从 Horsfieldia polyspherula Bark(肉豆蔻属)中分离出乙酰胆碱酯酶和丁酰胆碱酯酶抑制剂的植物化学分析、抗氧化活性和生物测定指导。

IF 0.9 Q3 BIOLOGY
Tropical life sciences research Pub Date : 2024-10-01 Epub Date: 2024-10-07 DOI:10.21315/tlsr2024.35.3.8
Mohammed Idris, Mohamad Nurul Azmi, Thaigarajan Parmusivam, Unang Supratman, Marc Litaudon, Khalijah Awang
{"title":"从 Horsfieldia polyspherula Bark(肉豆蔻属)中分离出乙酰胆碱酯酶和丁酰胆碱酯酶抑制剂的植物化学分析、抗氧化活性和生物测定指导。","authors":"Mohammed Idris, Mohamad Nurul Azmi, Thaigarajan Parmusivam, Unang Supratman, Marc Litaudon, Khalijah Awang","doi":"10.21315/tlsr2024.35.3.8","DOIUrl":null,"url":null,"abstract":"<p><p>Alzheimer's disease (AD) is a neurodegenerative condition brought on by aging and characterised by progressive decline in cognitive function and abnormalities in the central cholnergic system. <i>β</i>-amyloid deposits, neurofibril tangle aggregation, oxidative stress or reduced level of acetylcholine are a few causes that have been linked to AD. In this study, the bioassay-guided isolation from ethyl acetate (EtOAc) extract of <i>Horsfieldia polyspherula</i> bark led to the isolation of nine compounds namely, 16-phenylhexadecanoic acid (<b>1</b>), undecylbenzene (<b>2</b>), 3,4-dihydroxybenzoic acid (<b>3</b>), dodecanoic acid (<b>4</b>), tetradecanoic acid (<b>5</b>), pentadecanoic acid (<b>6</b>), 1-tridecene (<b>7</b>), stigmasterol (<b>8</b>) and trimyristin (<b>9</b>). Phytochemical analysis revealed the presence of flavonoids, steroids, lignin, alkaloids, phytosterol and triterpenoids. The DPPH scavenging activity of EtOAc extract was related to the phenolic content (116.67 ± 16.98 GAE mg/g) and other non-phenolics such as lower fatty acids. Meanwhile, the DPPH scavenging activity was found to be concentration-dependent and correlated with both flavonoid and phenolic content. Furthermore, EtOAc and methanol (MeOH) extracts of <i>H. polyspherula</i> bark showed significant inhibitory activity at 100 μg/mL on acetylcholinesterase (AChE) and butyrylcholinesterase (BuChE), with EtOAc extract showing 77.2% and 64.1% inhibition and MeOH extract showing 37.5% and 39.2% inhibition, respectively. Additionally, the IC<sub>50</sub> for BuChE and AChE of the EtOAc extract were found to be effective, with 15.41 ± 0.78 μg/mL and 7.67 ± 0.13 μg/mL, respectively. Compound <b>1</b> exhibited dual inhibition of 40.99 ± 1.99 μM (BuChE) and 46.83 ± 2.44 μM (AChE), while compounds <b>2</b> and <b>3</b> showed IC<sub>50</sub> values above 200 μM. This study revealed that this plant shows a significant potential as anti-cholinesterase focusing on acetylcholinesterase (AchE) and butyrylcholinesterase (BuChE). This is the first report on <i>Horsfieldia polyspherula</i> and their biological activity.</p>","PeriodicalId":23477,"journal":{"name":"Tropical life sciences research","volume":"35 3","pages":"165-183"},"PeriodicalIF":0.9000,"publicationDate":"2024-10-01","publicationTypes":"Journal Article","fieldsOfStudy":null,"isOpenAccess":false,"openAccessPdf":"https://www.ncbi.nlm.nih.gov/pmc/articles/PMC11507974/pdf/","citationCount":"0","resultStr":"{\"title\":\"Phytochemical Analysis, Antioxidant Activity and Bioassay-Guided Isolation of Acetylcholinesterase and Butyrylcholinesterase Inhibitors from <i>Horsfieldia polyspherula</i> Bark (Myristicaceae).