免疫挑战会导致亲代努力的下降和配偶的补偿。

IF 2.2 3区 环境科学与生态学 Q2 BEHAVIORAL SCIENCES
Behavioral Ecology Pub Date : 2024-10-10 eCollection Date: 2024-11-01 DOI:10.1093/beheco/arae086
Alejandro Martínez-Flores, Bibiana Montoya, Roxana Torres
{"title":"免疫挑战会导致亲代努力的下降和配偶的补偿。","authors":"Alejandro Martínez-Flores, Bibiana Montoya, Roxana Torres","doi":"10.1093/beheco/arae086","DOIUrl":null,"url":null,"abstract":"<p><p>Immune defense is fundamental to diminish the negative effects of the attack of infectious agents, yet the activation of the immune system entails costs and may compromise other life-history traits such as reproduction. In reproductive brown booby pairs (<i>Sula leucogaster</i>), we experimentally imposed an immune challenge during incubation, by intraperitoneally injecting <i>Escherichia coli</i> lipopolysaccharide (LPS), in either the male or the female. We aimed to test whether activation of the immune response results in (1) an increase in oxidative stress parameters, (2) a decline in post-hatching parental care in the treated individual, and (3) a compensation of the post-hatching parental effort by the nontreated mate. We found that activation of the immune response during incubation did not increase oxidative damage to lipids or total antioxidant capacity. However, mounting an immune response compromised parental effort during the chick-rearing period: compared to controls, LPS-treated parents showed roughly a 50% decline in the rate of preening and offspring feeding in response to begging. Interestingly, mates of LPS-treated parents increased their feeding rate suggesting parental care compensation. According to a scenario of full compensation, the decline in parental effort of LPS-treated parents did not result in poorer offspring growth or immune response, or increased levels of oxidative stress parameters. These findings suggest that in a long-lived species with long-lasting biparental care, an immune challenge compromises parental care, favoring parental compensation as a strategy to mitigate costs in terms of offspring success.</p>","PeriodicalId":8840,"journal":{"name":"Behavioral Ecology","volume":"35 6","pages":"arae086"},"PeriodicalIF":2.2000,"publicationDate":"2024-10-10","publicationTypes":"Journal Article","fieldsOfStudy":null,"isOpenAccess":false,"openAccessPdf":"https://www.ncbi.nlm.nih.gov/pmc/articles/PMC11558233/pdf/","citationCount":"0","resultStr":"{\"title\":\"An immune challenge induces a decline in parental effort and compensation by the mate.\",\"authors\":\"Alejandro Martínez-Flores, Bibiana Montoya, Roxana Torres\",\"doi\":\"10.1093/beheco/arae086\",\"DOIUrl\":null,\"url\":null,\"abstract\":\"<p><p>Immune defense is fundamental to diminish the negative effects of the attack of infectious agents, yet the activation of the immune system entails costs and may compromise other life-history traits such as reproduction. In reproductive brown booby pairs (<i>Sula leucogaster</i>), we experimentally imposed an immune challenge during incubation, by intraperitoneally injecting <i>Escherichia coli</i> lipopolysaccharide (LPS), in either the male or the female. We aimed to test whether activation of the immune response results in (1) an increase in oxidative stress parameters, (2) a decline in post-hatching parental care in the treated individual, and (3) a compensation of the post-hatching parental effort by the nontreated mate. We found that activation of the immune response during incubation did not increase oxidative damage to lipids or total antioxidant capacity. However, mounting an immune response compromised parental effort during the chick-rearing period: compared to controls, LPS-treated parents showed roughly a 50% decline in the rate of preening and offspring feeding in response to begging. Interestingly, mates of LPS-treated parents increased their feeding rate suggesting parental care compensation. According to a scenario of full compensation, the decline in parental effort of LPS-treated parents did not result in poorer offspring growth or immune response, or increased levels of oxidative stress parameters. These findings suggest that in a long-lived species with long-lasting biparental care, an immune challenge compromises parental care, favoring parental compensation as a strategy to mitigate costs in terms of offspring success.</p>\",\"PeriodicalId\":8840,\"journal\":{\"name\":\"Behavioral Ecology\",\"volume\":\"35 6\",\"pages\":\"arae086\"},\"PeriodicalIF\":2.2000,\"publicationDate\":\"2024-10-10\",\"publicationTypes\":\"Journal Article\",\"fieldsOfStudy\":null,\"isOpenAccess\":false,\"openAccessPdf\":\"https://www.ncbi.nlm.nih.gov/pmc/articles/PMC11558233/pdf/\",\"citationCount\":\"0\",\"resultStr\":null,\"platform\":\"Semanticscholar\",\"paperid\":null,\"PeriodicalName\":\"Behavioral Ecology\",\"FirstCategoryId\":\"93\",\"ListUrlMain\":\"https://doi.org/10.1093/beheco/arae086\",\"RegionNum\":3,\"RegionCategory\":\"环境科学与生态学\",\"ArticlePicture\":[],\"TitleCN\":null,\"AbstractTextCN\":null,\"PMCID\":null,\"EPubDate\":\"2024/11/1 0:00:00\",\"PubModel\":\"eCollection\",\"JCR\":\"Q2\",\"JCRName\":\"BEHAVIORAL SCIENCES\",\"Score\":null,\"Total\":0}","platform":"Semanticscholar","paperid":null,"PeriodicalName":"Behavioral Ecology","FirstCategoryId":"93","ListUrlMain":"https://doi.org/10.1093/beheco/arae086","RegionNum":3,"RegionCategory":"环境科学与生态学","ArticlePicture":[],"TitleCN":null,"AbstractTextCN":null,"PMCID":null,"EPubDate":"2024/11/1 0:00:00","PubModel":"eCollection","JCR":"Q2","JCRName":"BEHAVIORAL SCIENCES","Score":null,"Total":0}
引用次数: 0

