COVID-19大流行期间青少年和年轻人使用抗抑郁药的激增:间断时间序列分析的启示。

IF 6.1 2区 医学 Q1 PSYCHIATRY
Zeno Di Valerio, Daniela Fortuna, Marco Montalti, Lucia Alberghini, Anna Caterina Leucci, Alessio Saponaro, Elisa Sangiorgi, Elena Berti, Maurizia Rolli, Dario Tedesco
{"title":"COVID-19大流行期间青少年和年轻人使用抗抑郁药的激增:间断时间序列分析的启示。","authors":"Zeno Di Valerio, Daniela Fortuna, Marco Montalti, Lucia Alberghini, Anna Caterina Leucci, Alessio Saponaro, Elisa Sangiorgi, Elena Berti, Maurizia Rolli, Dario Tedesco","doi":"10.1017/S2045796024000647","DOIUrl":null,"url":null,"abstract":"<p><strong>Background: </strong>Depressive disorders are a major public health issue in Western societies, particularly among adolescents, young adults and women. The COVID-19 pandemic has exacerbated mental health challenges, increasing depression and anxiety symptoms, especially in younger people. This study focuses on the hard-hit Emilia-Romagna Region (ERR) in Italy, examining changes in antidepressant (AD) drug use post-COVID-19 to understand the pandemic's effect on mental health.</p><p><strong>Methods: </strong>A population-based interrupted time series design and a segmented regression analysis was carried out on ERR pharmaceutical data (FED, direct dispensation pharmaceuticals, AFT, territorial pharmaceutical assistance) out to estimate changes in AD use during the three pandemic years (2020, 2021 and 2022) compared to 2017-2019.Analyses were stratified by age, gender, citizenship, population density of the area of residence.</p><p><strong>Results: </strong>A notable increase in AD consumption compared to what was expected was observed among younger age groups, and especially in females. In the 12-19 age group, a gradual increase was recorded from January 2021 until it reached +48% in 2022 (+58% among women, +30% among men). An even more remarkable growth in AD usage among non-Italian residents in the same age group was recorded compared to expected. A relevant increase, although smaller, was detected among individuals in the 20-34 age group, with a peak of +9% in 2022. These differences persisted up until the end of the observation period.</p><p><strong>Conclusions: </strong>The study suggests that the COVID-19 pandemic may have had a lasting negative impact on the mental health of younger individuals. The observed increase in AD use may foreshadow a potential long-term need for enhanced mental healthcare and services directed at this subpopulation.</p>","PeriodicalId":11787,"journal":{"name":"Epidemiology and Psychiatric Sciences","volume":"33 ","pages":"e62"},"PeriodicalIF":6.1000,"publicationDate":"2024-11-07","publicationTypes":"Journal Article","fieldsOfStudy":null,"isOpenAccess":false,"openAccessPdf":"https://www.ncbi.nlm.nih.gov/pmc/articles/PMC11561682/pdf/","citationCount":"0","resultStr":"{\"title\":\"Surge in antidepressant usage among adolescents and young adults during the COVID-19 pandemic: insights from an interrupted time series analysis.\",\"authors\":\"Zeno Di Valerio, Daniela Fortuna, Marco Montalti, Lucia Alberghini, Anna Caterina Leucci, Alessio Saponaro, Elisa Sangiorgi, Elena Berti, Maurizia Rolli, Dario Tedesco\",\"doi\":\"10.1017/S2045796024000647\",\"DOIUrl\":null,\"url\":null,\"abstract\":\"<p><strong>Background: </strong>Depressive disorders are a major public health issue in Western societies, particularly among adolescents, young adults and women. The COVID-19 pandemic has exacerbated mental health challenges, increasing depression and anxiety symptoms, especially in younger people. This study focuses on the hard-hit Emilia-Romagna Region (ERR) in Italy, examining changes in antidepressant (AD) drug use post-COVID-19 to understand the pandemic's effect on mental health.</p><p><strong>Methods: </strong>A population-based interrupted time series design and a segmented regression analysis was carried out on ERR pharmaceutical data (FED, direct dispensation pharmaceuticals, AFT, territorial pharmaceutical assistance) out to estimate changes in AD use during the three pandemic years (2020, 2021 and 2022) compared to 2017-2019.Analyses were stratified by age, gender, citizenship, population density of the area of residence.</p><p><strong>Results: </strong>A notable increase in AD consumption compared to what was expected was observed among younger age groups, and especially in females. In the 12-19 age group, a gradual increase was recorded from January 2021 until it reached +48% in 2022 (+58% among women, +30% among men). An even more remarkable growth in AD usage among non-Italian residents in the same age group was recorded compared to expected. A relevant increase, although smaller, was detected among individuals in the 20-34 age group, with a peak of +9% in 2022. These differences persisted up until the end of the observation period.</p><p><strong>Conclusions: </strong>The study suggests that the COVID-19 pandemic may have had a lasting negative impact on the mental health of younger individuals. The observed increase in AD use may foreshadow a potential long-term need for enhanced mental healthcare and services directed at this subpopulation.</p>\",\"PeriodicalId\":11787,\"journal\":{\"name\":\"Epidemiology and Psychiatric Sciences\",\"volume\":\"33 \",\"pages\":\"e62\"},\"PeriodicalIF\":6.1000,\"publicationDate\":\"2024-11-07\",\"publicationTypes\":\"Journal Article\",\"fieldsOfStudy\":null,\"isOpenAccess\":false,\"openAccessPdf\":\"https://www.ncbi.nlm.nih.gov/pmc/articles/PMC11561682/pdf/\",\"citationCount\":\"0\",\"resultStr\":null,\"platform\":\"Semanticscholar\",\"paperid\":null,\"PeriodicalName\":\"Epidemiology and Psychiatric Sciences\",\"FirstCategoryId\":\"3\",\"ListUrlMain\":\"https://doi.org/10.1017/S2045796024000647\",\"RegionNum\":2,\"RegionCategory\":\"医学\",\"ArticlePicture\":[],\"TitleCN\":null,\"AbstractTextCN\":null,\"PMCID\":null,\"EPubDate\":\"\",\"PubModel\":\"\",\"JCR\":\"Q1\",\"JCRName\":\"PSYCHIATRY\",\"Score\":null,\"Total\":0}","platform":"Semanticscholar","paperid":null,"PeriodicalName":"Epidemiology and Psychiatric Sciences","FirstCategoryId":"3","ListUrlMain":"https://doi.org/10.1017/S2045796024000647","RegionNum":2,"RegionCategory":"医学","ArticlePicture":[],"TitleCN":null,"AbstractTextCN":null,"PMCID":null,"EPubDate":"","PubModel":"","JCR":"Q1","JCRName":"PSYCHIATRY","Score":null,"Total":0}
引用次数: 0

