在预防甲状腺素诱发的大鼠肾损伤方面,洛沙坦比血管紧张素(1-7)更有效。

IF 1.8 Q3 ENDOCRINOLOGY & METABOLISM
Slava Malatiali, Mabayoje Oriowo
{"title":"在预防甲状腺素诱发的大鼠肾损伤方面,洛沙坦比血管紧张素(1-7)更有效。","authors":"Slava Malatiali, Mabayoje Oriowo","doi":"10.1186/s13044-024-00211-w","DOIUrl":null,"url":null,"abstract":"<p><strong>Aim: </strong>Studies have shown that renal hypertrophy seen in experimental hyperthyroidism induced by thyroxine (T4) is due to angiotensin (Ang) II. However, other renal effects of Ang II in experimental hyperthyroidism have not been investigated. In addition, Ang 1-7 is believed to be protective against renal injury, but its possible role in thyroxine-induced renal injury is not known. The aim of this study is to elaborate the role of Ang II in thyroxine-induced renal injury and the possible protective role of Ang 1-7. We hypothesize that Ang 1-7 will be as protective against thyroxine-induced renal injury as the use of an ACE inhibitor or an Ang II receptor blocker.</p><p><strong>Methods: </strong>Adult Sprague Dawley rats were used in this study and were divided into 5 groups: (1) Control (treated with vehicle), (2) Treated with thyroxine (T4, 100 µg/kg), (3) Treated with T4 and Ang 1-7 (500 µg/kg), (4) Treated with T4 and captopril (20 mg/kg), and (5) Treated with T4 and losartan (10 mg/kg). Parameters tested after fourteen days of treatment were creatinine clearance, protein excretion rate, glomerular volume, renal ACE1 and ACE2 protein expression. Data were compared using One-way-ANOVA followed by Tukey's HSD post hoc test.</p><p><strong>Results: </strong>Thyroxine caused glomerular hypertrophy and proteinuria but had no effect on glomerular filtration rate (GFR). Glomerular hypertrophy was prevented by losartan and captopril, but not by Ang 1-7. Captopril and losartan had no effect on GFR; however, Ang 1-7 caused an increase in GFR in T4-treated rats. The increase in protein excretion rate was prevented by losartan but not by captopril or Ang 1-7. Renal expression of ACE1 protein was not altered in any of the treatment groups except in captopril treated rats were ACE1 expression was increased. Renal ACE2 protein expression was only increased in T4-losartan-treated rats and not affected by any of the other treatments.</p><p><strong>Conclusion: </strong>We conclude that losartan was more protective than captopril against thyroxine-induced renal changes while Ang 1-7 offered no protection.</p>","PeriodicalId":39048,"journal":{"name":"Thyroid Research","volume":"17 1","pages":"22"},"PeriodicalIF":1.8000,"publicationDate":"2024-11-04","publicationTypes":"Journal Article","fieldsOfStudy":null,"isOpenAccess":false,"openAccessPdf":"https://www.ncbi.nlm.nih.gov/pmc/articles/PMC11533423/pdf/","citationCount":"0","resultStr":"{\"title\":\"Losartan is more effective than angiotensin (1-7) in preventing thyroxine-induced renal injury in the rat.\",\"authors\":\"Slava Malatiali, Mabayoje Oriowo\",\"doi\":\"10.1186/s13044-024-00211-w\",\"DOIUrl\":null,\"url\":null,\"abstract\":\"<p><strong>Aim: </strong>Studies have shown that renal hypertrophy seen in experimental hyperthyroidism induced by thyroxine (T4) is due to angiotensin (Ang) II. However, other renal effects of Ang II in experimental hyperthyroidism have not been investigated. In addition, Ang 1-7 is believed to be protective against renal injury, but its possible role in thyroxine-induced renal injury is not known. The aim of this study is to elaborate the role of Ang II in thyroxine-induced renal injury and the possible protective role of Ang 1-7. We hypothesize that Ang 1-7 will be as protective against thyroxine-induced renal injury as the use of an ACE inhibitor or an Ang II receptor blocker.</p><p><strong>Methods: </strong>Adult Sprague Dawley rats were used in this study and were divided into 5 groups: (1) Control (treated with vehicle), (2) Treated with thyroxine (T4, 100 µg/kg), (3) Treated with T4 and Ang 1-7 (500 µg/kg), (4) Treated with T4 and captopril (20 mg/kg), and (5) Treated with T4 and losartan (10 mg/kg). Parameters tested after fourteen days of treatment were creatinine clearance, protein excretion rate, glomerular volume, renal ACE1 and ACE2 protein expression. Data were compared using One-way-ANOVA followed by Tukey's HSD post hoc test.</p><p><strong>Results: </strong>Thyroxine caused glomerular hypertrophy and proteinuria but had no effect on glomerular filtration rate (GFR). Glomerular hypertrophy was prevented by losartan and captopril, but not by Ang 1-7. Captopril and losartan had no effect on GFR; however, Ang 1-7 caused an increase in GFR in T4-treated rats. The increase in protein excretion rate was prevented by losartan but not by captopril or Ang 1-7. Renal expression of ACE1 protein was not altered in any of the treatment groups except in captopril treated rats were ACE1 expression was increased. Renal ACE2 protein expression was only increased in T4-losartan-treated rats and not affected by any of the other treatments.</p><p><strong>Conclusion: </strong>We conclude that losartan was more protective than captopril against thyroxine-induced renal changes while Ang 1-7 offered no protection.</p>\",\"PeriodicalId\":39048,\"journal\":{\"name\":\"Thyroid Research\",\"volume\":\"17 1\",\"pages\":\"22\"},\"PeriodicalIF\":1.8000,\"publicationDate\":\"2024-11-04\",\"publicationTypes\":\"Journal Article\",\"fieldsOfStudy\":null,\"isOpenAccess\":false,\"openAccessPdf\":\"https://www.ncbi.nlm.nih.gov/pmc/articles/PMC11533423/pdf/\",\"citationCount\":\"0\",\"resultStr\":null,\"platform\":\"Semanticscholar\",\"paperid\":null,\"PeriodicalName\":\"Thyroid Research\",\"FirstCategoryId\":\"1085\",\"ListUrlMain\":\"https://doi.org/10.1186/s13044-024-00211-w\",\"RegionNum\":0,\"RegionCategory\":null,\"ArticlePicture\":[],\"TitleCN\":null,\"AbstractTextCN\":null,\"PMCID\":null,\"EPubDate\":\"\",\"PubModel\":\"\",\"JCR\":\"Q3\",\"JCRName\":\"ENDOCRINOLOGY & METABOLISM\",\"Score\":null,\"Total\":0}","platform":"Semanticscholar","paperid":null,"PeriodicalName":"Thyroid Research","FirstCategoryId":"1085","ListUrlMain":"https://doi.org/10.1186/s13044-024-00211-w","RegionNum":0,"RegionCategory":null,"ArticlePicture":[],"TitleCN":null,"AbstractTextCN":null,"PMCID":null,"EPubDate":"","PubModel":"","JCR":"Q3","JCRName":"ENDOCRINOLOGY & METABOLISM","Score":null,"Total":0}
引用次数: 0

