从 Ramalina anceps Nyl.中提取的一种去苷酮--去甲睾酮酸衍生物的细胞毒性。

IF 1.4 4区 化学 Q3 CHEMISTRY, MULTIDISCIPLINARY
Turkish Journal of Chemistry Pub Date : 2024-08-05 eCollection Date: 2024-01-01 DOI:10.55730/1300-0527.3694
Danielle Bogo, Isabel Máximo C Alcântara, Glaucia B Alcantara, Ana Camila Micheletti, Neli K Honda, Maria de Fátima C Matos
{"title":"从 Ramalina anceps Nyl.中提取的一种去苷酮--去甲睾酮酸衍生物的细胞毒性。","authors":"Danielle Bogo, Isabel Máximo C Alcântara, Glaucia B Alcantara, Ana Camila Micheletti, Neli K Honda, Maria de Fátima C Matos","doi":"10.55730/1300-0527.3694","DOIUrl":null,"url":null,"abstract":"<p><p>Structural modifications in lichen phenolic compounds have been one of the tools to potentiate their biological activity. In the present work, seven alkyl derivatives of norstictic acid were prepared and evaluated against eight cell lines. Norstictic acid was isolated from the lichen <i>Ramalina anceps</i> and the alkyl derivatives were obtained through reactions with alcohols. Cytotoxicity was evaluated against the 786-0 (kidney carcinoma), MCF7 (breast carcinoma), HT-29 (colon carcinoma), PC-03 (prostate carcinoma), HEP2 (laryngeal carcinoma), B16-F10 (murine melanoma), UACC-62 (human melanoma), and NIH/3T3 (mouse embryonic fibroblast) cell lines using the sulforhodamine B assay. Norstictic acid exhibited poor activity, while the 8'-<i>O</i>-<i>n</i>-butyl-norstictic acid and 8'-<i>O</i>-<i>sec</i>-butyl-norstictic acid derivatives showed potential activity (GI<sub>50</sub> values of 6.37-45.0 μM and 6.8-52.40 μM, respectively) and high selectivity (selectivity index (SI) values of 13.88-98.11 and SI 11.30-87.40, respectively) against all tumor cells. The 8'-<i>O</i>-<i>n</i>-hexyl-norstictic acid showed good activity (5.96-9.53 μM) and moderate selectivity (SI 9.2-5.76) against MCF7, HT-29, PC-03, and HEP2 cells, while 8'-<i>O</i>-isopropyl-norstictic acid demonstrated high activity and selectivity against PC-03 cells (GI<sub>50</sub> 1.28 μM and SI 33.8), and was highly active but moderately selective against UACC, HEP2, and B16-F10 cells (GI<sub>50</sub> 6.2, 7.78, and 9.65 μM; SI 7.0, 5.5, and 4.5, respectively). Additionally, 8'-<i>O</i>-<i>n</i>-pentyl- and 8'-O-<i>tert</i>-butyl-norstictic acids were active and selective against PC-03 cells (GI<sub>50</sub> 8.77 and 7.60 μM; SI 6.53 and 5.0, respectively). Chemometric analysis revealed a clear relationship between all compounds and their biological activities. The insertion of a four-carbon alkyl chain (<i>n</i>-butyl and <i>sec</i>-butyl) produced potentially active compounds on all tested tumor cells.</p>","PeriodicalId":23367,"journal":{"name":"Turkish Journal of Chemistry","volume":"48 5","pages":"748-755"},"PeriodicalIF":1.4000,"publicationDate":"2024-08-05","publicationTypes":"Journal Article","fieldsOfStudy":null,"isOpenAccess":false,"openAccessPdf":"https://www.ncbi.nlm.nih.gov/pmc/articles/PMC11539907/pdf/","citationCount":"0","resultStr":"{\"title\":\"Cytotoxicity of norstictic acid derivatives, a depsidone from <i>Ramalina anceps</i> Nyl.\",\"authors\":\"Danielle Bogo, Isabel Máximo C Alcântara, Glaucia B Alcantara, Ana Camila Micheletti, Neli K Honda, Maria de Fátima C Matos\",\"doi\":\"10.55730/1300-0527.3694\",\"DOIUrl\":null,\"url\":null,\"abstract\":\"<p><p>Structural modifications in lichen phenolic compounds have been one of the tools to potentiate their biological activity. In the present work, seven alkyl derivatives of norstictic acid were prepared and evaluated against eight cell lines. Norstictic acid was isolated from the lichen <i>Ramalina anceps</i> and the alkyl derivatives were obtained through reactions with alcohols. Cytotoxicity was evaluated against the 786-0 (kidney carcinoma), MCF7 (breast carcinoma), HT-29 (colon carcinoma), PC-03 (prostate carcinoma), HEP2 (laryngeal carcinoma), B16-F10 (murine melanoma), UACC-62 (human melanoma), and NIH/3T3 (mouse embryonic fibroblast) cell lines using the sulforhodamine B assay. Norstictic acid exhibited poor activity, while the 8'-<i>O</i>-<i>n</i>-butyl-norstictic acid and 8'-<i>O</i>-<i>sec</i>-butyl-norstictic acid derivatives showed potential activity (GI<sub>50</sub> values of 6.37-45.0 μM and 6.8-52.40 μM, respectively) and high selectivity (selectivity index (SI) values of 13.88-98.11 and SI 11.30-87.40, respectively) against all tumor cells. The 8'-<i>O</i>-<i>n</i>-hexyl-norstictic acid showed good activity (5.96-9.53 μM) and moderate selectivity (SI 9.2-5.76) against MCF7, HT-29, PC-03, and HEP2 cells, while 8'-<i>O</i>-isopropyl-norstictic acid demonstrated high activity and selectivity against PC-03 cells (GI<sub>50</sub> 1.28 μM and SI 33.8), and was highly active but moderately selective against UACC, HEP2, and B16-F10 cells (GI<sub>50</sub> 6.2, 7.78, and 9.65 μM; SI 7.0, 5.5, and 4.5, respectively). Additionally, 8'-<i>O</i>-<i>n</i>-pentyl- and 8'-O-<i>tert</i>-butyl-norstictic acids were active and selective against PC-03 cells (GI<sub>50</sub> 8.77 and 7.60 μM; SI 6.53 and 5.0, respectively). Chemometric analysis revealed a clear relationship between all compounds and their biological activities. The insertion of a four-carbon alkyl chain (<i>n</i>-butyl and <i>sec</i>-butyl) produced potentially active compounds on all tested tumor cells.</p>\",\"PeriodicalId\":23367,\"journal\":{\"name\":\"Turkish Journal of Chemistry\",\"volume\":\"48 5\",\"pages\":\"748-755\"},\"PeriodicalIF\":1.4000,\"publicationDate\":\"2024-08-05\",\"publicationTypes\":\"Journal Article\",\"fieldsOfStudy\":null,\"isOpenAccess\":false,\"openAccessPdf\":\"https://www.ncbi.nlm.nih.gov/pmc/articles/PMC11539907/pdf/\",\"citationCount\":\"0\",\"resultStr\":null,\"platform\":\"Semanticscholar\",\"paperid\":null,\"PeriodicalName\":\"Turkish Journal of Chemistry\",\"FirstCategoryId\":\"92\",\"ListUrlMain\":\"https://doi.org/10.55730/1300-0527.3694\",\"RegionNum\":4,\"RegionCategory\":\"化学\",\"ArticlePicture\":[],\"TitleCN\":null,\"AbstractTextCN\":null,\"PMCID\":null,\"EPubDate\":\"2024/1/1 0:00:00\",\"PubModel\":\"eCollection\",\"JCR\":\"Q3\",\"JCRName\":\"CHEMISTRY, MULTIDISCIPLINARY\",\"Score\":null,\"Total\":0}","platform":"Semanticscholar","paperid":null,"PeriodicalName":"Turkish Journal of Chemistry","FirstCategoryId":"92","ListUrlMain":"https://doi.org/10.55730/1300-0527.3694","RegionNum":4,"RegionCategory":"化学","ArticlePicture":[],"TitleCN":null,"AbstractTextCN":null,"PMCID":null,"EPubDate":"2024/1/1 0:00:00","PubModel":"eCollection","JCR":"Q3","JCRName":"CHEMISTRY, MULTIDISCIPLINARY","Score":null,"Total":0}
引用次数: 0

