尿液 NT-proBNP 与血浆 NT-proBNP 在 ICD 患者的实际生活中进行了正面比较。

Q3 Medicine
Benedikt Seither , Alexander Schober , Raphael Allgaier , Christine Meindl , Michael Paulus , Ute Hubauer , Andreas Schober , Ekrem Ücer , Sabine Fredersdorf , Petra Lehn , Andreas Keyser , Andreas Luchner , Lars Maier , Stefan Wallner , Carsten Jungbauer
{"title":"尿液 NT-proBNP 与血浆 NT-proBNP 在 ICD 患者的实际生活中进行了正面比较。","authors":"Benedikt Seither ,&nbsp;Alexander Schober ,&nbsp;Raphael Allgaier ,&nbsp;Christine Meindl ,&nbsp;Michael Paulus ,&nbsp;Ute Hubauer ,&nbsp;Andreas Schober ,&nbsp;Ekrem Ücer ,&nbsp;Sabine Fredersdorf ,&nbsp;Petra Lehn ,&nbsp;Andreas Keyser ,&nbsp;Andreas Luchner ,&nbsp;Lars Maier ,&nbsp;Stefan Wallner ,&nbsp;Carsten Jungbauer","doi":"10.1016/j.ipej.2024.10.006","DOIUrl":null,"url":null,"abstract":"<div><h3>Aims</h3><div>Plasma NT-proBNP is an established marker of heart failure. Previous studies suggested urinary NT-proBNP has potential as marker of chronic heart failure as well. The objective of this study was to compare urinary NT-proBNP to plasma NT-proBNP in a real-life collective of patients with an ICD, especially regarding ICD-therapies.</div></div><div><h3>Methods &amp; results</h3><div>NT-proBNP was assessed in plasma and fresh spot urine (the latter related to urinary creatinine) from 322 patients of our ICD outpatient clinic. 54 healthy individuals served as a control group. Follow-up regarding mortality and ICD therapies was performed after 32 months (IQR 5–35 months). Plasma and urinary NT-proBNP was positively correlated (r = 0.89, p &lt; 0,001). According to ROC analysis urinary NT-proBNP detected LV dysfunction (EF&lt;35 % vs. healthy CTRL) with very satisfying predictive values (AUC 0.95), but plasma NT-proBNP showed slightly better values (AUC 0.99). Patients who received appropriate ICD-shock-therapies showed significantly higher plasma (p &lt; 0.001) as well as urinary NT-proBNP levels (p = 0.011) compared to patients without shock-therapy. In Kaplan-Meier analysis, plasma as well as urinary NT-proBNP levels &gt; Youden-Index showed significantly higher event rates for appropriate ICD-shock therapies (p &lt; 0.001 and p = 0.016) and the combined endpoint of all-cause-mortality and shock therapies (each p &lt; 0.001). Urinary and plasma NT-proBNP were independent predictors for appropriate ICD-shock-therapies and for the combined endpoint of all-cause mortality and appropriate ICD-shock-therapies (each p &lt; 0.001).</div></div><div><h3>Conclusion</h3><div>Urinary NT-proBNP as a marker for LV dysfunction and symptomatic heart failure showed promising predictive values. Associations between plasma as well as urinary NT-proBNP and ICD shock-therapies could be shown.</div></div>","PeriodicalId":35900,"journal":{"name":"Indian Pacing and Electrophysiology Journal","volume":"24 6","pages":"Pages 315-320"},"PeriodicalIF":0.0000,"publicationDate":"2024-11-01","publicationTypes":"Journal Article","fieldsOfStudy":null,"isOpenAccess":false,"openAccessPdf":"https://www.ncbi.nlm.nih.gov/pmc/articles/PMC11662399/pdf/","citationCount":"0","resultStr":"{\"title\":\"Urinary NT-proBNP compared head-to-head to plasmatic NT-proBNP in a real life collective with an ICD\",\"authors\":\"Benedikt Seither ,&nbsp;Alexander Schober ,&nbsp;Raphael Allgaier ,&nbsp;Christine Meindl ,&nbsp;Michael Paulus ,&nbsp;Ute Hubauer ,&nbsp;Andreas Schober ,&nbsp;Ekrem Ücer ,&nbsp;Sabine Fredersdorf ,&nbsp;Petra Lehn ,&nbsp;Andreas Keyser ,&nbsp;Andreas Luchner ,&nbsp;Lars Maier ,&nbsp;Stefan Wallner ,&nbsp;Carsten Jungbauer\",\"doi\":\"10.1016/j.ipej.2024.10.006\",\"DOIUrl\":null,\"url\":null,\"abstract\":\"<div><h3>Aims</h3><div>Plasma NT-proBNP is an established marker of heart failure. Previous studies suggested urinary NT-proBNP has potential as marker of chronic heart failure as well. The objective of this study was to compare urinary NT-proBNP to plasma NT-proBNP in a real-life collective of patients with an ICD, especially regarding ICD-therapies.</div></div><div><h3>Methods &amp; results</h3><div>NT-proBNP was assessed in plasma and fresh spot urine (the latter related to urinary creatinine) from 322 patients of our ICD outpatient clinic. 54 healthy individuals served as a control group. Follow-up regarding mortality and ICD therapies was performed after 32 months (IQR 5–35 months). Plasma and urinary NT-proBNP was positively correlated (r = 0.89, p &lt; 0,001). According to ROC analysis urinary NT-proBNP detected LV dysfunction (EF&lt;35 % vs. healthy CTRL) with very satisfying predictive values (AUC 0.95), but plasma NT-proBNP showed slightly better values (AUC 0.99). Patients who received appropriate ICD-shock-therapies showed significantly higher plasma (p &lt; 0.001) as well as urinary NT-proBNP levels (p = 0.011) compared to patients without shock-therapy. In Kaplan-Meier analysis, plasma as well as urinary NT-proBNP levels &gt; Youden-Index showed significantly higher event rates for appropriate ICD-shock therapies (p &lt; 0.001 and p = 0.016) and the combined endpoint of all-cause-mortality and shock therapies (each p &lt; 0.001). Urinary and plasma NT-proBNP were independent predictors for appropriate ICD-shock-therapies and for the combined endpoint of all-cause mortality and appropriate ICD-shock-therapies (each p &lt; 0.001).</div></div><div><h3>Conclusion</h3><div>Urinary NT-proBNP as a marker for LV dysfunction and symptomatic heart failure showed promising predictive values. Associations between plasma as well as urinary NT-proBNP and ICD shock-therapies could be shown.</div></div>\",\"PeriodicalId\":35900,\"journal\":{\"name\":\"Indian Pacing and Electrophysiology Journal\",\"volume\":\"24 6\",\"pages\":\"Pages 315-320\"},\"PeriodicalIF\":0.0000,\"publicationDate\":\"2024-11-01\",\"publicationTypes\":\"Journal Article\",\"fieldsOfStudy\":null,\"isOpenAccess\":false,\"openAccessPdf\":\"https://www.ncbi.nlm.nih.gov/pmc/articles/PMC11662399/pdf/\",\"citationCount\":\"0\",\"resultStr\":null,\"platform\":\"Semanticscholar\",\"paperid\":null,\"PeriodicalName\":\"Indian Pacing and Electrophysiology Journal\",\"FirstCategoryId\":\"1085\",\"ListUrlMain\":\"https://www.sciencedirect.com/science/article/pii/S0972629224001505\",\"RegionNum\":0,\"RegionCategory\":null,\"ArticlePicture\":[],\"TitleCN\":null,\"AbstractTextCN\":null,\"PMCID\":null,\"EPubDate\":\"\",\"PubModel\":\"\",\"JCR\":\"Q3\",\"JCRName\":\"Medicine\",\"Score\":null,\"Total\":0}","platform":"Semanticscholar","paperid":null,"PeriodicalName":"Indian Pacing and Electrophysiology Journal","FirstCategoryId":"1085","ListUrlMain":"https://www.sciencedirect.com/science/article/pii/S0972629224001505","RegionNum":0,"RegionCategory":null,"ArticlePicture":[],"TitleCN":null,"AbstractTextCN":null,"PMCID":null,"EPubDate":"","PubModel":"","JCR":"Q3","JCRName":"Medicine","Score":null,"Total":0}
引用次数: 0