摘要

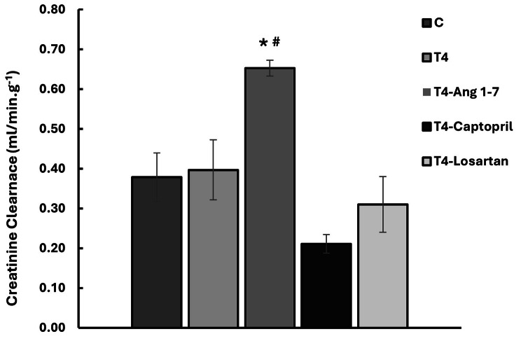
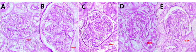
目的:研究表明,甲状腺素(T4)诱导的实验性甲状腺机能亢进症的肾脏肥大是由血管紧张素(Ang)II引起的。然而,Ang II 对实验性甲状腺机能亢进症肾脏的其他影响尚未得到研究。此外,Ang 1-7 被认为对肾损伤具有保护作用,但其在甲状腺素诱导的肾损伤中可能发挥的作用尚不清楚。本研究旨在阐述 Ang II 在甲状腺素诱导的肾损伤中的作用以及 Ang 1-7 可能发挥的保护作用。我们假设 Ang 1-7 与使用 ACE 抑制剂或 Ang II 受体阻断剂一样,对甲状腺素诱导的肾损伤具有保护作用:本研究使用成年 Sprague Dawley 大鼠,并将其分为 5 组:(1) 对照组(使用药物治疗);(2) 使用甲状腺素(T4,100 µg/kg)治疗;(3) 使用 T4 和 Ang 1-7 (500 µg/kg)治疗;(4) 使用 T4 和卡托普利(20 mg/kg)治疗;(5) 使用 T4 和洛沙坦(10 mg/kg)治疗。治疗 14 天后检测的参数包括肌酐清除率、蛋白质排泄率、肾小球体积、肾脏 ACE1 和 ACE2 蛋白表达。数据比较采用单因素方差分析(One-way-ANOVA),然后进行Tukey's HSD事后检验:结果:甲状腺素会导致肾小球肥大和蛋白尿,但对肾小球滤过率(GFR)没有影响。洛沙坦和卡托普利能防止肾小球肥大,但 Ang 1-7 不能。卡托普利和洛沙坦对肾小球滤过率没有影响;但 Ang 1-7 可使 T4 治疗大鼠的肾小球滤过率增加。洛沙坦能阻止蛋白质排泄率的增加,而卡托普利或 Ang 1-7 则不能。除卡托普利治疗组大鼠的 ACE1 蛋白表达增加外,其他治疗组大鼠的肾脏 ACE1 蛋白表达均无变化。肾脏 ACE2 蛋白表达仅在 T4-洛沙坦处理的大鼠中增加,而不受其他任何处理的影响:我们得出结论:洛沙坦比卡托普利对甲状腺素诱导的肾脏变化更有保护作用,而 Ang 1-7 则没有保护作用。
本文章由计算机程序翻译,如有差异,请以英文原文为准。

