基于受体的测定法,用于研究甜味剂和二元甜味混合物的甜味和苦味:SWEET 项目。

IF 1.9 4区 心理学 Q1 BEHAVIORAL SCIENCES
Christine Belloir, Mathilde Jeannin, Adeline Karolkowski, Corey Scott, Loïc Briand
{"title":"基于受体的测定法,用于研究甜味剂和二元甜味混合物的甜味和苦味:SWEET 项目。","authors":"Christine Belloir, Mathilde Jeannin, Adeline Karolkowski, Corey Scott, Loïc Briand","doi":"10.1093/chemse/bjae041","DOIUrl":null,"url":null,"abstract":"<p><p>Sweeteners are used in the food industry to provide sweetness similar to sugar and to decrease the caloric intake and risks associated with obesity. However, some sweeteners are characterized by bitter, metallic and other off-tastes. Sensory and cellular studies have demonstrated synergies between sweetener blends, which are responsible for enhancing sweetness. This study aimed to identify new sweetener blends that are able to enhance sweetness intensity without causing bitter off-taste using in vitro functional expression of taste receptors. The dose-response of the sweet taste receptor (TAS1R2/TAS1R3) was determined for sucrose and 9 sweeteners and was consistent with their sweetness potency. Stimulation of TAS1R2/TAS1R3 by 6 binary sweetener blends confirmed 3 known synergies determined by sensory analysis, including sucralose/acesulfame-K, rebaudioside A/erythritol and rebaudioside A/thaumatin, and revealed 2 new synergies, known as, neotame/D-allulose and mogroside V/thaumatin. No synergy was observed for the rebaudioside M/mogroside V blend, probably due to their common binding sites on the sweet taste receptor. The ability of the 9 selected sweeteners to activate the 25 human bitter taste receptors (TAS2Rs) was tested. The cellular-based assay demonstrated that sucralose, acesulfame-K, rebaudioside A, mogroside V and D-allulose activated at least 2 TAS2Rs. Sucralose, acesulfame-K and rebaudioside A exhibited lower EC50 values for TAS1R2/TAS1R3 than for TAS2Rs, which may explain their absence of bitter off-taste at low concentrations, unlike mogroside V and D-allulose. Our data provide a receptor-based understanding of the complex synergies among sweetener blends and an effective approach for testing new sweeteners while avoiding the activation of TAS2Rs.</p>","PeriodicalId":9771,"journal":{"name":"Chemical Senses","volume":" ","pages":""},"PeriodicalIF":1.9000,"publicationDate":"2024-01-01","publicationTypes":"Journal Article","fieldsOfStudy":null,"isOpenAccess":false,"openAccessPdf":"https://www.ncbi.nlm.nih.gov/pmc/articles/PMC11631053/pdf/","citationCount":"0","resultStr":"{\"title\":\"A receptor-based assay to study the sweet and bitter tastes of sweeteners and binary sweet blends: the SWEET project.\",\"authors\":\"Christine Belloir, Mathilde Jeannin, Adeline Karolkowski, Corey Scott, Loïc Briand\",\"doi\":\"10.1093/chemse/bjae041\",\"DOIUrl\":null,\"url\":null,\"abstract\":\"<p><p>Sweeteners are used in the food industry to provide sweetness similar to sugar and to decrease the caloric intake and risks associated with obesity. However, some sweeteners are characterized by bitter, metallic and other off-tastes. Sensory and cellular studies have demonstrated synergies between sweetener blends, which are responsible for enhancing sweetness. This study aimed to identify new sweetener blends that are able to enhance sweetness intensity without causing bitter off-taste using in vitro functional expression of taste receptors. The dose-response of the sweet taste receptor (TAS1R2/TAS1R3) was determined for sucrose and 9 sweeteners and was consistent with their sweetness potency. Stimulation of TAS1R2/TAS1R3 by 6 binary sweetener blends confirmed 3 known synergies determined by sensory analysis, including sucralose/acesulfame-K, rebaudioside A/erythritol and rebaudioside A/thaumatin, and revealed 2 new synergies, known as, neotame/D-allulose and mogroside V/thaumatin. No synergy was observed for the rebaudioside M/mogroside V blend, probably due to their common binding sites on the sweet taste receptor. The ability of the 9 selected sweeteners to activate the 25 human bitter taste receptors (TAS2Rs) was tested. The cellular-based assay demonstrated that sucralose, acesulfame-K, rebaudioside A, mogroside V and D-allulose activated at least 2 TAS2Rs. Sucralose, acesulfame-K and rebaudioside A exhibited lower EC50 values for TAS1R2/TAS1R3 than for TAS2Rs, which may explain their absence of bitter off-taste at low concentrations, unlike mogroside V and D-allulose. Our data provide a receptor-based understanding of the complex synergies among sweetener blends and an effective approach for testing new sweeteners while avoiding the activation of TAS2Rs.</p>\",\"PeriodicalId\":9771,\"journal\":{\"name\":\"Chemical Senses\",\"volume\":\" \",\"pages\":\"\"},\"PeriodicalIF\":1.9000,\"publicationDate\":\"2024-01-01\",\"publicationTypes\":\"Journal Article\",\"fieldsOfStudy\":null,\"isOpenAccess\":false,\"openAccessPdf\":\"https://www.ncbi.nlm.nih.gov/pmc/articles/PMC11631053/pdf/\",\"citationCount\":\"0\",\"resultStr\":null,\"platform\":\"Semanticscholar\",\"paperid\":null,\"PeriodicalName\":\"Chemical Senses\",\"FirstCategoryId\":\"102\",\"ListUrlMain\":\"https://doi.org/10.1093/chemse/bjae041\",\"RegionNum\":4,\"RegionCategory\":\"心理学\",\"ArticlePicture\":[],\"TitleCN\":null,\"AbstractTextCN\":null,\"PMCID\":null,\"EPubDate\":\"\",\"PubModel\":\"\",\"JCR\":\"Q1\",\"JCRName\":\"BEHAVIORAL SCIENCES\",\"Score\":null,\"Total\":0}","platform":"Semanticscholar","paperid":null,"PeriodicalName":"Chemical Senses","FirstCategoryId":"102","ListUrlMain":"https://doi.org/10.1093/chemse/bjae041","RegionNum":4,"RegionCategory":"心理学","ArticlePicture":[],"TitleCN":null,"AbstractTextCN":null,"PMCID":null,"EPubDate":"","PubModel":"","JCR":"Q1","JCRName":"BEHAVIORAL SCIENCES","Score":null,"Total":0}
引用次数: 0