\",\"authors\":\"Mohammed Idris, Mohamad Nurul Azmi, Thaigarajan Parmusivam, Unang Supratman, Marc Litaudon, Khalijah Awang\",\"doi\":\"10.21315/tlsr2024.35.3.8\",\"DOIUrl\":null,\"url\":null,\"abstract\":\"<p><p>Alzheimer's disease (AD) is a neurodegenerative condition brought on by aging and characterised by progressive decline in cognitive function and abnormalities in the central cholnergic system. <i>β</i>-amyloid deposits, neurofibril tangle aggregation, oxidative stress or reduced level of acetylcholine are a few causes that have been linked to AD. In this study, the bioassay-guided isolation from ethyl acetate (EtOAc) extract of <i>Horsfieldia polyspherula</i> bark led to the isolation of nine compounds namely, 16-phenylhexadecanoic acid (<b>1</b>), undecylbenzene (<b>2</b>), 3,4-dihydroxybenzoic acid (<b>3</b>), dodecanoic acid (<b>4</b>), tetradecanoic acid (<b>5</b>), pentadecanoic acid (<b>6</b>), 1-tridecene (<b>7</b>), stigmasterol (<b>8</b>) and trimyristin (<b>9</b>). Phytochemical analysis revealed the presence of flavonoids, steroids, lignin, alkaloids, phytosterol and triterpenoids. The DPPH scavenging activity of EtOAc extract was related to the phenolic content (116.67 ± 16.98 GAE mg/g) and other non-phenolics such as lower fatty acids. Meanwhile, the DPPH scavenging activity was found to be concentration-dependent and correlated with both flavonoid and phenolic content. Furthermore, EtOAc and methanol (MeOH) extracts of <i>H. polyspherula</i> bark showed significant inhibitory activity at 100 μg/mL on acetylcholinesterase (AChE) and butyrylcholinesterase (BuChE), with EtOAc extract showing 77.2% and 64.1% inhibition and MeOH extract showing 37.5% and 39.2% inhibition, respectively. Additionally, the IC<sub>50</sub> for BuChE and AChE of the EtOAc extract were found to be effective, with 15.41 ± 0.78 μg/mL and 7.67 ± 0.13 μg/mL, respectively. Compound <b>1</b> exhibited dual inhibition of 40.99 ± 1.99 μM (BuChE) and 46.83 ± 2.44 μM (AChE), while compounds <b>2</b> and <b>3</b> showed IC<sub>50</sub> values above 200 μM. This study revealed that this plant shows a significant potential as anti-cholinesterase focusing on acetylcholinesterase (AchE) and butyrylcholinesterase (BuChE). This is the first report on <i>Horsfieldia polyspherula</i> and their biological activity.</p>\",\"PeriodicalId\":23477,\"journal\":{\"name\":\"Tropical life sciences research\",\"volume\":\"35 3\",\"pages\":\"165-183\"},\"PeriodicalIF\":0.9000,\"publicationDate\":\"2024-10-01\",\"publicationTypes\":\"Journal Article\",\"fieldsOfStudy\":null,\"isOpenAccess\":false,\"openAccessPdf\":\"https://www.ncbi.nlm.nih.gov/pmc/articles/PMC11507974/pdf/\",\"citationCount\":\"0\",\"resultStr\":null,\"platform\":\"Semanticscholar\",\"paperid\":null,\"PeriodicalName\":\"Tropical life sciences research\",\"FirstCategoryId\":\"1085\",\"ListUrlMain\":\"https://doi.org/10.21315/tlsr2024.35.3.8\",\"RegionNum\":0,\"RegionCategory\":null,\"ArticlePicture\":[],\"TitleCN\":null,\"AbstractTextCN\":null,\"PMCID\":null,\"EPubDate\":\"2024/10/7 0:00:00\",\"PubModel\":\"Epub\",\"JCR\":\"Q3\",\"JCRName\":\"BIOLOGY\",\"Score\":null,\"Total\":0}","platform":"Semanticscholar","paperid":null,"PeriodicalName":"Tropical life sciences research","FirstCategoryId":"1085","ListUrlMain":"https://doi.org/10.21315/tlsr2024.35.3.8","RegionNum":0,"RegionCategory":null,"ArticlePicture":[],"TitleCN":null,"AbstractTextCN":null,"PMCID":null,"EPubDate":"2024/10/7 0:00:00","PubModel":"Epub","JCR":"Q3","JCRName":"BIOLOGY","Score":null,"Total":0}
引用次数: 0

