破解 CHNG3 之谜。

IF 3.3 Q3 ENDOCRINOLOGY & METABOLISM
Satoshi Narumi
{"title":"破解 CHNG3 之谜。","authors":"Satoshi Narumi","doi":"10.6065/apem.2448186.093","DOIUrl":null,"url":null,"abstract":"<p><p>Congenital hypothyroidism (CH), characterized by insufficient thyroid hormone production due to abnormalities in the hypothalamic-pituitary-thyroid axis, is the most common congenital endocrine disorder. We previously conducted comprehensive genetic screening of 102 patients with permanent CH born in Kanagawa Prefecture, Japan and identified mutations in several genes in 19 CH patients, including defects in genes encoding dual oxidase 2, thyroglobulin, thyrotropin receptor, thyroid peroxidase, and paired-box 8. Despite these findings, approximately 80% of cases remain unexplained. CH pedigrees unexplained by known genetic forms of CH have been reported in the literature and registered as congenital hypothyroidism, nongoitrous, 3 (CHNG3; %609893) in Online Mendelian Inheritance in Man. We also identified a Japanese pedigree of CH that was compatible with CHNG3. However, the exact genetic cause of CHNG3 was not revealed by standard analysis methods such as exome sequencing and array comparative genomic hybridization. We therefore took a combined approach and analyzed a total of 11 undiagnosed CH pedigrees by whole genome sequencing to analyze a 3-Mb linkage region, and found a disease-causing variant affecting a TTTG microsatellite in a noncoding region on chromosome 15. Further analysis revealed that 13.9% of 989 Japanese CH patients had abnormalities involving the TTTG microsatellite, with a substantial proportion (41.5%) of familial CH cases carrying these mutations. Identification of the genetic cause of CHNG3 provides new insights into the pathogenesis of CH, and highlights the need for continued exploration of noncoding genomic regions in Mendelian disorders of unknown etiology.</p>","PeriodicalId":44915,"journal":{"name":"Annals of Pediatric Endocrinology & Metabolism","volume":"29 5","pages":"279-283"},"PeriodicalIF":3.3000,"publicationDate":"2024-10-01","publicationTypes":"Journal Article","fieldsOfStudy":null,"isOpenAccess":false,"openAccessPdf":"https://www.ncbi.nlm.nih.gov/pmc/articles/PMC11541093/pdf/","citationCount":"0","resultStr":"{\"title\":\"Deciphering the mystery of CHNG3.\",\"authors\":\"Satoshi Narumi\",\"doi\":\"10.6065/apem.2448186.093\",\"DOIUrl\":null,\"url\":null,\"abstract\":\"<p><p>Congenital hypothyroidism (CH), characterized by insufficient thyroid hormone production due to abnormalities in the hypothalamic-pituitary-thyroid axis, is the most common congenital endocrine disorder. We previously conducted comprehensive genetic screening of 102 patients with permanent CH born in Kanagawa Prefecture, Japan and identified mutations in several genes in 19 CH patients, including defects in genes encoding dual oxidase 2, thyroglobulin, thyrotropin receptor, thyroid peroxidase, and paired-box 8. Despite these findings, approximately 80% of cases remain unexplained. CH pedigrees unexplained by known genetic forms of CH have been reported in the literature and registered as congenital hypothyroidism, nongoitrous, 3 (CHNG3; %609893) in Online Mendelian Inheritance in Man. We also identified a Japanese pedigree of CH that was compatible with CHNG3. However, the exact genetic cause of CHNG3 was not revealed by standard analysis methods such as exome sequencing and array comparative genomic hybridization. We therefore took a combined approach and analyzed a total of 11 undiagnosed CH pedigrees by whole genome sequencing to analyze a 3-Mb linkage region, and found a disease-causing variant affecting a TTTG microsatellite in a noncoding region on chromosome 15. Further analysis revealed that 13.9% of 989 Japanese CH patients had abnormalities involving the TTTG microsatellite, with a substantial proportion (41.5%) of familial CH cases carrying these mutations. Identification of the genetic cause of CHNG3 provides new insights into the pathogenesis of CH, and highlights the need for continued exploration of noncoding genomic regions in Mendelian disorders of unknown etiology.</p>\",\"PeriodicalId\":44915,\"journal\":{\"name\":\"Annals of Pediatric Endocrinology & Metabolism\",\"volume\":\"29 5\",\"pages\":\"279-283\"},\"PeriodicalIF\":3.3000,\"publicationDate\":\"2024-10-01\",\"publicationTypes\":\"Journal Article\",\"fieldsOfStudy\":null,\"isOpenAccess\":false,\"openAccessPdf\":\"https://www.ncbi.nlm.nih.gov/pmc/articles/PMC11541093/pdf/\",\"citationCount\":\"0\",\"resultStr\":null,\"platform\":\"Semanticscholar\",\"paperid\":null,\"PeriodicalName\":\"Annals of Pediatric Endocrinology & Metabolism\",\"FirstCategoryId\":\"1085\",\"ListUrlMain\":\"https://doi.org/10.6065/apem.2448186.093\",\"RegionNum\":0,\"RegionCategory\":null,\"ArticlePicture\":[],\"TitleCN\":null,\"AbstractTextCN\":null,\"PMCID\":null,\"EPubDate\":\"2024/10/31 0:00:00\",\"PubModel\":\"Epub\",\"JCR\":\"Q3\",\"JCRName\":\"ENDOCRINOLOGY & METABOLISM\",\"Score\":null,\"Total\":0}","platform":"Semanticscholar","paperid":null,"PeriodicalName":"Annals of Pediatric Endocrinology & Metabolism","FirstCategoryId":"1085","ListUrlMain":"https://doi.org/10.6065/apem.2448186.093","RegionNum":0,"RegionCategory":null,"ArticlePicture":[],"TitleCN":null,"AbstractTextCN":null,"PMCID":null,"EPubDate":"2024/10/31 0:00:00","PubModel":"Epub","JCR":"Q3","JCRName":"ENDOCRINOLOGY & METABOLISM","Score":null,"Total":0}
引用次数: 0

