1.4000,"publicationDate":"2024-11-01","publicationTypes":"Journal Article","fieldsOfStudy":null,"isOpenAccess":false,"openAccessPdf":"https://www.ncbi.nlm.nih.gov/pmc/articles/PMC11548947/pdf/","citationCount":"0","resultStr":"{\"title\":\"Monocyte CD36 Expression Predicts Disease Activity in Patients With Crohn's Disease.\",\"authors\":\"Jiejie Zhu, Nannan Zhu, Jiren Wang, Qiuyuan Liu, Qiao Mei\",\"doi\":\"10.1155/2024/9202686\",\"DOIUrl\":null,\"url\":null,\"abstract\":\"<p><p><b>Background:</b> Crohn's disease (CD) is a chronic intestinal inflammatory disease associated with genetic, environmental, and other unknown factors. Cluster of differentiation 36 (CD36) plays an important role in cancer, inflammation, and metabolic diseases. Although CD36 has recently been implicated in various diseases, its role in CD is still unclear. <b>Methods:</b> Blood samples were collected from patients with CD and healthy volunteers. Peripheral blood mononuclear cells (PBMCs) were isolated by density gradient centrifugation over Ficoll-Paque and labeled with monoclonal antibodies (CD14-APC and CD36-PE). Flow cytometer CytoFlex is used for analysis. <b>Results:</b> Twenty-nine patients with CD in remission, 42 patients with active CD, and 23 healthy volunteers were included in the study. Our results showed that the frequency of the CD14+CD36+ monocyte subset was increased in PBMCs from patients with active CD compared with patients in remission and healthy controls. However, CD36 on monocytes was lower in CD compared with the healthy controls. CD36 expression was decreased in patients with active CD compared with that of patients with CD in remission and healthy control subjects, but no difference was found between patients with CD in remission and healthy controls. Interestingly, we found negative correlations of CD36 with HBI, SES-CD, C-reactive protein, and neutrophil-to-lymphocyte ratio. <b>Conclusions:</b> These data indicate that monocyte CD36 associates with disease activity in CD and might be a potential biomarker for assessing the activity of CD.</p>\",\"PeriodicalId\":12597,\"journal\":{\"name\":\"Gastroenterology Research and Practice\",\"volume\":\"2024 \",\"pages\":\"9202686\"},\"PeriodicalIF\":1.4000,\"publicationDate\":\"2024-11-01\",\"publicationTypes\":\"Journal Article\",\"fieldsOfStudy\":null,\"isOpenAccess\":false,\"openAccessPdf\":\"https://www.ncbi.nlm.nih.gov/pmc/articles/PMC11548947/pdf/\",\"citationCount\":\"0\",\"resultStr\":null,\"platform\":\"Semanticscholar\",\"paperid\":null,\"PeriodicalName\":\"Gastroenterology Research and Practice\",\"FirstCategoryId\":\"3\",\"ListUrlMain\":\"https://doi.org/10.1155/2024/9202686\",\"RegionNum\":4,\"RegionCategory\":\"医学\",\"ArticlePicture\":[],\"TitleCN\":null,\"AbstractTextCN\":null,\"PMCID\":null,\"EPubDate\":\"2024/1/1 0:00:00\",\"PubModel\":\"eCollection\",\"JCR\":\"Q3\",\"JCRName\":\"GASTROENTEROLOGY & HEPATOLOGY\",\"Score\":null,\"Total\":0}","platform":"Semanticscholar","paperid":null,"PeriodicalName":"Gastroenterology Research and Practice","FirstCategoryId":"3","ListUrlMain":"https://doi.org/10.1155/2024/9202686","RegionNum":4,"RegionCategory":"医学","ArticlePicture":[],"TitleCN":null,"AbstractTextCN":null,"PMCID":null,"EPubDate":"2024/1/1 0:00:00","PubModel":"eCollection","JCR":"Q3","JCRName":"GASTROENTEROLOGY & HEPATOLOGY","Score":null,"Total":0}
引用次数: 0