摘要

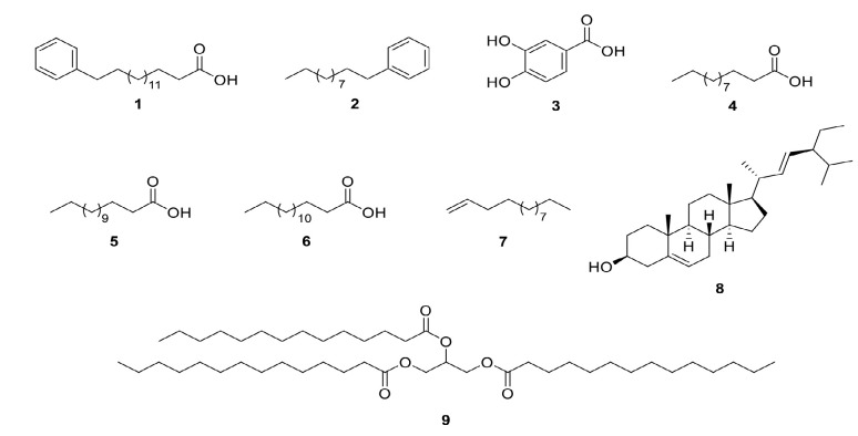
阿尔茨海默病(AD)是一种由衰老引起的神经退行性疾病,其特征是认知功能进行性下降和中枢胆碱系统异常。β-淀粉样蛋白沉积、神经纤维缠结聚集、氧化应激或乙酰胆碱水平降低是与老年痴呆症有关的几个原因。在这项研究中,通过生物测定指导,从Horsfieldia polyspherula树皮的乙酸乙酯(EtOAc)提取物中分离出了9种化合物,即16-苯基十六烷酸(1)、十一烷基苯 (2)、3,4-二羟基苯甲酸 (3)、十二烷酸 (4)、十四烷酸 (5)、十五烷酸 (6)、1-十三烯 (7)、豆甾醇 (8) 和三嗪 (9)。植物化学分析显示了黄酮类化合物、类固醇、木质素、生物碱、植物甾醇和三萜类化合物的存在。EtOAc 提取物的 DPPH 清除活性与酚含量(116.67 ± 16.98 GAE mg/g)和其他非酚物质(如低脂肪酸)有关。同时发现,DPPH 清除活性与浓度有关,并与类黄酮和酚含量相关。此外,H. polyspherula 树皮的 EtOAc 和甲醇(MeOH)提取物在 100 μg/mL 的浓度下对乙酰胆碱酯酶(AChE)和丁酰胆碱酯酶(BuChE)具有显著的抑制活性,EtOAc 提取物的抑制率分别为 77.2% 和 64.1%,MeOH 提取物的抑制率分别为 37.5% 和 39.2%。此外,还发现 EtOAc 提取物对 BuChE 和 AChE 的有效 IC50 分别为 15.41 ± 0.78 μg/mL 和 7.67 ± 0.13 μg/mL。化合物 1 显示出 40.99 ± 1.99 μM(BuChE)和 46.83 ± 2.44 μM(AChE)的双重抑制作用,而化合物 2 和 3 显示出超过 200 μM 的 IC50 值。这项研究表明,该植物具有抗胆碱酯酶的巨大潜力,主要针对乙酰胆碱酯酶(AchE)和丁酰胆碱酯酶(BuChE)。这是首次报道 Horsfieldia polyspherula 及其生物活性。
本文章由计算机程序翻译,如有差异,请以英文原文为准。

Phytochemical Analysis, Antioxidant Activity and Bioassay-Guided Isolation of Acetylcholinesterase and Butyrylcholinesterase Inhibitors from <i>Horsfieldia polyspherula</i> Bark (Myristicaceae).

