少数民族妇女的复原力和脑震荡恢复:促进健康平等。

IF 1.8 Q3 CLINICAL NEUROLOGY
Neurotrauma reports Pub Date : 2024-10-09 eCollection Date: 2024-01-01 DOI:10.1089/neur.2024.0075
Leon Ruiter-Lopez, Jack K Donohue, Hemika Vempalli, Rebecca C Thurston, Michele D Levine, Katherine Snedaker, Kyla Z Donnelly, David O Okonkwo, Martina Anto-Ocrah
{"title":"少数民族妇女的复原力和脑震荡恢复:促进健康平等。","authors":"Leon Ruiter-Lopez, Jack K Donohue, Hemika Vempalli, Rebecca C Thurston, Michele D Levine, Katherine Snedaker, Kyla Z Donnelly, David O Okonkwo, Martina Anto-Ocrah","doi":"10.1089/neur.2024.0075","DOIUrl":null,"url":null,"abstract":"<p><p>Resilience is associated with the degree to which post-concussion symptoms (PCS) are experienced. However, the role of resilience in the recovery trajectory of minority women, who tend to have prolonged concussion recovery, is poorly characterized. We evaluated the association between resilience and PCS, to determine if the association differed by race. A secondary data analysis was performed. Resilience was assessed using the Resilience Scale and PCS with the Rivermead questionnaire. Both variables were evaluated 6-10 weeks post-injury. Baseline demographics, spearman correlation, and multivariable linear regression models were used to determine the association between resilience and PCS. Seventy-seven women (mean age 28 ± 7.6) were included, 57% were White, and 43% were Black or Hispanic. The overall cohort had a moderate association between resilience and PCS (<i>R</i> = -0.304, <i>p</i> = 0.007). The association was present in minorities (<i>R</i> = -0.486, <i>p</i> = 0.004), and was stronger for Blacks (<i>R</i> = -0.745, <i>p</i> < 0.001). After adjusting for religion as a covariate separately, resilience (<i>β</i> = -0.156, 95% confidence interval [CI]: -0.285, -0.026; <i>p</i> = 0.019) and mood (<i>β</i> = 1.082, 95% CI: 0.847, 1.317; <i>p</i> < 0.001), were both independent predictors of PCS. The adjusted associations were stronger for the minority subgroup for both resilience (<i>β</i> = -0.231, 95% CI: -0.413, -0.050; <i>p</i> = 0.014) and mood (<i>β</i> = 1.122, 95% CI: 0.753, 1.491; <i>p</i> < 0.001). Our findings show that compared with Whites, minority individuals with higher resilience have greater resolution of PCS. However, mood is also of importance in this association. Thus resilience-based interventions must also target mood. Interventions that strengthen resilience may have promise in promoting equitable recovery in the setting of female concussions.</p>","PeriodicalId":74300,"journal":{"name":"Neurotrauma reports","volume":"5 1","pages":"989-997"},"PeriodicalIF":1.8000,"publicationDate":"2024-10-09","publicationTypes":"Journal Article","fieldsOfStudy":null,"isOpenAccess":false,"openAccessPdf":"https://www.ncbi.nlm.nih.gov/pmc/articles/PMC11491579/pdf/","citationCount":"0","resultStr":"{\"title\":\"Resilience and Concussion Recovery in Minority Women: Promoting Health Equity.