[胰岛素水平、血糖、胰岛素抵抗和β细胞功能与北极原住民的生活方式有关。是否有糖尿病的条件,是哪种类型?]

A V Strelkova, F A Bichkaeva, O S Vlasova, E V Nesterova, B A Shengof, T B Gretskaya
{"title":"[胰岛素水平、血糖、胰岛素抵抗和β细胞功能与北极原住民的生活方式有关。是否有糖尿病的条件,是哪种类型?]","authors":"A V Strelkova, F A Bichkaeva, O S Vlasova, E V Nesterova, B A Shengof, T B Gretskaya","doi":"10.14341/probl13411","DOIUrl":null,"url":null,"abstract":"<p><strong>Background: </strong>Modern studies suggest that lifestyle changes of the indigenous Arctic residents lead to the loss of the \"adaptive polar type of metabolism\", which is characterized by the intensification of protein metabolism, optimization of lipid metabolism, and minimization of carbohydrate metabolism at low insulin concentrations. How to survive the era of change?</p><p><strong>Aim: </strong>To assess insulinemia, glycemia, β-cell secretory activity, and insulin sensitivity in Arctic indigenous people in relation to their lifestyle.</p><p><strong>Materials and methods: </strong>A cross-sectional study of a population of indigenous Arctic residents (Nenets, Komi) aged from 22 to 60 years was conducted. Insulin levels were studied in blood serum using ELISA, and glucose levels using the spectrophotometric method. Insulin resistance (HOMA-IR) and β-cell function (HOMA1-%β) indices were calculated.</p><p><strong>Results: </strong>397 people were examined; 89 (22%) of them were nomadic people (NP) and 44 (49%) were male. Another 308 (78%) were sedentary people (SP), and 69 (22%) were male. The insulin level was significantly lower in NP (6.0 [3.5-11.8] µU/ml) compared to SP (8.3 [4.6-13.1] µU/ml), p=0.006. There was no difference in glycemia (4.6 [4.2-5.0] in NP and 4.6 [4.1-5.2] in SP) between lifestyles.The HOMA-IR was significantly lower in NP (1.3 [0.7-2.4]) than in SP (1.8 [0.95-2.8]), p=0.013. IR-HOMA &gt;2 units was 1.8 times more frequent in the SP than in NP, with adjusted for sex, age, and BMI OR=0.56; 95% CI: 0.33-0.96, p=0.034. The median HOMA1-%β was 128 [67-241] % in NP and 144 [93-236]% in SP with no significant differences between groups. The proportion of individuals with HOMA1-%β &lt;48.9 was 17% in NP versus 5% in SP, p&lt;0.001. The adjusted odds of having HOMA1-%β &lt;48.9 in NP are 3.5 times higher than in SP; 95% CI: 1.56-7.92, p=0.002. Fifty-six cases of glycemia ≥5.6 mmol/l were identified: 13.5% in NP and 14.3% in SP. The ratio IR-HOMA &gt;2/ HOMA1-%β &lt;48.9/BMI was 1.8 units/45%/25.2 kg/m2 in NP and 3.0 units/88%/29.6 kg/m2 in SP.</p><p><strong>Conclusion: </strong>Maintaining a nomadic lifestyle helps keep lower insulin concentrations; at the same time, glycemic levels in the groups were similar. In the NP group, there was a high proportion of individuals with low β-cell secretory activity, predominantly men; in the SP group, more individuals were insulin-resistant. Analysis of cases of glycemia ≥5.6 mmol/l confirmed, that hyperglycemia in a nomadic lifestyle was associated with β-cell hypofunction and the absence of obesity; on the contrary, in a sedentary lifestyle, it was associated with increased insulin resistance and obesity.</p>","PeriodicalId":101419,"journal":{"name":"Problemy endokrinologii","volume":"70 5","pages":"54-69"},"PeriodicalIF":0.0000,"publicationDate":"2024-11-05","publicationTypes":"Journal Article","fieldsOfStudy":null,"isOpenAccess":false,"openAccessPdf":"https://www.ncbi.nlm.nih.gov/pmc/articles/PMC11610644/pdf/","citationCount":"0","resultStr":"{\"title\":\"[Insulin level, glycemia, insulin resistance and β-cell function in relation to the lifestyle of Arctic indigenous people. Are there conditions for diabetes and which type?]