在造影剂增强计算机断层扫描中测量冠状窦体积的可能性。

Polish journal of radiology Pub Date : 2024-09-06 eCollection Date: 2024-01-01 DOI:10.5114/pjr/191535
Agnieszka Młynarska, Rafał Młynarski
{"title":"在造影剂增强计算机断层扫描中测量冠状窦体积的可能性。","authors":"Agnieszka Młynarska, Rafał Młynarski","doi":"10.5114/pjr/191535","DOIUrl":null,"url":null,"abstract":"<p><strong>Introduction: </strong>Modern imaging techniques such as computed tomography (CT) can help in the assessment of coronary sinus volume in a vitro manner, but there is no comprehensive research on this topic so far. Hence, we decided to develop a methodology for measuring the volume of the coronary sinus in multi-detector CT and to try to apply it in practice.</p><p><strong>Material and methods: </strong>Forty-nine patients (22 men) were included in this research, with a mean age of 70.08 ± 13.6 years. Scanning with retrospective ECG-gating was performed using a Toshiba Aquilion 64 (slice: 0.5 mm; helical pitch: 12.8; rotation time: 0.4 s). 80 ± 20 cm<sup>3</sup> of non-ionic contrast was administered to each patient. The volume of coronary sinus and other data measurements were performed using Vitrea 2 workstations. The organ volume measurement function was used to measure volume objects in CT scans. To standardise the measurements, they were all performed to the place where the vein of Marshall reaches the coronary sinus. In cases of loss of vein of Marshall, the first lateral vein was used as the junction between the coronary sinus and the great cardiac vein.</p><p><strong>Results: </strong>The coronary sinus volume varied from 0.96 cm<sup>3</sup> to 8.52 cm<sup>3</sup>. The average volume was 3.71 ± 1.64 cm<sup>3</sup>. There was a significant correlation between end diastolic volume and coronary sinus volume (<i>r</i> = 0.33, <i>p</i> = 0.02). In most cases the quality of visualisation was good - the average was calculated as 4.16 ± 0.87. The Thebesian valve was present in 22 cases (44.9%); however, no statistical relationship between the presence of the Thebesian valve and coronary sinus was observed.</p><p><strong>Conclusion: </strong>It is possible to visualise and calculate the volume of the coronary sinus in cardiac CT.</p>","PeriodicalId":94174,"journal":{"name":"Polish journal of radiology","volume":"89 ","pages":"e428-e432"},"PeriodicalIF":0.0000,"publicationDate":"2024-09-06","publicationTypes":"Journal Article","fieldsOfStudy":null,"isOpenAccess":false,"openAccessPdf":"https://www.ncbi.nlm.nih.gov/pmc/articles/PMC11497589/pdf/","citationCount":"0","resultStr":"{\"title\":\"Possibility to measure the volume of coronary sinus in contrast-enhanced computed tomography.\",\"authors\":\"Agnieszka Młynarska, Rafał Młynarski\",\"doi\":\"10.5114/pjr/191535\",\"DOIUrl\":null,\"url\":null,\"abstract\":\"<p><strong>Introduction: </strong>Modern imaging techniques such as computed tomography (CT) can help in the assessment of coronary sinus volume in a vitro manner, but there is no comprehensive research on this topic so far. Hence, we decided to develop a methodology for measuring the volume of the coronary sinus in multi-detector CT and to try to apply it in practice.</p><p><strong>Material and methods: </strong>Forty-nine patients (22 men) were included in this research, with a mean age of 70.08 ± 13.6 years. Scanning with retrospective ECG-gating was performed using a Toshiba Aquilion 64 (slice: 0.5 mm; helical pitch: 12.8; rotation time: 0.4 s). 80 ± 20 cm<sup>3</sup> of non-ionic contrast was administered to each patient. The volume of coronary sinus and other data measurements were performed using Vitrea 2 workstations. The organ volume measurement function was used to measure volume objects in CT scans. To standardise the measurements, they were all performed to the place where the vein of Marshall reaches the coronary sinus. In cases of loss of vein of Marshall, the first lateral vein was used as the junction between the coronary sinus and the great cardiac vein.</p><p><strong>Results: </strong>The coronary sinus volume varied from 0.96 cm<sup>3</sup> to 8.52 cm<sup>3</sup>. The average volume was 3.71 ± 1.64 cm<sup>3</sup>. There was a significant correlation between end diastolic volume and coronary sinus volume (<i>r</i> = 0.33, <i>p</i> = 0.02). In most cases the quality of visualisation was good - the average was calculated as 4.16 ± 0.87. The Thebesian valve was present in 22 cases (44.9%); however, no statistical relationship between the presence of the Thebesian valve and coronary sinus was observed.</p><p><strong>Conclusion: </strong>It is possible to visualise and calculate the volume of the coronary sinus in cardiac CT.</p>\",\"PeriodicalId\":94174,\"journal\":{\"name\":\"Polish journal of radiology\",\"volume\":\"89 \",\"pages\":\"e428-e432\"},\"PeriodicalIF\":0.0000,\"publicationDate\":\"2024-09-06\",\"publicationTypes\":\"Journal Article\",\"fieldsOfStudy\":null,\"isOpenAccess\":false,\"openAccessPdf\":\"https://www.ncbi.nlm.nih.gov/pmc/articles/PMC11497589/pdf/\",\"citationCount\":\"0\",\"resultStr\":null,\"platform\":\"Semanticscholar\",\"paperid\":null,\"PeriodicalName\":\"Polish journal of radiology\",\"FirstCategoryId\":\"1085\",\"ListUrlMain\":\"https://doi.org/10.5114/pjr/191535\",\"RegionNum\":0,\"RegionCategory\":null,\"ArticlePicture\":[],\"TitleCN\":null,\"AbstractTextCN\":null,\"PMCID\":null,\"EPubDate\":\"2024/1/1 0:00:00\",\"PubModel\":\"eCollection\",\"JCR\":\"\",\"JCRName\":\"\",\"Score\":null,\"Total\":0}","platform":"Semanticscholar","paperid":null,"PeriodicalName":"Polish journal of radiology","FirstCategoryId":"1085","ListUrlMain":"https://doi.org/10.5114/pjr/191535","RegionNum":0,"RegionCategory":null,"ArticlePicture":[],"TitleCN":null,"AbstractTextCN":null,"PMCID":null,"EPubDate":"2024/1/1 0:00:00","PubModel":"eCollection","JCR":"","JCRName":"","Score":null,"Total":0}
引用次数: 0

