根据癌症和心房颤动的存在对接受经皮冠状动脉介入治疗的 130 万名患者的预后:一项回顾性研究。

IF 2.3 4区 医学 Q2 MEDICINE, GENERAL & INTERNAL
Croatian Medical Journal Pub Date : 2024-10-31
Sedralmontaha Istanbuly, Andrija Matetić, Vijay Bang, Kamal Sharma, Harsh Golwala, Babikir Kheiri, Mohammed Osman, Pooja Swamy, Aditya Bharadwaj, Mamas A Mamas
{"title":"根据癌症和心房颤动的存在对接受经皮冠状动脉介入治疗的 130 万名患者的预后:一项回顾性研究。","authors":"Sedralmontaha Istanbuly, Andrija Matetić, Vijay Bang, Kamal Sharma, Harsh Golwala, Babikir Kheiri, Mohammed Osman, Pooja Swamy, Aditya Bharadwaj, Mamas A Mamas","doi":"","DOIUrl":null,"url":null,"abstract":"<p><strong>Aim: </strong>To evaluate outcomes after percutaneous coronary intervention (PCI) in patients with cancer and atrial fibrillation (AF).</p><p><strong>Methods: </strong>Data of all adult discharges undergoing PCI between October 2015 and December 2018 were obtained from the National Inpatient Sample (NIS) database. Adjusted odds ratios (aOR) of adverse complications were calculated using binominal logistic regression.</p><p><strong>Results: </strong>1387320 patients were detected, out of which 15.4% had AF but no cancer, 1.9% had cancer but no AF, and 0.6% had both cancer and AF. Compared with cancer patients without AF, those with AF had a greater aOR of mortality (aOR 1.20, 95%CI 1.08-1.33), major adverse cardiac and cerebrovascular events (MACCE) (aOR 1.18, 95%CI 1.07-1.29), and bleeding (aOR 1.23, 95%CI 1.08-1.39). However, the risk of ischemic stroke was similar between the two groups. Patients with solid cancer and AF had a higher aOR for all outcomes, including mortality (aOR 1.28, 95%CI 1.09-1.50), MACCE (aOR 1.37, 95%CI 1.19-1.57), ischemic stroke (aOR 1.48, 95%CI 1.10-1.99), and bleeding (aOR 1.66, 95%CI 1.39-1.98) compared with the solid cancer group without AF. In patients with hematological cancer, AF was associated only with significantly increased risk of mortality (aOR 1.40, 95%CI 1.16-1.70) and MACCE (aOR 1.26, 95%CI 1.06-1.49).</p><p><strong>Conclusions: </strong>The presence of AF in solid cancer patients increases the risk of mortality, MACCE, stroke, and major bleeding, while in the setting of hematological cancer it is only associated with a higher risk of mortality and MACCE.</p>","PeriodicalId":10796,"journal":{"name":"Croatian Medical Journal","volume":"65 5","pages":"405-416"},"PeriodicalIF":2.3000,"publicationDate":"2024-10-31","publicationTypes":"Journal Article","fieldsOfStudy":null,"isOpenAccess":false,"openAccessPdf":"https://www.ncbi.nlm.nih.gov/pmc/articles/PMC11568383/pdf/","citationCount":"0","resultStr":"{\"title\":\"Outcomes of 1.3 million patients undergoing percutaneous coronary intervention according to the presence of cancer and atrial fibrillation: a retrospective study.\",\"authors\":\"Sedralmontaha Istanbuly, Andrija Matetić, Vijay Bang, Kamal Sharma, Harsh Golwala, Babikir Kheiri, Mohammed Osman, Pooja Swamy, Aditya Bharadwaj, Mamas A Mamas\",\"doi\":\"\",\"DOIUrl\":null,\"url\":null,\"abstract\":\"<p><strong>Aim: </strong>To evaluate outcomes after percutaneous coronary intervention (PCI) in patients with cancer and atrial fibrillation (AF).</p><p><strong>Methods: </strong>Data of all adult discharges undergoing PCI between October 2015 and December 2018 were obtained from the National Inpatient Sample (NIS) database. Adjusted odds ratios (aOR) of adverse complications were calculated using binominal logistic regression.</p><p><strong>Results: </strong>1387320 patients were detected, out of which 15.4% had AF but no cancer, 1.9% had cancer but no AF, and 0.6% had both cancer and AF. Compared with cancer patients without AF, those with AF had a greater aOR of mortality (aOR 1.20, 95%CI 1.08-1.33), major adverse cardiac and cerebrovascular events (MACCE) (aOR 1.18, 95%CI 1.07-1.29), and bleeding (aOR 1.23, 95%CI 1.08-1.39). However, the risk of ischemic stroke was similar between the two groups. Patients with solid cancer and AF had a higher aOR for all outcomes, including mortality (aOR 1.28, 95%CI 1.09-1.50), MACCE (aOR 1.37, 95%CI 1.19-1.57), ischemic stroke (aOR 1.48, 95%CI 1.10-1.99), and bleeding (aOR 1.66, 95%CI 1.39-1.98) compared with the solid cancer group without AF. In patients with hematological cancer, AF was associated only with significantly increased risk of mortality (aOR 1.40, 95%CI 1.16-1.70) and MACCE (aOR 1.26, 95%CI 1.06-1.49).</p><p><strong>Conclusions: </strong>The presence of AF in solid cancer patients increases the risk of mortality, MACCE, stroke, and major bleeding, while in the setting of hematological cancer it is only associated with a higher risk of mortality and MACCE.</p>\",\"PeriodicalId\":10796,\"journal\":{\"name\":\"Croatian Medical Journal\",\"volume\":\"65 5\",\"pages\":\"405-416\"},\"PeriodicalIF\":2.3000,\"publicationDate\":\"2024-10-31\",\"publicationTypes\":\"Journal Article\",\"fieldsOfStudy\":null,\"isOpenAccess\":false,\"openAccessPdf\":\"https://www.ncbi.nlm.nih.gov/pmc/articles/PMC11568383/pdf/\",\"citationCount\":\"0\",\"resultStr\":null,\"platform\":\"Semanticscholar\",\"paperid\":null,\"PeriodicalName\":\"Croatian Medical Journal\",\"FirstCategoryId\":\"92\",\"ListUrlMain\":\"\",\"RegionNum\":4,\"RegionCategory\":\"医学\",\"ArticlePicture\":[],\"TitleCN\":null,\"AbstractTextCN\":null,\"PMCID\":null,\"EPubDate\":\"\",\"PubModel\":\"\",\"JCR\":\"Q2\",\"JCRName\":\"MEDICINE, GENERAL & INTERNAL\",\"Score\":null,\"Total\":0}","platform":"Semanticscholar","paperid":null,"PeriodicalName":"Croatian Medical Journal","FirstCategoryId":"92","ListUrlMain":"","RegionNum":4,"RegionCategory":"医学","ArticlePicture":[],"TitleCN":null,"AbstractTextCN":null,"PMCID":null,"EPubDate":"","PubModel":"","JCR":"Q2","JCRName":"MEDICINE, GENERAL & INTERNAL","Score":null,"Total":0}
引用次数: 0