摘要

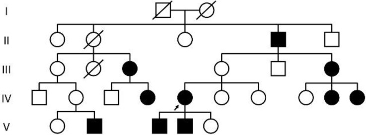
先天性甲状腺功能减退症(CH)是最常见的先天性内分泌疾病,其特点是由于下丘脑-垂体-甲状腺轴异常导致甲状腺激素分泌不足。我们曾对日本神奈川县出生的102名永久性CH患者进行了全面的基因筛查,在19名CH患者中发现了多个基因的突变,包括编码双氧化酶2、甲状腺球蛋白、促甲状腺激素受体、甲状腺过氧化物酶和配对盒8的基因缺陷。尽管有这些发现,但仍有约80%的病例无法解释。文献中报道了一些无法用已知遗传形式解释的CH血统,并在Online Mendelian Inheritance in Man中登记为先天性甲状腺功能减退症,非氮性,3(CHNG3;%609893)。我们还发现了一个与 CHNG3 相符的日本 CH pedigree。然而,外显子组测序和阵列比较基因组杂交等标准分析方法并未揭示 CHNG3 的确切遗传原因。因此,我们采取了一种综合方法,通过全基因组测序分析了11个未确诊的CH血统,分析了一个3Mb的连锁区,发现了一个影响15号染色体非编码区TTTG微卫星的致病变异。进一步的分析表明,在989名日本CH患者中,13.9%的患者存在涉及TTTG微卫星的异常,其中相当一部分(41.5%)家族性CH病例携带这些变异。CHNG3遗传原因的确定为研究CH的发病机制提供了新的视角,同时也强调了在病因不明的孟德尔疾病中继续探索非编码基因组区域的必要性。
本文章由计算机程序翻译,如有差异,请以英文原文为准。

Deciphering the mystery of CHNG3.

Deciphering the mystery of CHNG3.

Deciphering the mystery of CHNG3.

Deciphering the mystery of CHNG3.