摘要

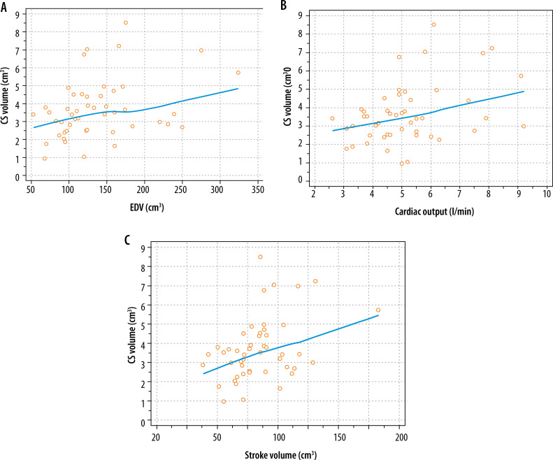
导言:计算机断层扫描(CT)等现代成像技术有助于以体外方式评估冠状动脉窦的容积,但迄今为止还没有这方面的综合研究。因此,我们决定开发一种在多探头 CT 中测量冠状动脉窦容积的方法,并尝试将其应用于实践:研究对象包括 49 名患者(22 名男性),平均年龄为 70.08 ± 13.6 岁。使用东芝 Aquilion 64(切片:0.5 毫米;螺旋间距:12.8;旋转时间:0.4 秒)进行了带有回顾性心电图门控的扫描。每位患者使用了 80 ± 20 立方厘米的非离子对比剂。冠状窦容积和其他数据的测量使用 Vitrea 2 工作站进行。器官体积测量功能用于测量 CT 扫描中的体积对象。为了使测量标准化,所有测量都在马歇尔静脉到达冠状窦的位置进行。在马歇尔静脉消失的情况下,第一侧静脉被用作冠状窦和心脏大静脉的交界处:冠状窦的体积从 0.96 立方厘米到 8.52 立方厘米不等。平均体积为 3.71 ± 1.64 cm3。舒张末期容积与冠状窦容积之间存在明显的相关性(r = 0.33,p = 0.02)。大多数病例的视野质量良好,平均值为 4.16 ± 0.87。22个病例(44.9%)存在Thebesian瓣膜,但未观察到Thebesian瓣膜的存在与冠状动脉窦之间的统计学关系:结论:心脏 CT 可以显示和计算冠状动脉窦的容积。
本文章由计算机程序翻译,如有差异,请以英文原文为准。

