开发含有酮康唑/羟丙基-β-环糊精的离子触发原位凝胶,用于眼部给药:体外和体内评估。

IF 8.1 2区 医学 Q1 PHARMACOLOGY & PHARMACY
Drug Delivery Pub Date : 2024-12-01 Epub Date: 2024-11-12 DOI:10.1080/10717544.2024.2424217
Huiyun Xia, Jingjing Yang, Fei Song, Guojuan Pu, Fudan Dong, Zhen Liang, Junjie Zhang
{"title":"开发含有酮康唑/羟丙基-β-环糊精的离子触发原位凝胶,用于眼部给药:体外和体内评估。","authors":"Huiyun Xia, Jingjing Yang, Fei Song, Guojuan Pu, Fudan Dong, Zhen Liang, Junjie Zhang","doi":"10.1080/10717544.2024.2424217","DOIUrl":null,"url":null,"abstract":"<p><p>The application of ketoconazole (KET) in ocular drug delivery is restricted by its poor aqueous solubility though its broad-spectrum antifungal activity. The aim of this study is to develop an ion-sensitive <i>in situ</i> gel (ISG) of KET to promote its ocular bioavailability in topical application. The solubility of KET in water was increased by complexation with hydroxypropyl-β-cyclodextrin (HPβCD), then KET-HPβCD inclusion complex (KET-IC) was fabricated into an ion-sensitive ISG triggered by sodium alginate (SA). The <i>in vitro</i> drug release and antifungal activities investigations demonstrated that the KET-IC-ISG formulation increased drug release and anti-fungal activities compared to pure KET. The <i>ex vivo</i> rabbit corneal permeation studied demonstrated higher permeability of KET-IC-ISG formulation (<i>P<sub>app</sub></i> of (6.34 <math><mrow><mo>±</mo></mrow></math>0.21) <math><mrow><mo>×</mo></mrow></math>10<sup>-4 </sup>cm/h) than pure KET (<i>P<sub>app</sub></i> of (3.09 <math><mrow><mo>±</mo></mrow></math> 0.09) <math><mrow><mo>×</mo></mrow></math>10<sup>-4 </sup>cm/h). The cytotoxicity assay and the ocular irritation study in rabbits confirmed the KET-IC-ISG safety and well tolerance. The ocular pharmacokinetics of KET in rabbits was investigated and the results showed that the KET-IC-ISG increased its bioavailability in cornea by 47-fold. In conclusion, the KET-IC-ISG system promoted the precorneal retention, the ocular drug bioavailability and the developed formulation is a potential strategy to treat mycotic keratitis.</p>","PeriodicalId":11679,"journal":{"name":"Drug Delivery","volume":"31 1","pages":"2424217"},"PeriodicalIF":8.1000,"publicationDate":"2024-12-01","publicationTypes":"Journal Article","fieldsOfStudy":null,"isOpenAccess":false,"openAccessPdf":"https://www.ncbi.nlm.nih.gov/pmc/articles/PMC11562027/pdf/","citationCount":"0","resultStr":"{\"title\":\"Development of ion-triggered <i>in situ</i> gel containing ketoconazole/hydroxypropyl-β-cyclodextrin for ocular delivery: <i>in vitro</i> and <i>in vivo</i> evaluation.\",\"authors\":\"Huiyun Xia, Jingjing Yang, Fei Song, Guojuan Pu, Fudan Dong, Zhen Liang, Junjie Zhang\",\"doi\":\"10.1080/10717544.2024.2424217\",\"DOIUrl\":null,\"url\":null,\"abstract\":\"<p><p>The application of ketoconazole (KET) in ocular drug delivery is restricted by its poor aqueous solubility though its broad-spectrum antifungal activity. The aim of this study is to develop an ion-sensitive <i>in situ</i> gel (ISG) of KET to promote its ocular bioavailability in topical application. The solubility of KET in water was increased by complexation with hydroxypropyl-β-cyclodextrin (HPβCD), then KET-HPβCD inclusion complex (KET-IC) was fabricated into an ion-sensitive ISG triggered by sodium alginate (SA). The <i>in vitro</i> drug release and antifungal activities investigations demonstrated that the KET-IC-ISG formulation increased drug release and anti-fungal activities compared to pure KET. The <i>ex vivo</i> rabbit corneal permeation studied demonstrated higher permeability of KET-IC-ISG formulation (<i>P<sub>app</sub></i> of (6.34 <math><mrow><mo>±</mo></mrow></math>0.21) <math><mrow><mo>×</mo></mrow></math>10<sup>-4 </sup>cm/h) than pure KET (<i>P<sub>app</sub></i> of (3.09 <math><mrow><mo>±</mo></mrow></math> 0.09) <math><mrow><mo>×</mo></mrow></math>10<sup>-4 </sup>cm/h). The cytotoxicity assay and the ocular irritation study in rabbits confirmed the KET-IC-ISG safety and well tolerance. The ocular pharmacokinetics of KET in rabbits was investigated and the results showed that the KET-IC-ISG increased its bioavailability in cornea by 47-fold. In conclusion, the KET-IC-ISG system promoted the precorneal retention, the ocular drug bioavailability and the developed formulation is a potential strategy to treat mycotic keratitis.</p>\",\"PeriodicalId\":11679,\"journal\":{\"name\":\"Drug Delivery\",\"volume\":\"31 1\",\"pages\":\"2424217\"},\"PeriodicalIF\":8.1000,\"publicationDate\":\"2024-12-01\",\"publicationTypes\":\"Journal Article\",\"fieldsOfStudy\":null,\"isOpenAccess\":false,\"openAccessPdf\":\"https://www.ncbi.nlm.nih.gov/pmc/articles/PMC11562027/pdf/\",\"citationCount\":\"0\",\"resultStr\":null,\"platform\":\"Semanticscholar\",\"paperid\":null,\"PeriodicalName\":\"Drug Delivery\",\"FirstCategoryId\":\"3\",\"ListUrlMain\":\"https://doi.org/10.1080/10717544.2024.2424217\",\"RegionNum\":2,\"RegionCategory\":\"医学\",\"ArticlePicture\":[],\"TitleCN\":null,\"AbstractTextCN\":null,\"PMCID\":null,\"EPubDate\":\"2024/11/12 0:00:00\",\"PubModel\":\"Epub\",\"JCR\":\"Q1\",\"JCRName\":\"PHARMACOLOGY & PHARMACY\",\"Score\":null,\"Total\":0}","platform":"Semanticscholar","paperid":null,"PeriodicalName":"Drug Delivery","FirstCategoryId":"3","ListUrlMain":"https://doi.org/10.1080/10717544.2024.2424217","RegionNum":2,"RegionCategory":"医学","ArticlePicture":[],"TitleCN":null,"AbstractTextCN":null,"PMCID":null,"EPubDate":"2024/11/12 0:00:00","PubModel":"Epub","JCR":"Q1","JCRName":"PHARMACOLOGY & PHARMACY","Score":null,"Total":0}
引用次数: 0