Congenital hypothyroidism (CH), characterized by insufficient thyroid hormone production due to abnormalities in the hypothalamic-pituitary-thyroid axis, is the most common congenital endocrine disorder. We previously conducted comprehensive genetic screening of 102 patients with permanent CH born in Kanagawa Prefecture, Japan and identified mutations in several genes in 19 CH patients, including defects in genes encoding dual oxidase 2, thyroglobulin, thyrotropin receptor, thyroid peroxidase, and paired-box 8. Despite these findings, approximately 80% of cases remain unexplained. CH pedigrees unexplained by known genetic forms of CH have been reported in the literature and registered as congenital hypothyroidism, nongoitrous, 3 (CHNG3; %609893) in Online Mendelian Inheritance in Man. We also identified a Japanese pedigree of CH that was compatible with CHNG3. However, the exact genetic cause of CHNG3 was not revealed by standard analysis methods such as exome sequencing and array comparative genomic hybridization. We therefore took a combined approach and analyzed a total of 11 undiagnosed CH pedigrees by whole genome sequencing to analyze a 3-Mb linkage region, and found a disease-causing variant affecting a TTTG microsatellite in a noncoding region on chromosome 15. Further analysis revealed that 13.9% of 989 Japanese CH patients had abnormalities involving the TTTG microsatellite, with a substantial proportion (41.5%) of familial CH cases carrying these mutations. Identification of the genetic cause of CHNG3 provides new insights into the pathogenesis of CH, and highlights the need for continued exploration of noncoding genomic regions in Mendelian disorders of unknown etiology.

求助全文
通过发布文献求助,成功后即可免费获取论文全文。 去求助
来源期刊
CiteScore
4.00
自引率
18.20%
发文量
59
审稿时长
24 weeks
期刊介绍: The Annals of Pediatric Endocrinology & Metabolism Journal is the official publication of the Korean Society of Pediatric Endocrinology. Its formal abbreviated title is “Ann Pediatr Endocrinol Metab”. It is a peer-reviewed open access journal of medicine published in English. The journal was launched in 1996 under the title of ‘Journal of Korean Society of Pediatric Endocrinology’ until 2011 (pISSN 1226-2242). Since 2012, the title is now changed to ‘Annals of Pediatric Endocrinology & Metabolism’. The Journal is published four times per year on the last day of March, June, September, and December. It is widely distributed for free to members of the Korean Society of Pediatric Endocrinology, medical schools, libraries, and academic institutions. The journal is indexed/tracked/covered by web sites of PubMed Central, PubMed, Emerging Sources Citation Index (ESCI), Scopus, EBSCO, EMBASE, KoreaMed, KoMCI, KCI, Science Central, DOI/CrossRef, Directory of Open Access Journals(DOAJ), and Google Scholar. The aims of Annals of Pediatric Endocrinology & Metabolism are to contribute to the advancements in the fields of pediatric endocrinology & metabolism through the scientific reviews and interchange of all of pediatric endocrinology and metabolism. It aims to reflect the latest clinical, translational, and basic research trends from worldwide valuable achievements. In addition, genome research, epidemiology, public education and clinical practice guidelines in each country are welcomed for publication. The Journal particularly focuses on research conducted with Asian-Pacific children whose genetic and environmental backgrounds are different from those of the Western. Area of specific interest include the following : Growth, puberty, glucose metabolism including diabetes mellitus, obesity, nutrition, disorders of sexual development, pituitary, thyroid, parathyroid, adrenal cortex, bone or other endocrine and metabolic disorders from infancy through adolescence.
×
引用
GB/T 7714-2015
复制
MLA
复制
APA
复制
导出至
BibTeX EndNote RefMan NoteFirst NoteExpress
×
提示
您的信息不完整,为了账户安全,请先补充。
现在去补充
×
提示
您因"违规操作"
具体请查看互助需知
我知道了
×
提示
确定
请完成安全验证×
copy
已复制链接
快去分享给好友吧!
我知道了
右上角分享
点击右上角分享
0
联系我们:info@booksci.cn Book学术提供免费学术资源搜索服务,方便国内外学者检索中英文文献。致力于提供最便捷和优质的服务体验。 Copyright © 2023 布克学术 All rights reserved.
京ICP备2023020795号-1
ghs 京公网安备 11010802042870号
Book学术文献互助
Book学术文献互助群
群 号:604180095
Book学术官方微信