摘要

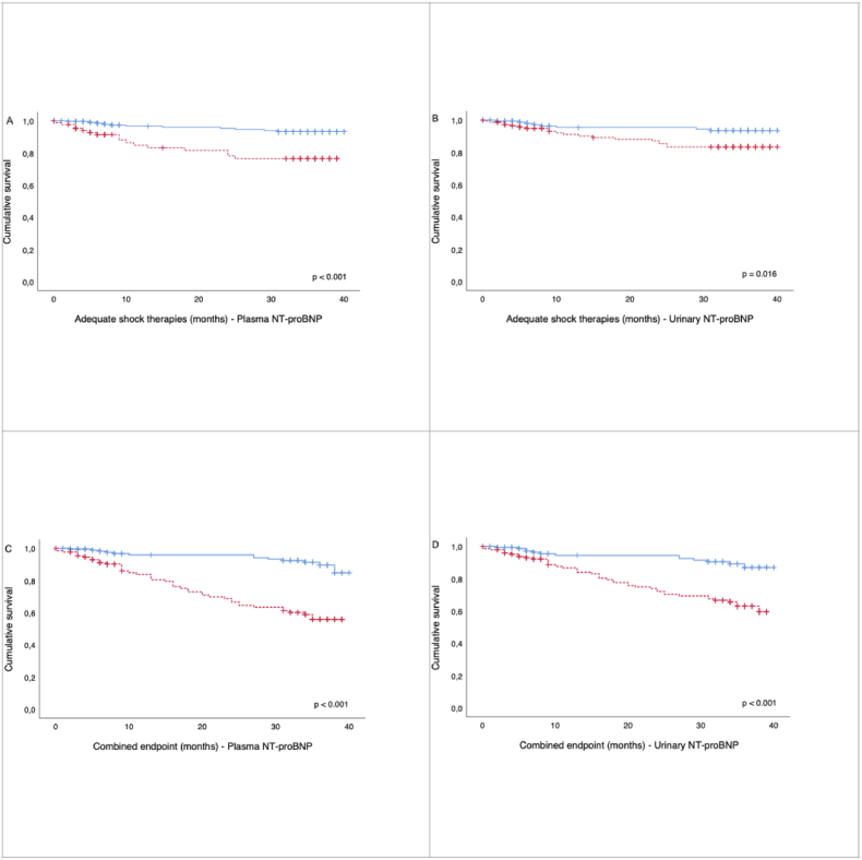
目的:血浆 NT-proBNP 是心力衰竭的既定标志物。先前的研究表明,尿液中的 NT-proBNP 也有可能成为慢性心力衰竭的标志物。本研究的目的是在 ICD 患者的实际生活中比较尿液 NT-proBNP 和血浆 NT-proBNP,尤其是在 ICD 治疗方面:我们对 ICD 门诊 322 名患者的血浆和新鲜尿液(后者与尿肌酐有关)中的 NT-proBNP 进行了评估。54 名健康人作为对照组。在 32 个月(IQR 5- 35 个月)后对死亡率和 ICD 治疗进行了随访。血浆和尿液中的 NT-proBNP 呈正相关(r=0.89,p Youden-Index 显示,采用适当 ICD 休克疗法的事件发生率明显更高(pConclusion):尿液 NT-proBNP 作为左心室功能障碍和无症状心力衰竭的标志物,显示出良好的预测价值。血浆和尿液中的 NT-proBNP 与 ICD 电击疗法之间存在关联。
本文章由计算机程序翻译,如有差异,请以英文原文为准。