摘要

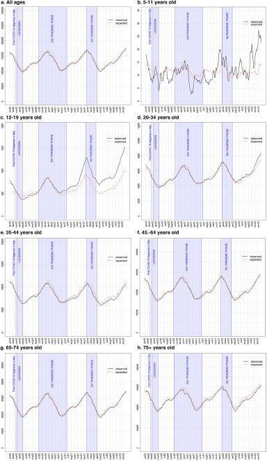
背景:抑郁症是西方社会的一个主要公共卫生问题,尤其是在青少年、年轻成人和妇女中。COVID-19 大流行加剧了心理健康挑战,增加了抑郁和焦虑症状,尤其是在年轻人中。本研究以受重创的意大利艾米利亚-罗马涅大区(ERR)为研究对象,探讨 COVID-19 后抗抑郁药物(AD)使用的变化,以了解疫情对心理健康的影响:对ERR的药品数据(FED,直接分配药品;AFT,地区药品援助)进行了基于人口的间断时间序列设计和分段回归分析,以估计与2017-2019年相比,在三个大流行年(2020年、2021年和2022年)期间抗抑郁药使用量的变化:与预期相比,年轻年龄组,尤其是女性的反式脂肪肝消费量明显增加。在 12-19 岁年龄组中,从 2021 年 1 月开始逐渐增加,直到 2022 年达到+48%(女性+58%,男性+30%)。与预期相比,同一年龄段的非意大利籍居民使用反向广告的增长更为显著。在 20-34 岁年龄组中也发现了相关的增长,尽管幅度较小,但在 2022 年达到了 +9% 的峰值。这些差异一直持续到观察期结束:研究表明,COVID-19 大流行可能对年轻人的心理健康产生了持久的负面影响。观察到的注意力缺失症使用率的增加可能预示着针对该亚人群加强心理保健和服务的潜在长期需求。
本文章由计算机程序翻译,如有差异,请以英文原文为准。

