液相色谱-串联质谱法和放射免疫分析法在原发性醛固酮增多症筛查中测定血浆醛固酮浓度和血浆肾素活性的比较分析

IF 4.2 3区 医学 Q2 ENDOCRINOLOGY & METABOLISM
Endocrinology and Metabolism Pub Date : 2024-12-01 Epub Date: 2024-11-15 DOI:10.3803/EnM.2024.1985
So Yoon Kwon, Kyeong-Jin Kim, Soo-Youn Lee, Jae Hyeon Kim
{"title":"液相色谱-串联质谱法和放射免疫分析法在原发性醛固酮增多症筛查中测定血浆醛固酮浓度和血浆肾素活性的比较分析","authors":"So Yoon Kwon, Kyeong-Jin Kim, Soo-Youn Lee, Jae Hyeon Kim","doi":"10.3803/EnM.2024.1985","DOIUrl":null,"url":null,"abstract":"<p><p>Liquid chromatography-tandem mass spectrometry (LC-MS/MS) accurately measures plasma aldosterone concentration (PAC), but its correlation with radioimmunoassay (RIA), equivalent RIA levels, and optimal cutoff for PAC and aldosterone-to-renin ratio (ARR) in primary aldosteronism (PA) screening have not been determined in a Korean population. Our study of 127 patients who underwent diagnostic testing for PA showed that the LC-MS/MS and RIA methods have good correlation, with a mean bias of 29.3% for PAC. An LC-MS/MS PAC level of 11.7 ng/dL was equivalent to an RIA PAC level of 15 ng/dL. Receiver operating characteristic curve analysis showed that an LC-MS/MS PAC level of 10.3 ng/dL and LC-MS/MS ARR level of 20.0 provided sensitivity of 73.1% with a specificity of 57.3% and sensitivity of 92.3% with a specificity of 14.7%, respectively. When the LC-MS/MS method is used for PA screening, an adjustment of cutoff values is necessary.</p>","PeriodicalId":11636,"journal":{"name":"Endocrinology and Metabolism","volume":" ","pages":"965-969"},"PeriodicalIF":4.2000,"publicationDate":"2024-12-01","publicationTypes":"Journal Article","fieldsOfStudy":null,"isOpenAccess":false,"openAccessPdf":"https://www.ncbi.nlm.nih.gov/pmc/articles/PMC11695483/pdf/","citationCount":"0","resultStr":"{\"title\":\"Comparative Analysis of Liquid Chromatography-Tandem Mass Spectrometry and Radioimmunoassay in Determining Plasma Aldosterone Concentration and Plasma Renin Activity for Primary Aldosteronism Screening.\",\"authors\":\"So Yoon Kwon, Kyeong-Jin Kim, Soo-Youn Lee, Jae Hyeon Kim\",\"doi\":\"10.3803/EnM.2024.1985\",\"DOIUrl\":null,\"url\":null,\"abstract\":\"<p><p>Liquid chromatography-tandem mass spectrometry (LC-MS/MS) accurately measures plasma aldosterone concentration (PAC), but its correlation with radioimmunoassay (RIA), equivalent RIA levels, and optimal cutoff for PAC and aldosterone-to-renin ratio (ARR) in primary aldosteronism (PA) screening have not been determined in a Korean population. Our study of 127 patients who underwent diagnostic testing for PA showed that the LC-MS/MS and RIA methods have good correlation, with a mean bias of 29.3% for PAC. An LC-MS/MS PAC level of 11.7 ng/dL was equivalent to an RIA PAC level of 15 ng/dL. Receiver operating characteristic curve analysis showed that an LC-MS/MS PAC level of 10.3 ng/dL and LC-MS/MS ARR level of 20.0 provided sensitivity of 73.1% with a specificity of 57.3% and sensitivity of 92.3% with a specificity of 14.7%, respectively. When the LC-MS/MS method is used for PA screening, an adjustment of cutoff values is necessary.</p>\",\"PeriodicalId\":11636,\"journal\":{\"name\":\"Endocrinology and Metabolism\",\"volume\":\" \",\"pages\":\"965-969\"},\"PeriodicalIF\":4.2000,\"publicationDate\":\"2024-12-01\",\"publicationTypes\":\"Journal Article\",\"fieldsOfStudy\":null,\"isOpenAccess\":false,\"openAccessPdf\":\"https://www.ncbi.nlm.nih.gov/pmc/articles/PMC11695483/pdf/\",\"citationCount\":\"0\",\"resultStr\":null,\"platform\":\"Semanticscholar\",\"paperid\":null,\"PeriodicalName\":\"Endocrinology and Metabolism\",\"FirstCategoryId\":\"3\",\"ListUrlMain\":\"https://doi.org/10.3803/EnM.2024.1985\",\"RegionNum\":3,\"RegionCategory\":\"医学\",\"ArticlePicture\":[],\"TitleCN\":null,\"AbstractTextCN\":null,\"PMCID\":null,\"EPubDate\":\"2024/11/15 0:00:00\",\"PubModel\":\"Epub\",\"JCR\":\"Q2\",\"JCRName\":\"ENDOCRINOLOGY & METABOLISM\",\"Score\":null,\"Total\":0}","platform":"Semanticscholar","paperid":null,"PeriodicalName":"Endocrinology and Metabolism","FirstCategoryId":"3","ListUrlMain":"https://doi.org/10.3803/EnM.2024.1985","RegionNum":3,"RegionCategory":"医学","ArticlePicture":[],"TitleCN":null,"AbstractTextCN":null,"PMCID":null,"EPubDate":"2024/11/15 0:00:00","PubModel":"Epub","JCR":"Q2","JCRName":"ENDOCRINOLOGY & METABOLISM","Score":null,"Total":0}
引用次数: 0

