利用超声剪切波弹性成像技术建立移植后肾脏纤维化预测模型

IF 1.4 4区 医学 Q3 SURGERY
Juan Wang, Jianghong Chen, Yuewei Yin, Yuena Zhang, Yulin Ma
{"title":"利用超声剪切波弹性成像技术建立移植后肾脏纤维化预测模型","authors":"Juan Wang, Jianghong Chen, Yuewei Yin, Yuena Zhang, Yulin Ma","doi":"10.12659/AOT.945699","DOIUrl":null,"url":null,"abstract":"<p><p>BACKGROUND The aim of this study was to investigate the clinical utility of ultrasound shear wave elastography (SWE) for assessment of renal fibrosis in post-renal transplant patients. MATERIAL AND METHODS We selected 183 patients who underwent renal transplantation. The complete dataset was randomly partitioned into a training cohort (128 cases) and a validation cohort (55 cases). All patients were subjected to SWE and renal allograft biopsy. The baseline data was compared using t-test, Z-test, or chi-square test. Through univariate and multivariate analyses, we identified independent risk factors influencing renal fibrosis after transplantation, a predictive model for post-transplant renal fibrosis was developed, and calibration curves, decision curve analyses, and ROC curves were generated. RESULTS Age, TST, Scr, GFR, and Emean showed significant differences (P<0.05). The C-index of the nomogram was 0.85, and the calibration curve and Hosmer-Lemeshow test demonstrated accurate diagnosis of fibrosis in both the training and validation sets (P>0.05). DCA showed that the prediction model effectively improved the diagnostic accuracy of fibrosis. The highest AUC of the nomogram for combined prediction of renal fibrosis in transplant patients was 0.902 in the training group and 0.871 in the validation group. These values were significantly higher compared to the AUCs of individual predictors (P<0.05). CONCLUSIONS Ultrasound SWE allows for early evaluation of renal fibrosis following transplantation. The prediction model, constructed by amalgamating other indicators, augments the accuracy and reliability of the prediction, providing more precise and accurate diagnostic and therapeutic recommendations for clinical practitioners.</p>","PeriodicalId":7935,"journal":{"name":"Annals of Transplantation","volume":"29 ","pages":"e945699"},"PeriodicalIF":1.4000,"publicationDate":"2024-10-29","publicationTypes":"Journal Article","fieldsOfStudy":null,"isOpenAccess":false,"openAccessPdf":"https://www.ncbi.nlm.nih.gov/pmc/articles/PMC11529080/pdf/","citationCount":"0","resultStr":"{\"title\":\"Predictive Model for Post-Transplant Renal Fibrosis Using Ultrasound Shear Wave Elastography.\",\"authors\":\"Juan Wang, Jianghong Chen, Yuewei Yin, Yuena Zhang, Yulin Ma\",\"doi\":\"10.12659/AOT.945699\",\"DOIUrl\":null,\"url\":null,\"abstract\":\"<p><p>BACKGROUND The aim of this study was to investigate the clinical utility of ultrasound shear wave elastography (SWE) for assessment of renal fibrosis in post-renal transplant patients. MATERIAL AND METHODS We selected 183 patients who underwent renal transplantation. The complete dataset was randomly partitioned into a training cohort (128 cases) and a validation cohort (55 cases). All patients were subjected to SWE and renal allograft biopsy. The baseline data was compared using t-test, Z-test, or chi-square test. Through univariate and multivariate analyses, we identified independent risk factors influencing renal fibrosis after transplantation, a predictive model for post-transplant renal fibrosis was developed, and calibration curves, decision curve analyses, and ROC curves were generated. RESULTS Age, TST, Scr, GFR, and Emean showed significant differences (P<0.05). The C-index of the nomogram was 0.85, and the calibration curve and Hosmer-Lemeshow test demonstrated accurate diagnosis of fibrosis in both the training and validation sets (P>0.05). DCA showed that the prediction model effectively improved the diagnostic accuracy of fibrosis. The highest AUC of the nomogram for combined prediction of renal fibrosis in transplant patients was 0.902 in the training group and 0.871 in the validation group. These values were significantly higher compared to the AUCs of individual predictors (P<0.05). CONCLUSIONS Ultrasound SWE allows for early evaluation of renal fibrosis following transplantation. The prediction model, constructed by amalgamating other indicators, augments the accuracy and reliability of the prediction, providing more precise and accurate diagnostic and therapeutic recommendations for clinical practitioners.</p>\",\"PeriodicalId\":7935,\"journal\":{\"name\":\"Annals of Transplantation\",\"volume\":\"29 \",\"pages\":\"e945699\"},\"PeriodicalIF\":1.4000,\"publicationDate\":\"2024-10-29\",\"publicationTypes\":\"Journal Article\",\"fieldsOfStudy\":null,\"isOpenAccess\":false,\"openAccessPdf\":\"https://www.ncbi.nlm.nih.gov/pmc/articles/PMC11529080/pdf/\",\"citationCount\":\"0\",\"resultStr\":null,\"platform\":\"Semanticscholar\",\"paperid\":null,\"PeriodicalName\":\"Annals of Transplantation\",\"FirstCategoryId\":\"3\",\"ListUrlMain\":\"https://doi.org/10.12659/AOT.945699\",\"RegionNum\":4,\"RegionCategory\":\"医学\",\"ArticlePicture\":[],\"TitleCN\":null,\"AbstractTextCN\":null,\"PMCID\":null,\"EPubDate\":\"\",\"PubModel\":\"\",\"JCR\":\"Q3\",\"JCRName\":\"SURGERY\",\"Score\":null,\"Total\":0}","platform":"Semanticscholar","paperid":null,"PeriodicalName":"Annals of Transplantation","FirstCategoryId":"3","ListUrlMain":"https://doi.org/10.12659/AOT.945699","RegionNum":4,"RegionCategory":"医学","ArticlePicture":[],"TitleCN":null,"AbstractTextCN":null,"PMCID":null,"EPubDate":"","PubModel":"","JCR":"Q3","JCRName":"SURGERY","Score":null,"Total":0}
引用次数: 0