摘要

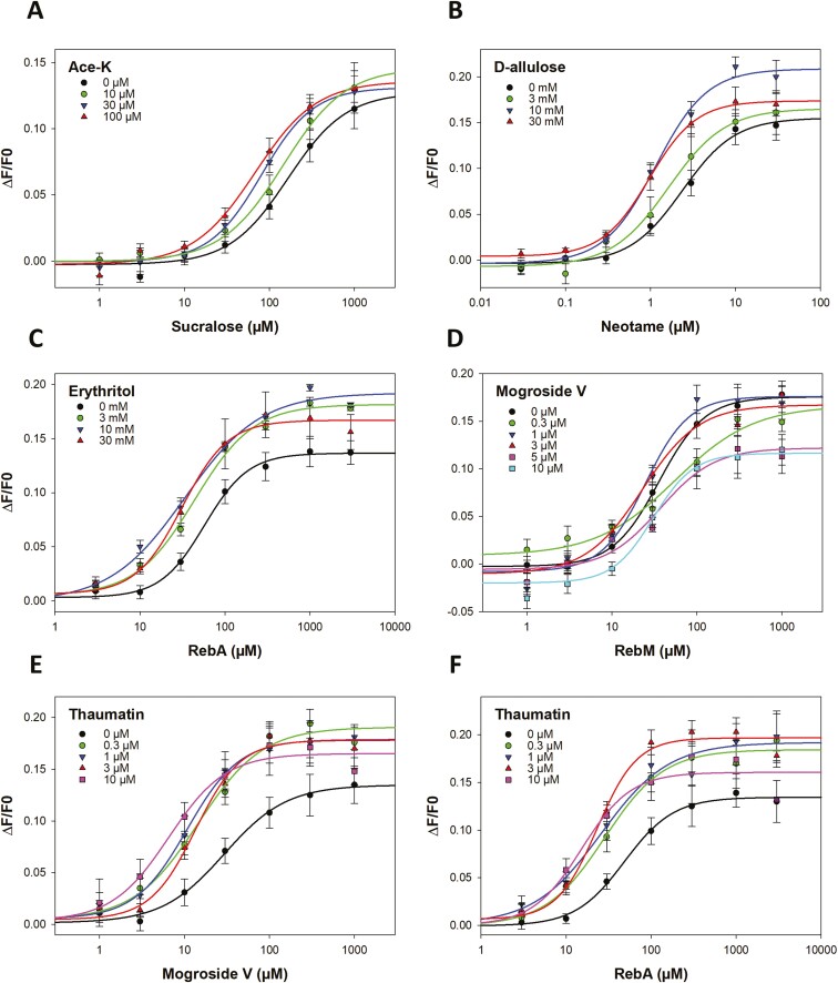
甜味剂被用于食品工业,以提供类似于糖的甜味,并减少热量摄入和与肥胖相关的风险。然而,有些甜味剂具有苦味、金属味和其他异味。感官和细胞研究表明,甜味剂混合物之间的协同作用可提高甜味。本研究旨在利用体外味觉受体的功能表达,找出既能增强甜味强度又不会产生苦味的新型甜味剂混合物。测定了蔗糖和 9 种甜味剂的甜味受体(TAS1R2/TAS1R3)的剂量反应,结果与它们的甜味效力一致。6 种二元甜味剂混合物对 TAS1R2/TAS1R3 的刺激证实了通过感官分析确定的 3 种已知协同作用,包括三氯蔗糖/安赛蜜-K、赤藓糖醇再保糖甙 A 和再保糖甙 A/茶精,并揭示了 2 种新的协同作用,即新甜素/D-阿洛糖和木果皂苷 V/茶精。瑞香糖甙 M/苔藓糖甙 V 混合物没有协同作用,这可能是由于它们在甜味受体上有共同的结合位点。对 9 种选定甜味剂激活 25 种人类苦味受体(TAS2Rs)的能力进行了测试。基于细胞的试验表明,三氯蔗糖、安赛蜜-K、雷公藤甙 A、茂谷苷 V 和 D-阿洛糖至少能激活 2 个 TAS2R。三氯蔗糖、安赛蜜-K 和雷巴糖苷 A 对 TAS1R2/TAS1R3 的 EC50 值低于对 TAS2R 的 EC50 值,这可能是它们在低浓度时没有苦味的原因,而茂果苷 V 和 D-阿洛糖则不同。我们的数据为了解甜味剂混合物之间复杂的协同作用提供了一种基于受体的方法,也为测试新甜味剂同时避免激活 TAS2R 提供了一种有效的方法。
本文章由计算机程序翻译,如有差异,请以英文原文为准。