摘要

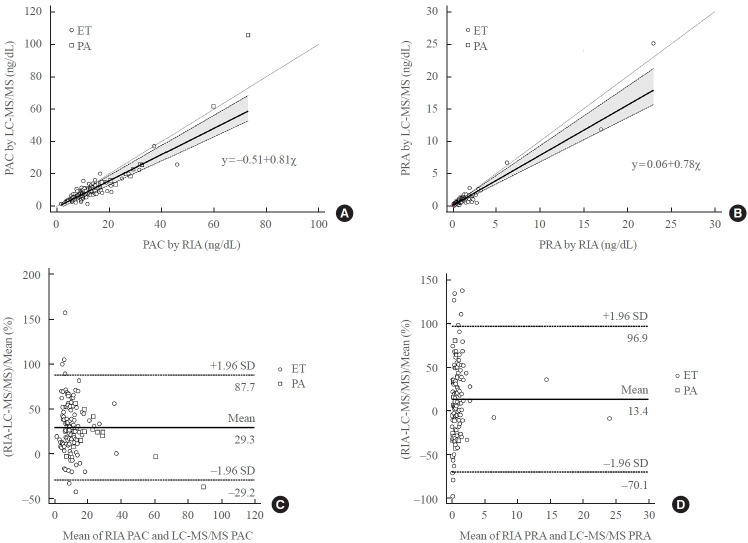
液相色谱-串联质谱法(LC-MS/MS)能准确测量血浆醛固酮浓度(PAC),但在韩国人群中,该方法与放射免疫分析法(RIA)的相关性、等效 RIA 水平以及原发性醛固酮增多症(PA)筛查中 PAC 和醛固酮与肾素比值(ARR)的最佳临界值尚未确定。我们对 127 名接受 PA 诊断测试的患者进行的研究表明,LC-MS/MS 和 RIA 方法具有良好的相关性,PAC 的平均偏差为 29.3%。11.7 纳克/分升的 LC-MS/MS PAC 水平相当于 15 纳克/分升的 RIA PAC 水平。接收者操作特征曲线分析表明,LC-MS/MS PAC 水平为 10.3 ng/dL 和 LC-MS/MS ARR 水平为 20.0 时,灵敏度分别为 73.1%,特异性为 57.3%;灵敏度分别为 92.3%,特异性为 14.7%。当使用 LC-MS/MS 方法进行 PA 筛查时,有必要对临界值进行调整。
本文章由计算机程序翻译,如有差异,请以英文原文为准。

Comparative Analysis of Liquid Chromatography-Tandem Mass Spectrometry and Radioimmunoassay in Determining Plasma Aldosterone Concentration and Plasma Renin Activity for Primary Aldosteronism Screening.