摘要

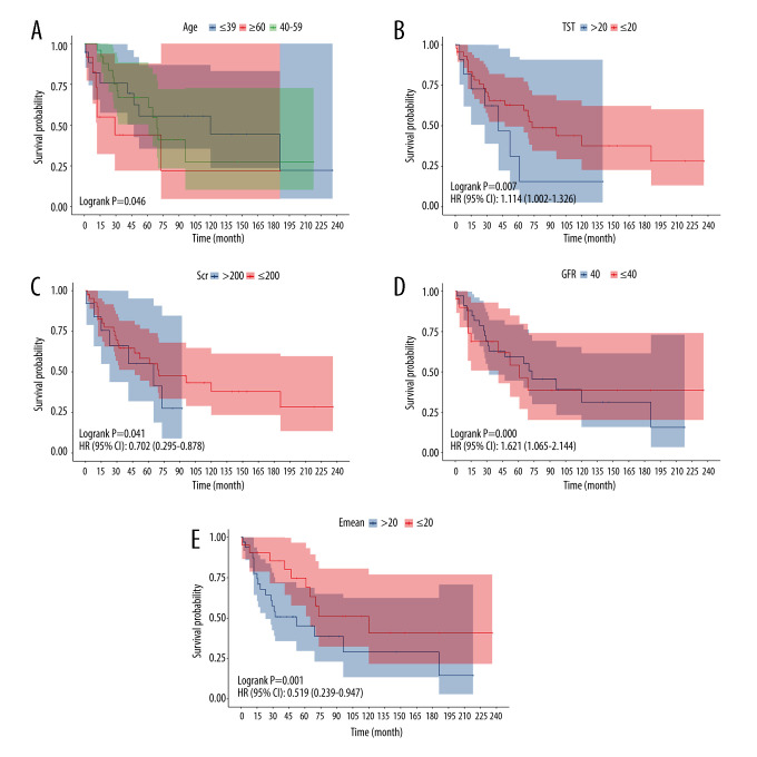
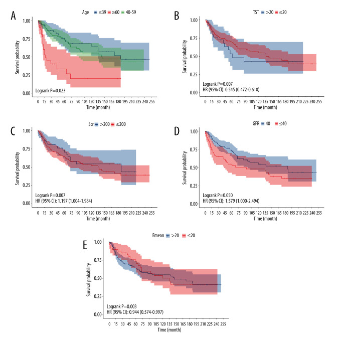
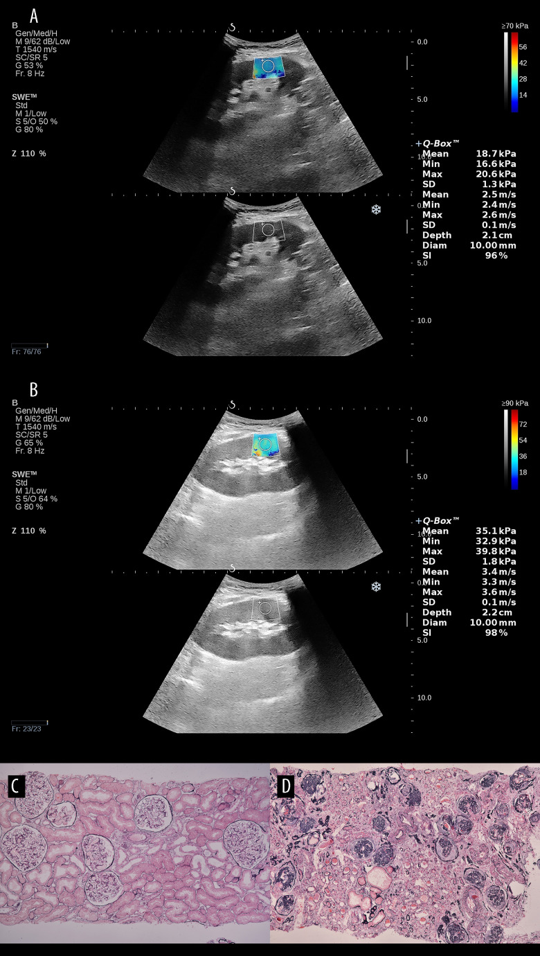
背景 本研究旨在探讨超声剪切波弹性成像(SWE)在评估肾移植术后患者肾脏纤维化方面的临床实用性。材料和方法 我们选择了 183 名接受肾移植的患者。完整的数据集被随机分为训练组(128 例)和验证组(55 例)。所有患者都接受了 SWE 和肾移植活检。基线数据采用 t 检验、Z 检验或卡方检验进行比较。通过单变量和多变量分析,我们确定了影响移植后肾纤维化的独立风险因素,建立了移植后肾纤维化的预测模型,并生成了校准曲线、决策曲线分析和 ROC 曲线。结果 年龄、TST、Scr、GFR 和 Emean 显示出显著差异(P0.05)。DCA 显示,预测模型有效提高了纤维化诊断的准确性。移植患者肾脏纤维化综合预测提名图的最高 AUC 值在训练组为 0.902,在验证组为 0.871。这些数值明显高于单个预测因子的 AUC 值(P
本文章由计算机程序翻译,如有差异,请以英文原文为准。