A receptor-based assay to study the sweet and bitter tastes of sweeteners and binary sweet blends: the SWEET project.

A receptor-based assay to study the sweet and bitter tastes of sweeteners and binary sweet blends: the SWEET project.

A receptor-based assay to study the sweet and bitter tastes of sweeteners and binary sweet blends: the SWEET project.

A receptor-based assay to study the sweet and bitter tastes of sweeteners and binary sweet blends: the SWEET project.

Sweeteners are used in the food industry to provide sweetness similar to sugar and to decrease the caloric intake and risks associated with obesity. However, some sweeteners are characterized by bitter, metallic and other off-tastes. Sensory and cellular studies have demonstrated synergies between sweetener blends, which are responsible for enhancing sweetness. This study aimed to identify new sweetener blends that are able to enhance sweetness intensity without causing bitter off-taste using in vitro functional expression of taste receptors. The dose-response of the sweet taste receptor (TAS1R2/TAS1R3) was determined for sucrose and 9 sweeteners and was consistent with their sweetness potency. Stimulation of TAS1R2/TAS1R3 by 6 binary sweetener blends confirmed 3 known synergies determined by sensory analysis, including sucralose/acesulfame-K, rebaudioside A/erythritol and rebaudioside A/thaumatin, and revealed 2 new synergies, known as, neotame/D-allulose and mogroside V/thaumatin. No synergy was observed for the rebaudioside M/mogroside V blend, probably due to their common binding sites on the sweet taste receptor. The ability of the 9 selected sweeteners to activate the 25 human bitter taste receptors (TAS2Rs) was tested. The cellular-based assay demonstrated that sucralose, acesulfame-K, rebaudioside A, mogroside V and D-allulose activated at least 2 TAS2Rs. Sucralose, acesulfame-K and rebaudioside A exhibited lower EC50 values for TAS1R2/TAS1R3 than for TAS2Rs, which may explain their absence of bitter off-taste at low concentrations, unlike mogroside V and D-allulose. Our data provide a receptor-based understanding of the complex synergies among sweetener blends and an effective approach for testing new sweeteners while avoiding the activation of TAS2Rs.

求助全文
通过发布文献求助,成功后即可免费获取论文全文。 去求助
来源期刊
Chemical Senses
Chemical Senses 医学-行为科学
CiteScore
8.60
自引率
2.90%
发文量
25
审稿时长
1 months
期刊介绍: Chemical Senses publishes original research and review papers on all aspects of chemoreception in both humans and animals. An important part of the journal''s coverage is devoted to techniques and the development and application of new methods for investigating chemoreception and chemosensory structures.
×
引用
GB/T 7714-2015
复制
MLA
复制
APA
复制
导出至
BibTeX EndNote RefMan NoteFirst NoteExpress
×
提示
您的信息不完整,为了账户安全,请先补充。
现在去补充
×
提示
您因"违规操作"
具体请查看互助需知
我知道了
×
提示
确定
请完成安全验证×
copy
已复制链接
快去分享给好友吧!
我知道了
右上角分享
点击右上角分享
0
联系我们:info@booksci.cn Book学术提供免费学术资源搜索服务,方便国内外学者检索中英文文献。致力于提供最便捷和优质的服务体验。 Copyright © 2023 布克学术 All rights reserved.
京ICP备2023020795号-1
ghs 京公网安备 11010802042870号
Book学术文献互助
Book学术文献互助群
群 号:604180095
Book学术官方微信