摘要

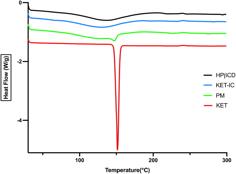
酮康唑(KET)虽然具有广谱抗真菌活性,但其水溶性较差,这限制了其在眼部给药中的应用。本研究旨在开发一种对离子敏感的 KET 原位凝胶(ISG),以提高 KET 在局部应用中的眼部生物利用度。通过与羟丙基-β-环糊精(HPβCD)络合来增加 KET 在水中的溶解度,然后将 KET-HPβCD 包合物(KET-IC)制成由海藻酸钠(SA)触发的离子敏感性 ISG。体外药物释放和抗真菌活性研究表明,与纯 KET 相比,KET-IC-ISG 制剂增加了药物释放和抗真菌活性。体内兔角膜渗透研究表明,KET-IC-ISG 制剂的渗透性(Papp 为 (6.34 ±0.21) ×10-4 cm/h)高于纯 KET(Papp 为 (3.09 ± 0.09) ×10-4 cm/h)。对兔子进行的细胞毒性试验和眼刺激试验证实了 KET-IC-ISG 的安全性和良好耐受性。研究了 KET 在兔子眼部的药代动力学,结果表明 KET-IC-ISG 使其在角膜中的生物利用度提高了 47 倍。总之,KET-IC-ISG 系统促进了角膜前保留和眼部药物生物利用度,所开发的制剂是治疗霉菌性角膜炎的一种潜在策略。
本文章由计算机程序翻译,如有差异,请以英文原文为准。

Development of ion-triggered <i>in situ</i> gel containing ketoconazole/hydroxypropyl-β-cyclodextrin for ocular delivery: <i>in vitro</i> and <i>in vivo</i> evaluation.