摘要

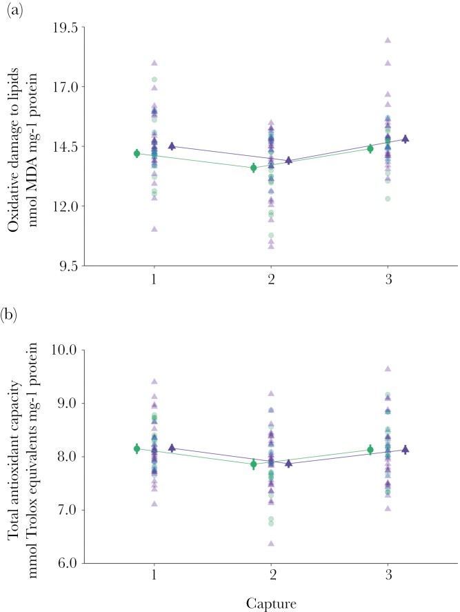
免疫防御是减少感染性病原体侵袭的负面影响的基础,然而免疫系统的激活需要付出代价,并可能损害其他生命史特征,如繁殖。在繁殖期棕色鲣鸟(Sula leucogaster)中,我们通过实验向雄鸟或雌鸟腹腔注射大肠杆菌脂多糖(LPS),在孵化过程中施加免疫挑战。我们的目的是检验免疫反应的激活是否会导致:(1)氧化应激参数的增加;(2)受影响个体孵化后亲代照顾的减少;以及(3)未受影响配偶对孵化后亲代照顾的补偿。我们发现,孵化过程中激活免疫反应不会增加脂质的氧化损伤或总抗氧化能力。然而,启动免疫反应会削弱亲鸟在雏鸟饲养期间的努力:与对照组相比,经 LPS 处理的亲鸟在雏鸟乞食时的开胃率和后代摄食率下降了约 50%。有趣的是,经 LPS 处理的亲鸟的配偶增加了喂食率,这表明亲鸟的照料得到了补偿。在完全补偿的情况下,经 LPS 处理的亲鸟的亲鸟努力程度下降并不会导致后代生长或免疫反应变差,也不会导致氧化应激参数水平升高。这些研究结果表明,在具有长期双亲照料的长寿物种中,免疫挑战会损害亲代照料,因此亲代补偿是一种减轻后代成功成本的策略。
本文章由计算机程序翻译,如有差异,请以英文原文为准。

An immune challenge induces a decline in parental effort and compensation by the mate.

An immune challenge induces a decline in parental effort and compensation by the mate.

An immune challenge induces a decline in parental effort and compensation by the mate.

An immune challenge induces a decline in parental effort and compensation by the mate.

Immune defense is fundamental to diminish the negative effects of the attack of infectious agents, yet the activation of the immune system entails costs and may compromise other life-history traits such as reproduction. In reproductive brown booby pairs (Sula leucogaster), we experimentally imposed an immune challenge during incubation, by intraperitoneally injecting Escherichia coli lipopolysaccharide (LPS), in either the male or the female. We aimed to test whether activation of the immune response results in (1) an increase in oxidative stress parameters, (2) a decline in post-hatching parental care in the treated individual, and (3) a compensation of the post-hatching parental effort by the nontreated mate. We found that activation of the immune response during incubation did not increase oxidative damage to lipids or total antioxidant capacity. However, mounting an immune response compromised parental effort during the chick-rearing period: compared to controls, LPS-treated parents showed roughly a 50% decline in the rate of preening and offspring feeding in response to begging. Interestingly, mates of LPS-treated parents increased their feeding rate suggesting parental care compensation. According to a scenario of full compensation, the decline in parental effort of LPS-treated parents did not result in poorer offspring growth or immune response, or increased levels of oxidative stress parameters. These findings suggest that in a long-lived species with long-lasting biparental care, an immune challenge compromises parental care, favoring parental compensation as a strategy to mitigate costs in terms of offspring success.

求助全文
通过发布文献求助,成功后即可免费获取论文全文。 去求助
来源期刊
Behavioral Ecology
Behavioral Ecology 环境科学-动物学
CiteScore
5.20
自引率
8.30%
发文量
93
审稿时长
3.0 months
期刊介绍: Studies on the whole range of behaving organisms, including plants, invertebrates, vertebrates, and humans, are included. Behavioral Ecology construes the field in its broadest sense to include 1) the use of ecological and evolutionary processes to explain the occurrence and adaptive significance of behavior patterns; 2) the use of behavioral processes to predict ecological patterns, and 3) empirical, comparative analyses relating behavior to the environment in which it occurs.
×
引用
GB/T 7714-2015
复制
MLA
复制
APA
复制
导出至
BibTeX EndNote RefMan NoteFirst NoteExpress
×
提示
您的信息不完整,为了账户安全,请先补充。
现在去补充
×
提示
您因"违规操作"
具体请查看互助需知
我知道了
×
提示
确定
请完成安全验证×
copy
已复制链接
快去分享给好友吧!
我知道了
右上角分享
点击右上角分享
0
联系我们:info@booksci.cn Book学术提供免费学术资源搜索服务,方便国内外学者检索中英文文献。致力于提供最便捷和优质的服务体验。 Copyright © 2023 布克学术 All rights reserved.
京ICP备2023020795号-1
ghs 京公网安备 11010802042870号
Book学术文献互助
Book学术文献互助群
群 号:604180095
Book学术官方微信