Losartan is more effective than angiotensin (1-7) in preventing thyroxine-induced renal injury in the rat.

Losartan is more effective than angiotensin (1-7) in preventing thyroxine-induced renal injury in the rat.

Losartan is more effective than angiotensin (1-7) in preventing thyroxine-induced renal injury in the rat.

Losartan is more effective than angiotensin (1-7) in preventing thyroxine-induced renal injury in the rat.

Aim: Studies have shown that renal hypertrophy seen in experimental hyperthyroidism induced by thyroxine (T4) is due to angiotensin (Ang) II. However, other renal effects of Ang II in experimental hyperthyroidism have not been investigated. In addition, Ang 1-7 is believed to be protective against renal injury, but its possible role in thyroxine-induced renal injury is not known. The aim of this study is to elaborate the role of Ang II in thyroxine-induced renal injury and the possible protective role of Ang 1-7. We hypothesize that Ang 1-7 will be as protective against thyroxine-induced renal injury as the use of an ACE inhibitor or an Ang II receptor blocker.

Methods: Adult Sprague Dawley rats were used in this study and were divided into 5 groups: (1) Control (treated with vehicle), (2) Treated with thyroxine (T4, 100 µg/kg), (3) Treated with T4 and Ang 1-7 (500 µg/kg), (4) Treated with T4 and captopril (20 mg/kg), and (5) Treated with T4 and losartan (10 mg/kg). Parameters tested after fourteen days of treatment were creatinine clearance, protein excretion rate, glomerular volume, renal ACE1 and ACE2 protein expression. Data were compared using One-way-ANOVA followed by Tukey's HSD post hoc test.

Results: Thyroxine caused glomerular hypertrophy and proteinuria but had no effect on glomerular filtration rate (GFR). Glomerular hypertrophy was prevented by losartan and captopril, but not by Ang 1-7. Captopril and losartan had no effect on GFR; however, Ang 1-7 caused an increase in GFR in T4-treated rats. The increase in protein excretion rate was prevented by losartan but not by captopril or Ang 1-7. Renal expression of ACE1 protein was not altered in any of the treatment groups except in captopril treated rats were ACE1 expression was increased. Renal ACE2 protein expression was only increased in T4-losartan-treated rats and not affected by any of the other treatments.

Conclusion: We conclude that losartan was more protective than captopril against thyroxine-induced renal changes while Ang 1-7 offered no protection.

求助全文
通过发布文献求助,成功后即可免费获取论文全文。 去求助
来源期刊
Thyroid Research
Thyroid Research Medicine-Endocrinology, Diabetes and Metabolism
CiteScore
3.10
自引率
4.50%
发文量
21
审稿时长
8 weeks
×
引用
GB/T 7714-2015
复制
MLA
复制
APA
复制
导出至
BibTeX EndNote RefMan NoteFirst NoteExpress
×
提示
您的信息不完整,为了账户安全,请先补充。
现在去补充
×
提示
您因"违规操作"
具体请查看互助需知
我知道了
×
提示
确定
请完成安全验证×
copy
已复制链接
快去分享给好友吧!
我知道了
右上角分享
点击右上角分享
0
联系我们:info@booksci.cn Book学术提供免费学术资源搜索服务,方便国内外学者检索中英文文献。致力于提供最便捷和优质的服务体验。 Copyright © 2023 布克学术 All rights reserved.
京ICP备2023020795号-1
ghs 京公网安备 11010802042870号
Book学术文献互助
Book学术文献互助群
群 号:604180095
Book学术官方微信