Urinary NT-proBNP compared head-to-head to plasmatic NT-proBNP in a real life collective with an ICD

Urinary NT-proBNP compared head-to-head to plasmatic NT-proBNP in a real life collective with an ICD

Urinary NT-proBNP compared head-to-head to plasmatic NT-proBNP in a real life collective with an ICD

Urinary NT-proBNP compared head-to-head to plasmatic NT-proBNP in a real life collective with an ICD

Aims

Plasma NT-proBNP is an established marker of heart failure. Previous studies suggested urinary NT-proBNP has potential as marker of chronic heart failure as well. The objective of this study was to compare urinary NT-proBNP to plasma NT-proBNP in a real-life collective of patients with an ICD, especially regarding ICD-therapies.

Methods & results

NT-proBNP was assessed in plasma and fresh spot urine (the latter related to urinary creatinine) from 322 patients of our ICD outpatient clinic. 54 healthy individuals served as a control group. Follow-up regarding mortality and ICD therapies was performed after 32 months (IQR 5–35 months). Plasma and urinary NT-proBNP was positively correlated (r = 0.89, p < 0,001). According to ROC analysis urinary NT-proBNP detected LV dysfunction (EF<35 % vs. healthy CTRL) with very satisfying predictive values (AUC 0.95), but plasma NT-proBNP showed slightly better values (AUC 0.99). Patients who received appropriate ICD-shock-therapies showed significantly higher plasma (p < 0.001) as well as urinary NT-proBNP levels (p = 0.011) compared to patients without shock-therapy. In Kaplan-Meier analysis, plasma as well as urinary NT-proBNP levels > Youden-Index showed significantly higher event rates for appropriate ICD-shock therapies (p < 0.001 and p = 0.016) and the combined endpoint of all-cause-mortality and shock therapies (each p < 0.001). Urinary and plasma NT-proBNP were independent predictors for appropriate ICD-shock-therapies and for the combined endpoint of all-cause mortality and appropriate ICD-shock-therapies (each p < 0.001).

Conclusion

Urinary NT-proBNP as a marker for LV dysfunction and symptomatic heart failure showed promising predictive values. Associations between plasma as well as urinary NT-proBNP and ICD shock-therapies could be shown.
求助全文
通过发布文献求助,成功后即可免费获取论文全文。 去求助
来源期刊
Indian Pacing and Electrophysiology Journal
Indian Pacing and Electrophysiology Journal Medicine-Cardiology and Cardiovascular Medicine
CiteScore
2.20
自引率
0.00%
发文量
91
审稿时长
61 days
期刊介绍: Indian Pacing and Electrophysiology Journal is a peer reviewed online journal devoted to cardiac pacing and electrophysiology. Editorial Advisory Board includes eminent personalities in the field of cardiac pacing and electrophysiology from Asia, Australia, Europe and North America.
×
引用
GB/T 7714-2015
复制
MLA
复制
APA
复制
导出至
BibTeX EndNote RefMan NoteFirst NoteExpress
×
提示
您的信息不完整,为了账户安全,请先补充。
现在去补充
×
提示
您因"违规操作"
具体请查看互助需知
我知道了
×
提示
确定
请完成安全验证×
copy
已复制链接
快去分享给好友吧!
我知道了
右上角分享
点击右上角分享
0
联系我们:info@booksci.cn Book学术提供免费学术资源搜索服务,方便国内外学者检索中英文文献。致力于提供最便捷和优质的服务体验。 Copyright © 2023 布克学术 All rights reserved.
京ICP备2023020795号-1
ghs 京公网安备 11010802042870号
Book学术文献互助
Book学术文献互助群
群 号:604180095
Book学术官方微信