\",\"authors\":\"A V Strelkova, F A Bichkaeva, O S Vlasova, E V Nesterova, B A Shengof, T B Gretskaya\",\"doi\":\"10.14341/probl13411\",\"DOIUrl\":null,\"url\":null,\"abstract\":\"<p><strong>Background: </strong>Modern studies suggest that lifestyle changes of the indigenous Arctic residents lead to the loss of the \\\"adaptive polar type of metabolism\\\", which is characterized by the intensification of protein metabolism, optimization of lipid metabolism, and minimization of carbohydrate metabolism at low insulin concentrations. How to survive the era of change?</p><p><strong>Aim: </strong>To assess insulinemia, glycemia, β-cell secretory activity, and insulin sensitivity in Arctic indigenous people in relation to their lifestyle.</p><p><strong>Materials and methods: </strong>A cross-sectional study of a population of indigenous Arctic residents (Nenets, Komi) aged from 22 to 60 years was conducted. Insulin levels were studied in blood serum using ELISA, and glucose levels using the spectrophotometric method. Insulin resistance (HOMA-IR) and β-cell function (HOMA1-%β) indices were calculated.</p><p><strong>Results: </strong>397 people were examined; 89 (22%) of them were nomadic people (NP) and 44 (49%) were male. Another 308 (78%) were sedentary people (SP), and 69 (22%) were male. The insulin level was significantly lower in NP (6.0 [3.5-11.8] µU/ml) compared to SP (8.3 [4.6-13.1] µU/ml), p=0.006. There was no difference in glycemia (4.6 [4.2-5.0] in NP and 4.6 [4.1-5.2] in SP) between lifestyles.The HOMA-IR was significantly lower in NP (1.3 [0.7-2.4]) than in SP (1.8 [0.95-2.8]), p=0.013. IR-HOMA &gt;2 units was 1.8 times more frequent in the SP than in NP, with adjusted for sex, age, and BMI OR=0.56; 95% CI: 0.33-0.96, p=0.034. The median HOMA1-%β was 128 [67-241] % in NP and 144 [93-236]% in SP with no significant differences between groups. The proportion of individuals with HOMA1-%β &lt;48.9 was 17% in NP versus 5% in SP, p&lt;0.001. The adjusted odds of having HOMA1-%β &lt;48.9 in NP are 3.5 times higher than in SP; 95% CI: 1.56-7.92, p=0.002. Fifty-six cases of glycemia ≥5.6 mmol/l were identified: 13.5% in NP and 14.3% in SP. The ratio IR-HOMA &gt;2/ HOMA1-%β &lt;48.9/BMI was 1.8 units/45%/25.2 kg/m2 in NP and 3.0 units/88%/29.6 kg/m2 in SP.</p><p><strong>Conclusion: </strong>Maintaining a nomadic lifestyle helps keep lower insulin concentrations; at the same time, glycemic levels in the groups were similar. In the NP group, there was a high proportion of individuals with low β-cell secretory activity, predominantly men; in the SP group, more individuals were insulin-resistant. Analysis of cases of glycemia ≥5.6 mmol/l confirmed, that hyperglycemia in a nomadic lifestyle was associated with β-cell hypofunction and the absence of obesity; on the contrary, in a sedentary lifestyle, it was associated with increased insulin resistance and obesity.</p>\",\"PeriodicalId\":101419,\"journal\":{\"name\":\"Problemy endokrinologii\",\"volume\":\"70 5\",\"pages\":\"54-69\"},\"PeriodicalIF\":0.0000,\"publicationDate\":\"2024-11-05\",\"publicationTypes\":\"Journal Article\",\"fieldsOfStudy\":null,\"isOpenAccess\":false,\"openAccessPdf\":\"https://www.ncbi.nlm.nih.gov/pmc/articles/PMC11610644/pdf/\",\"citationCount\":\"0\",\"resultStr\":null,\"platform\":\"Semanticscholar\",\"paperid\":null,\"PeriodicalName\":\"Problemy endokrinologii\",\"FirstCategoryId\":\"1085\",\"ListUrlMain\":\"https://doi.org/10.14341/probl13411\",\"RegionNum\":0,\"RegionCategory\":null,\"ArticlePicture\":[],\"TitleCN\":null,\"AbstractTextCN\":null,\"PMCID\":null,\"EPubDate\":\"\",\"PubModel\":\"\",\"JCR\":\"\",\"JCRName\":\"\",\"Score\":null,\"Total\":0}","platform":"Semanticscholar","paperid":null,"PeriodicalName":"Problemy endokrinologii","FirstCategoryId":"1085","ListUrlMain":"https://doi.org/10.14341/probl13411","RegionNum":0,"RegionCategory":null,"ArticlePicture":[],"TitleCN":null,"AbstractTextCN":null,"PMCID":null,"EPubDate":"","PubModel":"","JCR":"","JCRName":"","Score":null,"Total":0}
引用次数: 0