摘要

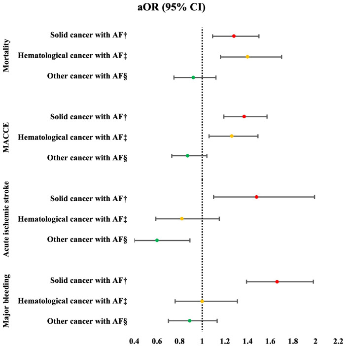
目的:评估癌症合并心房颤动(房颤)患者接受经皮冠状动脉介入治疗(PCI)后的疗效:从全国住院患者样本(NIS)数据库中获取2015年10月至2018年12月期间所有接受PCI治疗的成人出院患者数据。采用二项式逻辑回归法计算不良并发症的调整几率比(aOR):共发现 1387320 例患者,其中 15.4% 有房颤但无癌症,1.9% 有癌症但无房颤,0.6% 既有癌症又有房颤。与无房颤的癌症患者相比,有房颤的患者死亡率(aOR 1.20,95%CI 1.08-1.33)、主要不良心脑血管事件(MACCE)(aOR 1.18,95%CI 1.07-1.29)和出血(aOR 1.23,95%CI 1.08-1.39)的aOR更高。不过,两组患者发生缺血性中风的风险相似。与无房颤的实体癌组相比,实体癌合并房颤的患者在所有结果中的 aOR 都较高,包括死亡率(aOR 1.28,95%CI 1.09-1.50)、MACCE(aOR 1.37,95%CI 1.19-1.57)、缺血性卒中(aOR 1.48,95%CI 1.10-1.99)和出血(aOR 1.66,95%CI 1.39-1.98)。在血液肿瘤患者中,房颤仅与死亡率(aOR 1.40,95%CI 1.16-1.70)和MACCE(aOR 1.26,95%CI 1.06-1.49)显著增加的风险有关:结论:实体肿瘤患者出现房颤会增加死亡率、MACCE、中风和大出血的风险,而在血液肿瘤患者中,房颤仅与死亡率和MACCE风险升高有关。
本文章由计算机程序翻译,如有差异,请以英文原文为准。