摘要

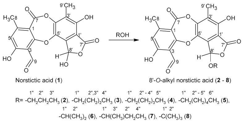
地衣酚类化合物的结构修饰是增强其生物活性的工具之一。在本研究中,制备了七种诺司替考酸烷基衍生物,并对八种细胞系进行了评估。诺斯替酸是从地衣中分离出来的,而烷基衍生物则是通过与醇反应获得的。使用磺基罗丹明 B 检测法评估了 786-0(肾癌)、MCF7(乳腺癌)、HT-29(结肠癌)、PC-03(前列腺癌)、HEP2(喉癌)、B16-F10(鼠黑色素瘤)、UACC-62(人黑色素瘤)和 NIH/3T3 (小鼠胚胎成纤维细胞)细胞系的细胞毒性。去甲乌头酸的活性较差,而 8'-O- 正丁基去甲乌头酸和 8'-O- 仲丁基去甲乌头酸衍生物对所有肿瘤细胞都显示出潜在的活性(GI50 值分别为 6.37-45.0 μM 和 6.8-52.40 μM)和高选择性(选择性指数 (SI) 值分别为 13.88-98.11 和 SI 11.30-87.40)。8'-O-n-hexyl-norstictic acid 对 MCF7、HT-29、PC-03 和 HEP2 细胞表现出良好的活性(5.96-9.53 μM)和中等的选择性(SI 9.2-5.76),而 8'-O-isopropyl-norstictic acid 对 PC-03 细胞表现出较高的活性和选择性(GI50 1.28 μM 和 SI 33.8),对 UACC、HEP2 和 B16-F10 细胞具有高活性和中等选择性(GI50 分别为 6.2、7.78 和 9.65 μM;SI 分别为 7.0、5.5 和 4.5)。此外,8'-O-正戊基-和 8'-O- 叔丁基-正丁基酸对 PC-03 细胞具有活性和选择性(GI50 分别为 8.77 和 7.60 μM;SI 分别为 6.53 和 5.0)。化学计量分析表明,所有化合物与其生物活性之间都存在明确的关系。插入四碳烷基链(正丁基和仲丁基)的化合物对所有测试的肿瘤细胞都具有潜在的活性。
本文章由计算机程序翻译,如有差异,请以英文原文为准。