Possibility to measure the volume of coronary sinus in contrast-enhanced computed tomography.

Possibility to measure the volume of coronary sinus in contrast-enhanced computed tomography.

Possibility to measure the volume of coronary sinus in contrast-enhanced computed tomography.

Introduction: Modern imaging techniques such as computed tomography (CT) can help in the assessment of coronary sinus volume in a vitro manner, but there is no comprehensive research on this topic so far. Hence, we decided to develop a methodology for measuring the volume of the coronary sinus in multi-detector CT and to try to apply it in practice.

Material and methods: Forty-nine patients (22 men) were included in this research, with a mean age of 70.08 ± 13.6 years. Scanning with retrospective ECG-gating was performed using a Toshiba Aquilion 64 (slice: 0.5 mm; helical pitch: 12.8; rotation time: 0.4 s). 80 ± 20 cm3 of non-ionic contrast was administered to each patient. The volume of coronary sinus and other data measurements were performed using Vitrea 2 workstations. The organ volume measurement function was used to measure volume objects in CT scans. To standardise the measurements, they were all performed to the place where the vein of Marshall reaches the coronary sinus. In cases of loss of vein of Marshall, the first lateral vein was used as the junction between the coronary sinus and the great cardiac vein.

Results: The coronary sinus volume varied from 0.96 cm3 to 8.52 cm3. The average volume was 3.71 ± 1.64 cm3. There was a significant correlation between end diastolic volume and coronary sinus volume (r = 0.33, p = 0.02). In most cases the quality of visualisation was good - the average was calculated as 4.16 ± 0.87. The Thebesian valve was present in 22 cases (44.9%); however, no statistical relationship between the presence of the Thebesian valve and coronary sinus was observed.

Conclusion: It is possible to visualise and calculate the volume of the coronary sinus in cardiac CT.

求助全文
通过发布文献求助,成功后即可免费获取论文全文。 去求助
来源期刊
CiteScore
2.10
自引率
0.00%
发文量
0
×
引用
GB/T 7714-2015
复制
MLA
复制
APA
复制
导出至
BibTeX EndNote RefMan NoteFirst NoteExpress
×
提示
您的信息不完整,为了账户安全,请先补充。
现在去补充
×
提示
您因"违规操作"
具体请查看互助需知
我知道了
×
提示
确定
请完成安全验证×
copy
已复制链接
快去分享给好友吧!
我知道了
右上角分享
点击右上角分享
0
联系我们:info@booksci.cn Book学术提供免费学术资源搜索服务,方便国内外学者检索中英文文献。致力于提供最便捷和优质的服务体验。 Copyright © 2023 布克学术 All rights reserved.
京ICP备2023020795号-1
ghs 京公网安备 11010802042870号
Book学术文献互助
Book学术文献互助群
群 号:604180095
Book学术官方微信