Outcomes of 1.3 million patients undergoing percutaneous coronary intervention according to the presence of cancer and atrial fibrillation: a retrospective study.

Outcomes of 1.3 million patients undergoing percutaneous coronary intervention according to the presence of cancer and atrial fibrillation: a retrospective study.

Outcomes of 1.3 million patients undergoing percutaneous coronary intervention according to the presence of cancer and atrial fibrillation: a retrospective study.

Aim: To evaluate outcomes after percutaneous coronary intervention (PCI) in patients with cancer and atrial fibrillation (AF).

Methods: Data of all adult discharges undergoing PCI between October 2015 and December 2018 were obtained from the National Inpatient Sample (NIS) database. Adjusted odds ratios (aOR) of adverse complications were calculated using binominal logistic regression.

Results: 1387320 patients were detected, out of which 15.4% had AF but no cancer, 1.9% had cancer but no AF, and 0.6% had both cancer and AF. Compared with cancer patients without AF, those with AF had a greater aOR of mortality (aOR 1.20, 95%CI 1.08-1.33), major adverse cardiac and cerebrovascular events (MACCE) (aOR 1.18, 95%CI 1.07-1.29), and bleeding (aOR 1.23, 95%CI 1.08-1.39). However, the risk of ischemic stroke was similar between the two groups. Patients with solid cancer and AF had a higher aOR for all outcomes, including mortality (aOR 1.28, 95%CI 1.09-1.50), MACCE (aOR 1.37, 95%CI 1.19-1.57), ischemic stroke (aOR 1.48, 95%CI 1.10-1.99), and bleeding (aOR 1.66, 95%CI 1.39-1.98) compared with the solid cancer group without AF. In patients with hematological cancer, AF was associated only with significantly increased risk of mortality (aOR 1.40, 95%CI 1.16-1.70) and MACCE (aOR 1.26, 95%CI 1.06-1.49).

Conclusions: The presence of AF in solid cancer patients increases the risk of mortality, MACCE, stroke, and major bleeding, while in the setting of hematological cancer it is only associated with a higher risk of mortality and MACCE.

求助全文
通过发布文献求助,成功后即可免费获取论文全文。 去求助
来源期刊
Croatian Medical Journal
Croatian Medical Journal 医学-医学:内科
CiteScore
3.00
自引率
5.30%
发文量
105
审稿时长
6-12 weeks
期刊介绍: Croatian Medical Journal (CMJ) is an international peer reviewed journal open to scientists from all fields of biomedicine and health related research. Although CMJ welcomes all contributions that increase and expand on medical knowledge, the two areas are of the special interest: topics globally relevant for biomedicine and health and medicine in developing and emerging countries.
×
引用
GB/T 7714-2015
复制
MLA
复制
APA
复制
导出至
BibTeX EndNote RefMan NoteFirst NoteExpress
×
提示
您的信息不完整,为了账户安全,请先补充。
现在去补充
×
提示
您因"违规操作"
具体请查看互助需知
我知道了
×
提示
确定
请完成安全验证×
copy
已复制链接
快去分享给好友吧!
我知道了
右上角分享
点击右上角分享
0
联系我们:info@booksci.cn Book学术提供免费学术资源搜索服务,方便国内外学者检索中英文文献。致力于提供最便捷和优质的服务体验。 Copyright © 2023 布克学术 All rights reserved.
京ICP备2023020795号-1
ghs 京公网安备 11010802042870号
Book学术文献互助
Book学术文献互助群
群 号:604180095
Book学术官方微信
小红书