摘要

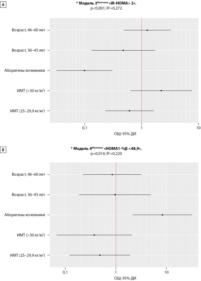
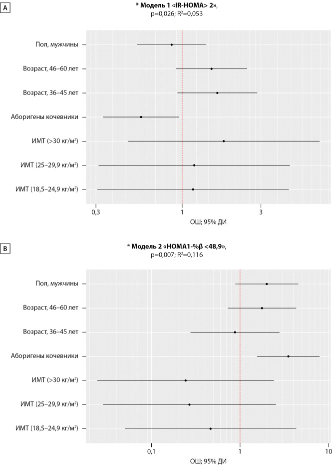
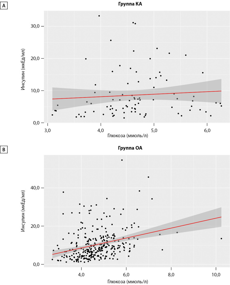
背景:现代研究表明,北极土著居民生活方式的改变导致了 "适应性极地代谢 "的丧失,这种代谢的特点是在低胰岛素浓度下加强蛋白质代谢、优化脂质代谢和减少碳水化合物代谢。如何在变革时代生存下去?目的:评估北极原住民的胰岛素血症、血糖、β细胞分泌活性和胰岛素敏感性与其生活方式的关系:对 22 至 60 岁的北极原住居民(涅涅茨人、科米人)进行了横断面研究。使用酶联免疫吸附法研究了血清中的胰岛素水平,使用分光光度法研究了血糖水平。计算了胰岛素抵抗(HOMA-IR)和β细胞功能(HOMA1-%β)指数:受试者共 397 人,其中 89 人(22%)为游牧民族(NP),44 人(49%)为男性。另有 308 人(78%)为久坐人群(SP),其中 69 人(22%)为男性。游牧民的胰岛素水平(6.0 [3.5-11.8] µU/ml)明显低于定居者(8.3 [4.6-13.1] µU/ml),P=0.006。不同生活方式的血糖值(NP 为 4.6 [4.2-5.0] ,SP 为 4.6 [4.1-5.2])没有差异。NP 的 HOMA-IR 值(1.3 [0.7-2.4] )明显低于 SP(1.8 [0.95-2.8]),P=0.013。SP中IR-HOMA >2单位的发生率是NP的1.8倍,调整性别、年龄和体重指数后OR=0.56;95% CI:0.33-0.96,P=0.034。NP 和 SP 的 HOMA1-%β 中位数分别为 128 [67-241] % 和 144 [93-236]%,组间无显著差异。HOMA1-%β为48.9的患者比例在NP中为17%,在SP中为5%,P<0.001。NP 中 HOMA1-%β <48.9 的调整后几率是 SP 的 3.5 倍;95% CI:1.56-7.92,p=0.002。56 例血糖≥5.6 mmol/l:NP为13.5%,SP为14.3%。IR-HOMA>2/HOMA1-%β<48.9/BMI之比,NP为1.8单位/45%/25.2 kg/m2,SP为3.0单位/88%/29.6 kg/m2:保持游牧生活方式有助于保持较低的胰岛素浓度;同时,两组的血糖水平相似。在 NP 组中,β 细胞分泌活性低的人比例较高,主要是男性;在 SP 组中,胰岛素抵抗的人较多。对血糖≥5.6 毫摩尔/升病例的分析证实,游牧生活方式下的高血糖与 β 细胞功能低下和无肥胖有关;相反,久坐生活方式下的高血糖与胰岛素抵抗和肥胖增加有关。
本文章由计算机程序翻译,如有差异,请以英文原文为准。

[Insulin level, glycemia, insulin resistance and β-cell function in relation to the lifestyle of Arctic indigenous people. Are there conditions for diabetes and which type?]