Predictive Model for Post-Transplant Renal Fibrosis Using Ultrasound Shear Wave Elastography.

Predictive Model for Post-Transplant Renal Fibrosis Using Ultrasound Shear Wave Elastography.

Predictive Model for Post-Transplant Renal Fibrosis Using Ultrasound Shear Wave Elastography.

Predictive Model for Post-Transplant Renal Fibrosis Using Ultrasound Shear Wave Elastography.

BACKGROUND The aim of this study was to investigate the clinical utility of ultrasound shear wave elastography (SWE) for assessment of renal fibrosis in post-renal transplant patients. MATERIAL AND METHODS We selected 183 patients who underwent renal transplantation. The complete dataset was randomly partitioned into a training cohort (128 cases) and a validation cohort (55 cases). All patients were subjected to SWE and renal allograft biopsy. The baseline data was compared using t-test, Z-test, or chi-square test. Through univariate and multivariate analyses, we identified independent risk factors influencing renal fibrosis after transplantation, a predictive model for post-transplant renal fibrosis was developed, and calibration curves, decision curve analyses, and ROC curves were generated. RESULTS Age, TST, Scr, GFR, and Emean showed significant differences (P<0.05). The C-index of the nomogram was 0.85, and the calibration curve and Hosmer-Lemeshow test demonstrated accurate diagnosis of fibrosis in both the training and validation sets (P>0.05). DCA showed that the prediction model effectively improved the diagnostic accuracy of fibrosis. The highest AUC of the nomogram for combined prediction of renal fibrosis in transplant patients was 0.902 in the training group and 0.871 in the validation group. These values were significantly higher compared to the AUCs of individual predictors (P<0.05). CONCLUSIONS Ultrasound SWE allows for early evaluation of renal fibrosis following transplantation. The prediction model, constructed by amalgamating other indicators, augments the accuracy and reliability of the prediction, providing more precise and accurate diagnostic and therapeutic recommendations for clinical practitioners.

求助全文
通过发布文献求助,成功后即可免费获取论文全文。 去求助
来源期刊
CiteScore
2.50
自引率
0.00%
发文量
79
审稿时长
>12 weeks
期刊介绍: Annals of Transplantation is one of the fast-developing journals open to all scientists and fields of transplant medicine and related research. The journal is published quarterly and provides extensive coverage of the most important advances in transplantation. Using an electronic on-line submission and peer review tracking system, Annals of Transplantation is committed to rapid review and publication. The average time to first decision is around 3-4 weeks. Time to publication of accepted manuscripts continues to be shortened, with the Editorial team committed to a goal of 3 months from acceptance to publication. Expert reseachers and clinicians from around the world contribute original Articles, Review Papers, Case Reports and Special Reports in every pertinent specialty, providing a lot of arguments for discussion of exciting developments and controversies in the field.
×
引用
GB/T 7714-2015
复制
MLA
复制
APA
复制
导出至
BibTeX EndNote RefMan NoteFirst NoteExpress
×
提示
您的信息不完整,为了账户安全,请先补充。
现在去补充
×
提示
您因"违规操作"
具体请查看互助需知
我知道了
×
提示
确定
请完成安全验证×
copy
已复制链接
快去分享给好友吧!
我知道了
右上角分享
点击右上角分享
0
联系我们:info@booksci.cn Book学术提供免费学术资源搜索服务,方便国内外学者检索中英文文献。致力于提供最便捷和优质的服务体验。 Copyright © 2023 布克学术 All rights reserved.
京ICP备2023020795号-1
ghs 京公网安备 11010802042870号
Book学术文献互助
Book学术文献互助群
群 号:604180095
Book学术官方微信