Cytotoxicity of norstictic acid derivatives, a depsidone from <i>Ramalina anceps</i> Nyl.

Cytotoxicity of norstictic acid derivatives, a depsidone from <i>Ramalina anceps</i> Nyl.

Cytotoxicity of norstictic acid derivatives, a depsidone from <i>Ramalina anceps</i> Nyl.

Cytotoxicity of norstictic acid derivatives, a depsidone from Ramalina anceps Nyl.

Structural modifications in lichen phenolic compounds have been one of the tools to potentiate their biological activity. In the present work, seven alkyl derivatives of norstictic acid were prepared and evaluated against eight cell lines. Norstictic acid was isolated from the lichen Ramalina anceps and the alkyl derivatives were obtained through reactions with alcohols. Cytotoxicity was evaluated against the 786-0 (kidney carcinoma), MCF7 (breast carcinoma), HT-29 (colon carcinoma), PC-03 (prostate carcinoma), HEP2 (laryngeal carcinoma), B16-F10 (murine melanoma), UACC-62 (human melanoma), and NIH/3T3 (mouse embryonic fibroblast) cell lines using the sulforhodamine B assay. Norstictic acid exhibited poor activity, while the 8'-O-n-butyl-norstictic acid and 8'-O-sec-butyl-norstictic acid derivatives showed potential activity (GI50 values of 6.37-45.0 μM and 6.8-52.40 μM, respectively) and high selectivity (selectivity index (SI) values of 13.88-98.11 and SI 11.30-87.40, respectively) against all tumor cells. The 8'-O-n-hexyl-norstictic acid showed good activity (5.96-9.53 μM) and moderate selectivity (SI 9.2-5.76) against MCF7, HT-29, PC-03, and HEP2 cells, while 8'-O-isopropyl-norstictic acid demonstrated high activity and selectivity against PC-03 cells (GI50 1.28 μM and SI 33.8), and was highly active but moderately selective against UACC, HEP2, and B16-F10 cells (GI50 6.2, 7.78, and 9.65 μM; SI 7.0, 5.5, and 4.5, respectively). Additionally, 8'-O-n-pentyl- and 8'-O-tert-butyl-norstictic acids were active and selective against PC-03 cells (GI50 8.77 and 7.60 μM; SI 6.53 and 5.0, respectively). Chemometric analysis revealed a clear relationship between all compounds and their biological activities. The insertion of a four-carbon alkyl chain (n-butyl and sec-butyl) produced potentially active compounds on all tested tumor cells.

求助全文
通过发布文献求助,成功后即可免费获取论文全文。 去求助
来源期刊
Turkish Journal of Chemistry
Turkish Journal of Chemistry 化学-工程:化工
CiteScore
2.40
自引率
7.10%
发文量
87
审稿时长
3 months
期刊介绍: The Turkish Journal of Chemistry is a bimonthly multidisciplinary journal published by the Scientific and Technological Research Council of Turkey (TÜBİTAK). The journal is dedicated to dissemination of knowledge in all disciplines of chemistry (organic, inorganic, physical, polymeric, technical, theoretical and analytical chemistry) as well as research at the interface with other sciences especially in chemical engineering where molecular aspects are key to the findings. The journal accepts English-language original manuscripts and contribution is open to researchers of all nationalities. The journal publishes refereed original papers, reviews, letters to editor and issues devoted to special fields. All manuscripts are peer-reviewed and electronic processing ensures accurate reproduction of text and data, plus publication times as short as possible.
×
引用
GB/T 7714-2015
复制
MLA
复制
APA
复制
导出至
BibTeX EndNote RefMan NoteFirst NoteExpress
×
提示
您的信息不完整,为了账户安全,请先补充。
现在去补充
×
提示
您因"违规操作"
具体请查看互助需知
我知道了
×
提示
确定
请完成安全验证×
copy
已复制链接
快去分享给好友吧!
我知道了
右上角分享
点击右上角分享
0
联系我们:info@booksci.cn Book学术提供免费学术资源搜索服务,方便国内外学者检索中英文文献。致力于提供最便捷和优质的服务体验。 Copyright © 2023 布克学术 All rights reserved.
京ICP备2023020795号-1
ghs 京公网安备 11010802042870号
Book学术文献互助
Book学术文献互助群
群 号:604180095
Book学术官方微信