Surge in antidepressant usage among adolescents and young adults during the COVID-19 pandemic: insights from an interrupted time series analysis.

Surge in antidepressant usage among adolescents and young adults during the COVID-19 pandemic: insights from an interrupted time series analysis.

Surge in antidepressant usage among adolescents and young adults during the COVID-19 pandemic: insights from an interrupted time series analysis.

Surge in antidepressant usage among adolescents and young adults during the COVID-19 pandemic: insights from an interrupted time series analysis.

Background: Depressive disorders are a major public health issue in Western societies, particularly among adolescents, young adults and women. The COVID-19 pandemic has exacerbated mental health challenges, increasing depression and anxiety symptoms, especially in younger people. This study focuses on the hard-hit Emilia-Romagna Region (ERR) in Italy, examining changes in antidepressant (AD) drug use post-COVID-19 to understand the pandemic's effect on mental health.

Methods: A population-based interrupted time series design and a segmented regression analysis was carried out on ERR pharmaceutical data (FED, direct dispensation pharmaceuticals, AFT, territorial pharmaceutical assistance) out to estimate changes in AD use during the three pandemic years (2020, 2021 and 2022) compared to 2017-2019.Analyses were stratified by age, gender, citizenship, population density of the area of residence.

Results: A notable increase in AD consumption compared to what was expected was observed among younger age groups, and especially in females. In the 12-19 age group, a gradual increase was recorded from January 2021 until it reached +48% in 2022 (+58% among women, +30% among men). An even more remarkable growth in AD usage among non-Italian residents in the same age group was recorded compared to expected. A relevant increase, although smaller, was detected among individuals in the 20-34 age group, with a peak of +9% in 2022. These differences persisted up until the end of the observation period.

Conclusions: The study suggests that the COVID-19 pandemic may have had a lasting negative impact on the mental health of younger individuals. The observed increase in AD use may foreshadow a potential long-term need for enhanced mental healthcare and services directed at this subpopulation.

求助全文
通过发布文献求助,成功后即可免费获取论文全文。 去求助
来源期刊
CiteScore
7.80
自引率
1.20%
发文量
121
审稿时长
>12 weeks
期刊介绍: Epidemiology and Psychiatric Sciences is a prestigious international, peer-reviewed journal that has been publishing in Open Access format since 2020. Formerly known as Epidemiologia e Psichiatria Sociale and established in 1992 by Michele Tansella, the journal prioritizes highly relevant and innovative research articles and systematic reviews in the areas of public mental health and policy, mental health services and system research, as well as epidemiological and social psychiatry. Join us in advancing knowledge and understanding in these critical fields.
×
引用
GB/T 7714-2015
复制
MLA
复制
APA
复制
导出至
BibTeX EndNote RefMan NoteFirst NoteExpress
×
提示
您的信息不完整,为了账户安全,请先补充。
现在去补充
×
提示
您因"违规操作"
具体请查看互助需知
我知道了
×
提示
确定
请完成安全验证×
copy
已复制链接
快去分享给好友吧!
我知道了
右上角分享
点击右上角分享
0
联系我们:info@booksci.cn Book学术提供免费学术资源搜索服务,方便国内外学者检索中英文文献。致力于提供最便捷和优质的服务体验。 Copyright © 2023 布克学术 All rights reserved.
京ICP备2023020795号-1
ghs 京公网安备 11010802042870号
Book学术文献互助
Book学术文献互助群
群 号:604180095
Book学术官方微信