Comparative Analysis of Liquid Chromatography-Tandem Mass Spectrometry and Radioimmunoassay in Determining Plasma Aldosterone Concentration and Plasma Renin Activity for Primary Aldosteronism Screening.

Comparative Analysis of Liquid Chromatography-Tandem Mass Spectrometry and Radioimmunoassay in Determining Plasma Aldosterone Concentration and Plasma Renin Activity for Primary Aldosteronism Screening.

Liquid chromatography-tandem mass spectrometry (LC-MS/MS) accurately measures plasma aldosterone concentration (PAC), but its correlation with radioimmunoassay (RIA), equivalent RIA levels, and optimal cutoff for PAC and aldosterone-to-renin ratio (ARR) in primary aldosteronism (PA) screening have not been determined in a Korean population. Our study of 127 patients who underwent diagnostic testing for PA showed that the LC-MS/MS and RIA methods have good correlation, with a mean bias of 29.3% for PAC. An LC-MS/MS PAC level of 11.7 ng/dL was equivalent to an RIA PAC level of 15 ng/dL. Receiver operating characteristic curve analysis showed that an LC-MS/MS PAC level of 10.3 ng/dL and LC-MS/MS ARR level of 20.0 provided sensitivity of 73.1% with a specificity of 57.3% and sensitivity of 92.3% with a specificity of 14.7%, respectively. When the LC-MS/MS method is used for PA screening, an adjustment of cutoff values is necessary.

求助全文
通过发布文献求助,成功后即可免费获取论文全文。 去求助
来源期刊
Endocrinology and Metabolism
Endocrinology and Metabolism Medicine-Endocrinology, Diabetes and Metabolism
CiteScore
6.60
自引率
5.90%
发文量
145
审稿时长
24 weeks
期刊介绍: The aim of this journal is to set high standards of medical care by providing a forum for discussion for basic, clinical, and translational researchers and clinicians on new findings in the fields of endocrinology and metabolism. Endocrinology and Metabolism reports new findings and developments in all aspects of endocrinology and metabolism. The topics covered by this journal include bone and mineral metabolism, cytokines, developmental endocrinology, diagnostic endocrinology, endocrine research, dyslipidemia, endocrine regulation, genetic endocrinology, growth factors, hormone receptors, hormone action and regulation, management of endocrine diseases, clinical trials, epidemiology, molecular endocrinology, neuroendocrinology, neuropeptides, neurotransmitters, obesity, pediatric endocrinology, reproductive endocrinology, signal transduction, the anatomy and physiology of endocrine organs (i.e., the pituitary, thyroid, parathyroid, and adrenal glands, and the gonads), and endocrine diseases (diabetes, nutrition, osteoporosis, etc.).
×
引用
GB/T 7714-2015
复制
MLA
复制
APA
复制
导出至
BibTeX EndNote RefMan NoteFirst NoteExpress
×
提示
您的信息不完整,为了账户安全,请先补充。
现在去补充
×
提示
您因"违规操作"
具体请查看互助需知
我知道了
×
提示
确定
请完成安全验证×
copy
已复制链接
快去分享给好友吧!
我知道了
右上角分享
点击右上角分享
0
联系我们:info@booksci.cn Book学术提供免费学术资源搜索服务,方便国内外学者检索中英文文献。致力于提供最便捷和优质的服务体验。 Copyright © 2023 布克学术 All rights reserved.
京ICP备2023020795号-1
ghs 京公网安备 11010802042870号
Book学术文献互助
Book学术文献互助群
群 号:604180095
Book学术官方微信