Phytochemical Analysis, Antioxidant Activity and Bioassay-Guided Isolation of Acetylcholinesterase and Butyrylcholinesterase Inhibitors from Horsfieldia polyspherula Bark (Myristicaceae).

Alzheimer's disease (AD) is a neurodegenerative condition brought on by aging and characterised by progressive decline in cognitive function and abnormalities in the central cholnergic system. β-amyloid deposits, neurofibril tangle aggregation, oxidative stress or reduced level of acetylcholine are a few causes that have been linked to AD. In this study, the bioassay-guided isolation from ethyl acetate (EtOAc) extract of Horsfieldia polyspherula bark led to the isolation of nine compounds namely, 16-phenylhexadecanoic acid (1), undecylbenzene (2), 3,4-dihydroxybenzoic acid (3), dodecanoic acid (4), tetradecanoic acid (5), pentadecanoic acid (6), 1-tridecene (7), stigmasterol (8) and trimyristin (9). Phytochemical analysis revealed the presence of flavonoids, steroids, lignin, alkaloids, phytosterol and triterpenoids. The DPPH scavenging activity of EtOAc extract was related to the phenolic content (116.67 ± 16.98 GAE mg/g) and other non-phenolics such as lower fatty acids. Meanwhile, the DPPH scavenging activity was found to be concentration-dependent and correlated with both flavonoid and phenolic content. Furthermore, EtOAc and methanol (MeOH) extracts of H. polyspherula bark showed significant inhibitory activity at 100 μg/mL on acetylcholinesterase (AChE) and butyrylcholinesterase (BuChE), with EtOAc extract showing 77.2% and 64.1% inhibition and MeOH extract showing 37.5% and 39.2% inhibition, respectively. Additionally, the IC50 for BuChE and AChE of the EtOAc extract were found to be effective, with 15.41 ± 0.78 μg/mL and 7.67 ± 0.13 μg/mL, respectively. Compound 1 exhibited dual inhibition of 40.99 ± 1.99 μM (BuChE) and 46.83 ± 2.44 μM (AChE), while compounds 2 and 3 showed IC50 values above 200 μM. This study revealed that this plant shows a significant potential as anti-cholinesterase focusing on acetylcholinesterase (AchE) and butyrylcholinesterase (BuChE). This is the first report on Horsfieldia polyspherula and their biological activity.

求助全文
通过发布文献求助,成功后即可免费获取论文全文。 去求助
来源期刊
CiteScore
2.60
自引率
0.00%
发文量
40
审稿时长
20 weeks
期刊介绍: Tropical Life Sciences Research (TLSR) formerly known as Journal of Bioscience seeks to publish relevant ideas and knowledge addressing vital life sciences issues in the tropical region. The Journal’s scope is interdisciplinary in nature and covers any aspects related to issues on life sciences especially from the field of biochemistry, microbiology, biotechnology and animal, plant, environmental, biomedical and pharmaceutical sciences. TLSR practices double blind peer review system to ensure and maintain the good quality of articles published in this journal. Two issues are published annually in printed and electronic form. TLSR also accepts review articles, experimental papers and short communications. The Chief Editor would like to invite researchers to use this journal as a mean to rapidly promote their research findings.
×
引用
GB/T 7714-2015
复制
MLA
复制
APA
复制
导出至
BibTeX EndNote RefMan NoteFirst NoteExpress
×
提示
您的信息不完整,为了账户安全,请先补充。
现在去补充
×
提示
您因"违规操作"
具体请查看互助需知
我知道了
×
提示
确定
请完成安全验证×
copy
已复制链接
快去分享给好友吧!
我知道了
右上角分享
点击右上角分享
0
联系我们:info@booksci.cn Book学术提供免费学术资源搜索服务,方便国内外学者检索中英文文献。致力于提供最便捷和优质的服务体验。 Copyright © 2023 布克学术 All rights reserved.
京ICP备2023020795号-1
ghs 京公网安备 11010802042870号
Book学术文献互助
Book学术文献互助群
群 号:604180095
Book学术官方微信