Development of ion-triggered <i>in situ</i> gel containing ketoconazole/hydroxypropyl-β-cyclodextrin for ocular delivery: <i>in vitro</i> and <i>in vivo</i> evaluation.

Development of ion-triggered <i>in situ</i> gel containing ketoconazole/hydroxypropyl-β-cyclodextrin for ocular delivery: <i>in vitro</i> and <i>in vivo</i> evaluation.

Development of ion-triggered in situ gel containing ketoconazole/hydroxypropyl-β-cyclodextrin for ocular delivery: in vitro and in vivo evaluation.

The application of ketoconazole (KET) in ocular drug delivery is restricted by its poor aqueous solubility though its broad-spectrum antifungal activity. The aim of this study is to develop an ion-sensitive in situ gel (ISG) of KET to promote its ocular bioavailability in topical application. The solubility of KET in water was increased by complexation with hydroxypropyl-β-cyclodextrin (HPβCD), then KET-HPβCD inclusion complex (KET-IC) was fabricated into an ion-sensitive ISG triggered by sodium alginate (SA). The in vitro drug release and antifungal activities investigations demonstrated that the KET-IC-ISG formulation increased drug release and anti-fungal activities compared to pure KET. The ex vivo rabbit corneal permeation studied demonstrated higher permeability of KET-IC-ISG formulation (Papp of (6.34 ±0.21) ×10-4 cm/h) than pure KET (Papp of (3.09 ± 0.09) ×10-4 cm/h). The cytotoxicity assay and the ocular irritation study in rabbits confirmed the KET-IC-ISG safety and well tolerance. The ocular pharmacokinetics of KET in rabbits was investigated and the results showed that the KET-IC-ISG increased its bioavailability in cornea by 47-fold. In conclusion, the KET-IC-ISG system promoted the precorneal retention, the ocular drug bioavailability and the developed formulation is a potential strategy to treat mycotic keratitis.

求助全文
通过发布文献求助,成功后即可免费获取论文全文。 去求助
来源期刊
Drug Delivery
Drug Delivery 医学-药学
CiteScore
11.80
自引率
5.00%
发文量
250
审稿时长
3.3 months
期刊介绍: Drug Delivery is an open access journal serving the academic and industrial communities with peer reviewed coverage of basic research, development, and application principles of drug delivery and targeting at molecular, cellular, and higher levels. Topics covered include all delivery systems including oral, pulmonary, nasal, parenteral and transdermal, and modes of entry such as controlled release systems; microcapsules, liposomes, vesicles, and macromolecular conjugates; antibody targeting; protein/peptide delivery; DNA, oligonucleotide and siRNA delivery. Papers on drug dosage forms and their optimization will not be considered unless they directly relate to the original drug delivery issues. Published articles present original research and critical reviews.
×
引用
GB/T 7714-2015
复制
MLA
复制
APA
复制
导出至
BibTeX EndNote RefMan NoteFirst NoteExpress
×
提示
您的信息不完整,为了账户安全,请先补充。
现在去补充
×
提示
您因"违规操作"
具体请查看互助需知
我知道了
×
提示
确定
请完成安全验证×
copy
已复制链接
快去分享给好友吧!
我知道了
右上角分享
点击右上角分享
0
联系我们:info@booksci.cn Book学术提供免费学术资源搜索服务,方便国内外学者检索中英文文献。致力于提供最便捷和优质的服务体验。 Copyright © 2023 布克学术 All rights reserved.
京ICP备2023020795号-1
ghs 京公网安备 11010802042870号
Book学术文献互助
Book学术文献互助群
群 号:604180095
Book学术官方微信