\",\"authors\":\"Leon Ruiter-Lopez, Jack K Donohue, Hemika Vempalli, Rebecca C Thurston, Michele D Levine, Katherine Snedaker, Kyla Z Donnelly, David O Okonkwo, Martina Anto-Ocrah\",\"doi\":\"10.1089/neur.2024.0075\",\"DOIUrl\":null,\"url\":null,\"abstract\":\"<p><p>Resilience is associated with the degree to which post-concussion symptoms (PCS) are experienced. However, the role of resilience in the recovery trajectory of minority women, who tend to have prolonged concussion recovery, is poorly characterized. We evaluated the association between resilience and PCS, to determine if the association differed by race. A secondary data analysis was performed. Resilience was assessed using the Resilience Scale and PCS with the Rivermead questionnaire. Both variables were evaluated 6-10 weeks post-injury. Baseline demographics, spearman correlation, and multivariable linear regression models were used to determine the association between resilience and PCS. Seventy-seven women (mean age 28 ± 7.6) were included, 57% were White, and 43% were Black or Hispanic. The overall cohort had a moderate association between resilience and PCS (<i>R</i> = -0.304, <i>p</i> = 0.007). The association was present in minorities (<i>R</i> = -0.486, <i>p</i> = 0.004), and was stronger for Blacks (<i>R</i> = -0.745, <i>p</i> < 0.001). After adjusting for religion as a covariate separately, resilience (<i>β</i> = -0.156, 95% confidence interval [CI]: -0.285, -0.026; <i>p</i> = 0.019) and mood (<i>β</i> = 1.082, 95% CI: 0.847, 1.317; <i>p</i> < 0.001), were both independent predictors of PCS. The adjusted associations were stronger for the minority subgroup for both resilience (<i>β</i> = -0.231, 95% CI: -0.413, -0.050; <i>p</i> = 0.014) and mood (<i>β</i> = 1.122, 95% CI: 0.753, 1.491; <i>p</i> < 0.001). Our findings show that compared with Whites, minority individuals with higher resilience have greater resolution of PCS. However, mood is also of importance in this association. Thus resilience-based interventions must also target mood. Interventions that strengthen resilience may have promise in promoting equitable recovery in the setting of female concussions.</p>\",\"PeriodicalId\":74300,\"journal\":{\"name\":\"Neurotrauma reports\",\"volume\":\"5 1\",\"pages\":\"989-997\"},\"PeriodicalIF\":1.8000,\"publicationDate\":\"2024-10-09\",\"publicationTypes\":\"Journal Article\",\"fieldsOfStudy\":null,\"isOpenAccess\":false,\"openAccessPdf\":\"https://www.ncbi.nlm.nih.gov/pmc/articles/PMC11491579/pdf/\",\"citationCount\":\"0\",\"resultStr\":null,\"platform\":\"Semanticscholar\",\"paperid\":null,\"PeriodicalName\":\"Neurotrauma reports\",\"FirstCategoryId\":\"1085\",\"ListUrlMain\":\"https://doi.org/10.1089/neur.2024.0075\",\"RegionNum\":0,\"RegionCategory\":null,\"ArticlePicture\":[],\"TitleCN\":null,\"AbstractTextCN\":null,\"PMCID\":null,\"EPubDate\":\"2024/1/1 0:00:00\",\"PubModel\":\"eCollection\",\"JCR\":\"Q3\",\"JCRName\":\"CLINICAL NEUROLOGY\",\"Score\":null,\"Total\":0}","platform":"Semanticscholar","paperid":null,"PeriodicalName":"Neurotrauma reports","FirstCategoryId":"1085","ListUrlMain":"https://doi.org/10.1089/neur.2024.0075","RegionNum":0,"RegionCategory":null,"ArticlePicture":[],"TitleCN":null,"AbstractTextCN":null,"PMCID":null,"EPubDate":"2024/1/1 0:00:00","PubModel":"eCollection","JCR":"Q3","JCRName":"CLINICAL NEUROLOGY","Score":null,"Total":0}
引用次数: 0