[Insulin level, glycemia, insulin resistance and β-cell function in relation to the lifestyle of Arctic indigenous people. Are there conditions for diabetes and which type?]

[Insulin level, glycemia, insulin resistance and β-cell function in relation to the lifestyle of Arctic indigenous people. Are there conditions for diabetes and which type?]

[Insulin level, glycemia, insulin resistance and β-cell function in relation to the lifestyle of Arctic indigenous people. Are there conditions for diabetes and which type?]

Background: Modern studies suggest that lifestyle changes of the indigenous Arctic residents lead to the loss of the "adaptive polar type of metabolism", which is characterized by the intensification of protein metabolism, optimization of lipid metabolism, and minimization of carbohydrate metabolism at low insulin concentrations. How to survive the era of change?

Aim: To assess insulinemia, glycemia, β-cell secretory activity, and insulin sensitivity in Arctic indigenous people in relation to their lifestyle.

Materials and methods: A cross-sectional study of a population of indigenous Arctic residents (Nenets, Komi) aged from 22 to 60 years was conducted. Insulin levels were studied in blood serum using ELISA, and glucose levels using the spectrophotometric method. Insulin resistance (HOMA-IR) and β-cell function (HOMA1-%β) indices were calculated.

Results: 397 people were examined; 89 (22%) of them were nomadic people (NP) and 44 (49%) were male. Another 308 (78%) were sedentary people (SP), and 69 (22%) were male. The insulin level was significantly lower in NP (6.0 [3.5-11.8] µU/ml) compared to SP (8.3 [4.6-13.1] µU/ml), p=0.006. There was no difference in glycemia (4.6 [4.2-5.0] in NP and 4.6 [4.1-5.2] in SP) between lifestyles.The HOMA-IR was significantly lower in NP (1.3 [0.7-2.4]) than in SP (1.8 [0.95-2.8]), p=0.013. IR-HOMA >2 units was 1.8 times more frequent in the SP than in NP, with adjusted for sex, age, and BMI OR=0.56; 95% CI: 0.33-0.96, p=0.034. The median HOMA1-%β was 128 [67-241] % in NP and 144 [93-236]% in SP with no significant differences between groups. The proportion of individuals with HOMA1-%β <48.9 was 17% in NP versus 5% in SP, p<0.001. The adjusted odds of having HOMA1-%β <48.9 in NP are 3.5 times higher than in SP; 95% CI: 1.56-7.92, p=0.002. Fifty-six cases of glycemia ≥5.6 mmol/l were identified: 13.5% in NP and 14.3% in SP. The ratio IR-HOMA >2/ HOMA1-%β <48.9/BMI was 1.8 units/45%/25.2 kg/m2 in NP and 3.0 units/88%/29.6 kg/m2 in SP.

Conclusion: Maintaining a nomadic lifestyle helps keep lower insulin concentrations; at the same time, glycemic levels in the groups were similar. In the NP group, there was a high proportion of individuals with low β-cell secretory activity, predominantly men; in the SP group, more individuals were insulin-resistant. Analysis of cases of glycemia ≥5.6 mmol/l confirmed, that hyperglycemia in a nomadic lifestyle was associated with β-cell hypofunction and the absence of obesity; on the contrary, in a sedentary lifestyle, it was associated with increased insulin resistance and obesity.

求助全文
通过发布文献求助,成功后即可免费获取论文全文。 去求助
来源期刊
自引率
0.00%
发文量
0
×
引用
GB/T 7714-2015
复制
MLA
复制
APA
复制
导出至
BibTeX EndNote RefMan NoteFirst NoteExpress
×
提示
您的信息不完整,为了账户安全,请先补充。
现在去补充
×
提示
您因"违规操作"
具体请查看互助需知
我知道了
×
提示
确定
请完成安全验证×
copy
已复制链接
快去分享给好友吧!
我知道了
右上角分享
点击右上角分享
0
联系我们:info@booksci.cn Book学术提供免费学术资源搜索服务,方便国内外学者检索中英文文献。致力于提供最便捷和优质的服务体验。 Copyright © 2023 布克学术 All rights reserved.
京ICP备2023020795号-1
ghs 京公网安备 11010802042870号
Book学术文献互助
Book学术文献互助群
群 号:604180095
Book学术官方微信