摘要

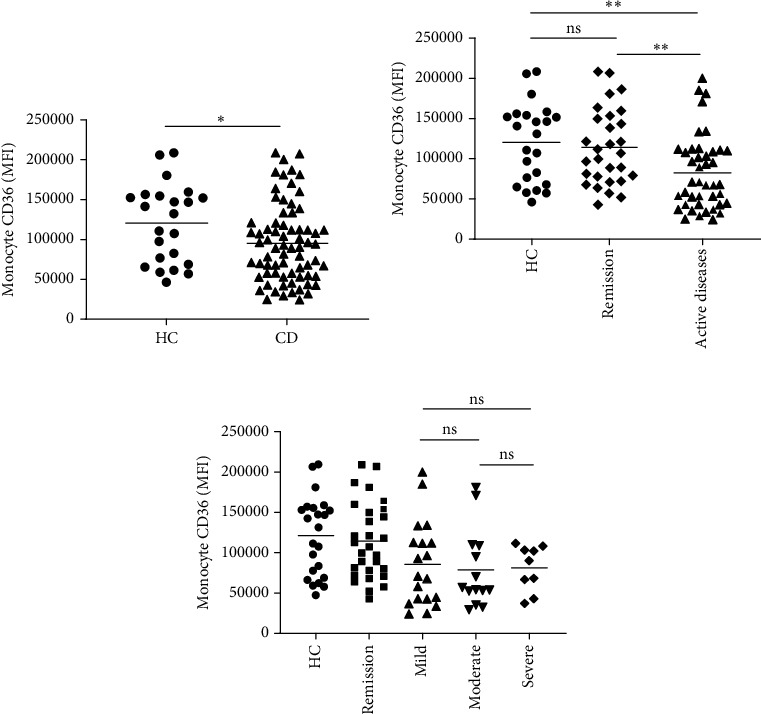
背景:克罗恩病(CD)是一种慢性肠道炎症性疾病,与遗传、环境和其他未知因素有关。分化簇 36(CD36)在癌症、炎症和代谢性疾病中发挥着重要作用。虽然 CD36 近来与多种疾病有关联,但其在牛皮癣中的作用仍不清楚。研究方法采集 CD 患者和健康志愿者的血液样本。用 Ficoll-Paque 密度梯度离心法分离外周血单核细胞(PBMCs),并用单克隆抗体(CD14-APC 和 CD36-PE)标记。使用流式细胞仪 CytoFlex 进行分析。结果研究对象包括 29 名 CD 缓解期患者、42 名 CD 活动期患者和 23 名健康志愿者。结果显示,与缓解期患者和健康对照组相比,活动期 CD 患者的 PBMC 中 CD14+CD36+ 单核细胞亚群的频率增加。然而,与健康对照组相比,CD 患者单核细胞上的 CD36 表达较低。与缓解期 CD 患者和健康对照组相比,活动期 CD 患者的 CD36 表达降低,但缓解期 CD 患者与健康对照组之间没有差异。有趣的是,我们发现 CD36 与 HBI、SES-CD、C 反应蛋白和中性粒细胞与淋巴细胞比值呈负相关。结论这些数据表明,单核细胞 CD36 与 CD 的疾病活动性有关,可能是评估 CD 活动性的潜在生物标志物。
本文章由计算机程序翻译,如有差异,请以英文原文为准。

Monocyte CD36 Expression Predicts Disease Activity in Patients With Crohn's Disease.

Monocyte CD36 Expression Predicts Disease Activity in Patients With Crohn's Disease.

Monocyte CD36 Expression Predicts Disease Activity in Patients With Crohn's Disease.

Monocyte CD36 Expression Predicts Disease Activity in Patients With Crohn's Disease.

Background: Crohn's disease (CD) is a chronic intestinal inflammatory disease associated with genetic, environmental, and other unknown factors. Cluster of differentiation 36 (CD36) plays an important role in cancer, inflammation, and metabolic diseases. Although CD36 has recently been implicated in various diseases, its role in CD is still unclear. Methods: Blood samples were collected from patients with CD and healthy volunteers. Peripheral blood mononuclear cells (PBMCs) were isolated by density gradient centrifugation over Ficoll-Paque and labeled with monoclonal antibodies (CD14-APC and CD36-PE). Flow cytometer CytoFlex is used for analysis. Results: Twenty-nine patients with CD in remission, 42 patients with active CD, and 23 healthy volunteers were included in the study. Our results showed that the frequency of the CD14+CD36+ monocyte subset was increased in PBMCs from patients with active CD compared with patients in remission and healthy controls. However, CD36 on monocytes was lower in CD compared with the healthy controls. CD36 expression was decreased in patients with active CD compared with that of patients with CD in remission and healthy control subjects, but no difference was found between patients with CD in remission and healthy controls. Interestingly, we found negative correlations of CD36 with HBI, SES-CD, C-reactive protein, and neutrophil-to-lymphocyte ratio. Conclusions: These data indicate that monocyte CD36 associates with disease activity in CD and might be a potential biomarker for assessing the activity of CD.

求助全文
通过发布文献求助,成功后即可免费获取论文全文。 去求助
来源期刊
Gastroenterology Research and Practice
Gastroenterology Research and Practice GASTROENTEROLOGY & HEPATOLOGY-
CiteScore
4.40
自引率
0.00%
发文量
91
审稿时长
1 months
期刊介绍: Gastroenterology Research and Practice is a peer-reviewed, Open Access journal which publishes original research articles, review articles and clinical studies based on all areas of gastroenterology, hepatology, pancreas and biliary, and related cancers. The journal welcomes submissions on the physiology, pathophysiology, etiology, diagnosis and therapy of gastrointestinal diseases. The aim of the journal is to provide cutting edge research related to the field of gastroenterology, as well as digestive diseases and disorders. Topics of interest include: Management of pancreatic diseases Third space endoscopy Endoscopic resection Therapeutic endoscopy Therapeutic endosonography.
×
引用
GB/T 7714-2015
复制
MLA
复制
APA
复制
导出至
BibTeX EndNote RefMan NoteFirst NoteExpress
×
提示
您的信息不完整,为了账户安全,请先补充。
现在去补充
×
提示
您因"违规操作"
具体请查看互助需知
我知道了
×
提示
确定
请完成安全验证×
copy
已复制链接
快去分享给好友吧!
我知道了
右上角分享
点击右上角分享
0
联系我们:info@booksci.cn Book学术提供免费学术资源搜索服务,方便国内外学者检索中英文文献。致力于提供最便捷和优质的服务体验。 Copyright © 2023 布克学术 All rights reserved.
京ICP备2023020795号-1
ghs 京公网安备 11010802042870号
Book学术文献互助
Book学术文献互助群
群 号:604180095
Book学术官方微信