摘要

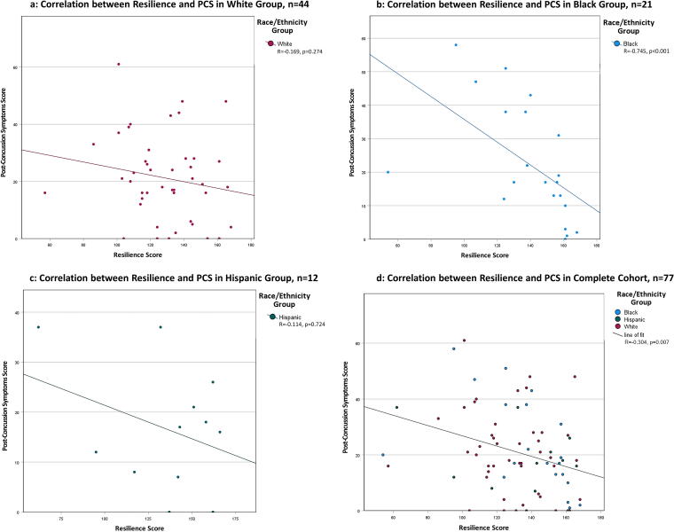
复原力与脑震荡后症状(PCS)的程度有关。然而,少数族裔女性的脑震荡恢复期往往较长,她们的复原力在其恢复过程中所起的作用却鲜为人知。我们评估了复原力与 PCS 之间的关联,以确定这种关联是否因种族而异。我们进行了二次数据分析。复原力采用复原力量表进行评估,PCS则采用Rivermead问卷进行评估。两个变量均在受伤后 6-10 周进行评估。基线人口统计学、矛曼相关性和多变量线性回归模型用于确定复原力和 PCS 之间的关联。研究共纳入了 77 名女性(平均年龄为 28 ± 7.6),其中 57% 为白人,43% 为黑人或西班牙裔。总体队列中,复原力与 PCS 之间存在中度关联(R = -0.304,p = 0.007)。这种关联存在于少数民族中(R = -0.486,p = 0.004),黑人的关联性更强(R = -0.745,p < 0.001)。将宗教作为协变量单独调整后,复原力(β = -0.156,95% 置信区间[CI]:-0.285,-0.026;p = 0.019)和情绪(β = 1.082,95% 置信区间:0.847,1.317;p <0.001)都是 PCS 的独立预测因子。少数族裔亚组的复原力(β = -0.231,95% CI:-0.413,-0.050;p = 0.014)和情绪(β = 1.122,95% CI:0.753,1.491;p <0.001)调整后的关联性更强。我们的研究结果表明,与白人相比,复原力较高的少数群体更容易解决 PCS 问题。然而,情绪在这一关联中也很重要。因此,基于复原力的干预措施也必须以情绪为目标。在女性脑震荡的情况下,加强复原力的干预措施可能有望促进公平康复。
本文章由计算机程序翻译,如有差异,请以英文原文为准。

Resilience and Concussion Recovery in Minority Women: Promoting Health Equity.

Resilience and Concussion Recovery in Minority Women: Promoting Health Equity.

Resilience is associated with the degree to which post-concussion symptoms (PCS) are experienced. However, the role of resilience in the recovery trajectory of minority women, who tend to have prolonged concussion recovery, is poorly characterized. We evaluated the association between resilience and PCS, to determine if the association differed by race. A secondary data analysis was performed. Resilience was assessed using the Resilience Scale and PCS with the Rivermead questionnaire. Both variables were evaluated 6-10 weeks post-injury. Baseline demographics, spearman correlation, and multivariable linear regression models were used to determine the association between resilience and PCS. Seventy-seven women (mean age 28 ± 7.6) were included, 57% were White, and 43% were Black or Hispanic. The overall cohort had a moderate association between resilience and PCS (R = -0.304, p = 0.007). The association was present in minorities (R = -0.486, p = 0.004), and was stronger for Blacks (R = -0.745, p < 0.001). After adjusting for religion as a covariate separately, resilience (β = -0.156, 95% confidence interval [CI]: -0.285, -0.026; p = 0.019) and mood (β = 1.082, 95% CI: 0.847, 1.317; p < 0.001), were both independent predictors of PCS. The adjusted associations were stronger for the minority subgroup for both resilience (β = -0.231, 95% CI: -0.413, -0.050; p = 0.014) and mood (β = 1.122, 95% CI: 0.753, 1.491; p < 0.001). Our findings show that compared with Whites, minority individuals with higher resilience have greater resolution of PCS. However, mood is also of importance in this association. Thus resilience-based interventions must also target mood. Interventions that strengthen resilience may have promise in promoting equitable recovery in the setting of female concussions.

求助全文
通过发布文献求助,成功后即可免费获取论文全文。 去求助
来源期刊
CiteScore
2.40
自引率
0.00%
发文量
0
审稿时长
8 weeks
×
引用
GB/T 7714-2015
复制
MLA
复制
APA
复制
导出至
BibTeX EndNote RefMan NoteFirst NoteExpress
×
提示
您的信息不完整,为了账户安全,请先补充。
现在去补充
×
提示
您因"违规操作"
具体请查看互助需知
我知道了
×
提示
确定
请完成安全验证×
copy
已复制链接
快去分享给好友吧!
我知道了
右上角分享
点击右上角分享
0
联系我们:info@booksci.cn Book学术提供免费学术资源搜索服务,方便国内外学者检索中英文文献。致力于提供最便捷和优质的服务体验。 Copyright © 2023 布克学术 All rights reserved.
京ICP备2023020795号-1
ghs 京公网安备 11010802042870号
Book学术文献互助
Book学术文献互助群
群 号:604180095
Book学术官方微信